Preprint
Article

This version is not peer-reviewed.

Grazing Decreases Soil Aggregation and Has Different Effect on Organic Carbon Storage Across Different Grassland Types in the Northern Xinjiang, China

A peer-reviewed article of this preprint also exists.

Submitted:

23 June 2023

Posted:

26 June 2023

You are already at the latest version

Abstract
Soil aggregates, as the basic component of soil, make great contributions to the stability of soil structure and soil carbon (C) sequestration. Recently, grassland is experiencing continuous grazing, which greatly affects soil aggregation and soil C storage. However, how soil aggregates and soil C in different grassland respond to grazing remain unclear. In this study, three national fenced grassland monitoring field stations which represented mountain meadow (MM), temperate steppe (TS), temperate steppe desert (TSD) were selected, soil samples at 0–10 cm depth of inside and outside the fence were collected to explore the effect of grazing and grassland type on composition, stability and nutrients of soil aggregates. The results showed that the bulk soil organic carbon (SOC), total nitrogen (TN), total phosphorus (TP), available nitrogen (AN) and available phosphorus (AP) varied greatly among the three grassland types, with the highest values in MM. Soil aggregates composition showed significantly response to both grassland type and grazing, especially the proportion of soil aggregates >2 mm, which significantly decreased 51.68% on average in grazing plots compared with fenced plots, whereas sharply decreased in MM and TSD. A significant decrease (on average 25.08%) of the mean weight diameter (MWD) of soil aggregates under grazing was detected across all grassland types. The effect of grazing on nutrients in macroaggregates (>0.25 mm) was greater than that in microaggregates (<0.25 mm). Aggregate-associated SOC concentration decreased under grazing in MM and TSD, however, SOC density showed different response to grazing across all grassland types, with minor effect on MM, decreasing SOC density in TS and increasing on TSD, respectively. The magnitude of grazing effect size on aggregate-associated SOC varied in different soil particle size, with greater response in aggregates > 2 mm and the biggest value in TDS. In addition, correlation analysis showed that MWD of soil aggregates had significant negative correlation with soil bulk density, but significant positive correlation with SOC, TN and TP concentration. Results of RDA showed that BD, soil nutrients were the main influence factors of the composition and stability of aggregates. Overall, grazing had significant influence on soil aggregation, stability and SOC, played a crucial role in grassland soil stability and the accumulation of SOC.
Keywords: 
;  ;  ;  ;  

1. Introduction

Grassland is one of the major ecosystem, covering up to 30%–40% of the terrestrial surface of earth and storing 28%–37% of the carbon in terrestrial ecosystem, which plays an indispensable role in the global carbon cycle [1,2,3]. However, global change, excessive utilization of grassland (especially overgrazing) had led to the continuous degradation, accompanied by decreased soil quality [3].
Grassland soil dominates the function and dynamics of grassland ecosystem [4]. Soil aggregates are formed by soil particles under the action of organic and inorganic cementing materials, which are the basic unit of soil structure and the carrier of soil nutrients [5]. On the one hand, distribution characteristics of soil aggregates affect soil porosity, permeability, water retention, and material circulation and energy flow in soil [5]. On the other hand, soil aggregates dominate the changes of soil nutrients and affect soil nutrient retention capacity [6]. Soil aggregates provide physical protection for SOC, where SOC can act as a cementing material to promote the formation and stabilization of soil aggregates [7]. The stability of soil aggregates represents the carbon sequestration ability and anti–erosion ability of the soil, determines the stability of the soil, can be used as a basis to evaluate the soil quality in grasslands of arid area [8]. Therefore, the response of soil aggregates to grazing profoundly affects the physical and chemical properties of grassland soil.
Grazing is one of the main utilizations for grassland, significantly affecting the physical and chemical properties of soil [9]. Studies have shown that grazing affected the function and dynamics of ecosystems by altering the storage and flow of matter and energy in soil through feeding, trampling, and excretion of livestock [10]. Therefore, research on grassland degradation should focus on the changes in soil properties and their responses to grazing[11]. Published studies on the effects of grazing on formation and stabilization of grassland soil aggregates have shown obtained results. Several studies have shown that grazing, especially overgrazing, can destroy soil water–stable aggregates, reduce the stability of aggregates and soil organic carbon (SOC) concentration, and damage the erosion resistance of soil [4, 12–13]. While some researchers have reported the opposite results that grazing can result in an increase in percentage of large aggregates and SOC concentration [14,15]. In addition, some researchers have noted that grazing has no effect on soil aggregates and SOC concentration [16,17]. Thus, there is inconclusive evidence to explain how grazing affects grassland soil aggregates.
Northern Xinjiang, a part of the arid region of Central Asian, is one of the key pastoral areas in Xinjiang. An alternating distribution of mountains and basins is the basic geomorphic feature of this area [18]. Grassland is the main type of vegetation, with obvious vertical zonality as the altitude increases [19]. There are 10 grassland types distributed in this region, with significant differences in climatic factors (including temperature and precipitation), plant communities and their growth conditions , soil microbial biomass and soil microbial activities [19]. These differences may cause the grain size composition and nutrient distribution of grassland soil to occur in space[20]. For example, studies have shown that differences in biomass lead to differences in the composition and stability of soil aggregates [21,22]. Soil depth may also cause the different distribution of aggregates [21]. In addition, different grassland types may have different responses to grazing. However, most studies of grassland ecosystems in China have only assessed the characteristics of soil aggregates for specific grassland types respectively [12, 14, 23–24]. In addition, most of those studies concerned the grassland in Loess Plateau, Inner Mongolia Steppe, and Qinghai–Tibet Plateau [4, 13, 24–26]. Studies on soil aggregates in northern Xinjiang are rarely documented, especially considering combined effects of grassland type and grazing.
In order to understand the influence of grassland type and grazing on grassland soil quality in Northern Xinjiang, three national fixed grassland monitoring field stations (represented mountain meadow, temperate steppe, temperate steppe desert) were selected according to vertical zonality, inside and outside of the fence soil samples were collected to explore the effects of grazing on composition, stability and nutrients of soil aggregates. We hypothesized that: (1) grazing can affect the distribution, stability and nutrient changes of soil aggregates; (2) soil aggregate properties response to grazing may differ among grassland types.

2. Materials and Methods

2.1. Study area

The study area is situated at the north of Xinjiang Uygur Autonomous Region, China (34° 34′–40° 47′ N, 110° 14′–116° 34′ E), bordered by Mongolia, Russia, and Kazakhstan. The study region is characterized by continental cold temperate climate, with an average annual temperature of 4°C and an average annual precipitation of 200 mm. The dominate soil types in the study area are brown calcium soil, chernozem soil and chestnut soil. Grassland is the main type of vegetation in the study region, where it covers more than 70% of the area. In addition, owing to the impacts of the geographical conditions, grassland types change with obvious vertical zonality as the altitude increases [27].
In this area, distribution of mountain meadow (MM), temperate steppe (TS), and temperate steppe deserts (TSD) descended as the altitude decreased. MM mainly distributed on the mid-mountain belt from 1700 to 2900 m a.s.l., with humid climate and high rainfall. MM had the highest layer height and vegetation coverage than other two grassland type. Climate condition in TSD was harsher among these three grasslands. Furthermore, owing to the impacts of the geographical conditions and climate changes, the area of TSD has gradually increased in the study area [28].

2.2. Experimental design and soil sampling

In this study, three fenced sites selected were national fixed monitoring field stations without grazing for 8–10 years, inside (NG, no–grazing treatment) and outside (G, grazing treatment) of the fence soil samples were collected to compare the effect of grazing on grasslands soil aggregates. These three sites represent mountain meadow (representing summer pasture), temperate steppe (representing spring/autumn pasture), temperate steppe deserts (representing winter pasture). The details of the sampling plots were shown in Table 1.
From May to July 2021, an experimental plot (10 m × 10 m) was set up in each site. For each plot, we randomly selected three quadrats (1 m × 1 m) using the diagonal method to collect soil samples. After removing the aboveground part of plant and litter entirely in the quadrats, three soil samples (0–10 cm) were collected by a soil auger with a diameter of 10 cm and a length of 10 cm, and three soil samples were mixed into one soil sample. A total of 18 mixed soil samples inside and outside the fence were collected in four grassland types. Then, soil samples were dried naturally in the laboratory for the further determination of soil nutrients and soil aggregates.

2.3. Soil aggregate size distribution and analysis

The wet sieving method was used to quantify water-stable aggregates (WSA) [29]. The air-ried soil samples (50 g) were evenly spread on the top of three different sieves (2 mm, 0.25 and 0.053 mm) and then submerged in a bucket of distilled water for 10 min. The sieving was shaken vertically for 15 min at a frequency of 30 times min−1 and an amplitude of 5 cm to achieve the grading of aggregate size. Then the water stable aggregates retained on each sieve were transferred into the containers and weighed after drying at 60 °C until no change in weight. The amounts of true aggregates were calculated by subtracting the weight of plant residues and stones from the total weight. Soil that passed through the 0.053mm sieve (silt and clay) was not collected. Finally, a total of three aggregate categories with different diameters were clarified, including: >2 mm, 0.25–2 mm and 0.053–0.25 mm, meanwhile, >0.25 mm particles were named as macroaggregates and < 0.25 mm particles were named as microaggregates.
The mean weight diameter (MWD) of the soil aggregates was used to evaluate the water stability of soil aggregates, using Eq. (1) [5]:
M W D = i = 1 n ( X i W i ) i 1 n W i
Where Xi is the mean diameter of the aggregate fraction i, and Wi is the mass proportion of the aggregate fraction i.

2.4. Measurement of soil physico-chemical properties

Soil organic carbon (SOC) concentration was determined by the potassium dichromate oxidation method; soil total nitrogen (TN) concentration was determined by the Kjeldahl method; and soil total phosphorus (TP) was determined by the ammonium molybdate colorimetric method. Available nitrogen (AN) was determined by using the method of alkaline hydrolysis diffusion; soil available phosphorus (AP) was determined by sodium bicarbonate extraction and the molybdenum antimony colorimetric method. Soil bulk density was determined using a cutting ring (volume 60 cm3, inner diameter 5 cm) [30].

2.5. Calculation of SOC density of bulk soil and the grazing effect size on aggregate-associated SOC

Soil organic carbon density (SOCD) (kg m-2) of the bulk soil was calculated as Eq. (2) [31]:
S O C D = C × D × E / 100
Where C is the organic carbon concentration (g kg-1) in the soil layer of 0–10 cm, D is the soil bulk density (g cm-3) in the soil layer of 0–10 cm, and E is the soil depth (cm).
The grazing effect size on aggregate-associated SOC was calculated as Eq. (3):
E f f e c t s i z e = C N G i × W N G i C G i × W G i
Where CNGi is aggregate-associated SOC of fraction i in NG treatment, WNGi is the proportion of the aggregate fraction i in NG treatment, and CGi is aggregate-associated SOC of fraction i in G treatment, WGi is the proportion of the aggregate fraction i in G treatment.

2.6. Statistical analysis

Two-way analysis of variation (ANOVA) and multiple comparisons were used to evaluate the effects of grazing and grassland type on bulk soil and aggregates. Least significant difference (LSD) test following one-way analysis of variance was used to compare the differences of mean values at p < 0.05. Pearson correlation analysis was used to explore relationship between soil nutrients and soil MWD. Redundancy analysis (RDA) for relationship between the characteristics of soil aggregates and properties of bulk soil. RDA was performed using Canoco 5. Origin Pro 2023 was used to prepare all figures.

3. Results

3.1. Soil properties

The soil bulk density showed significant difference among grassland types (p<0.05, Table S1), especially under grazing treatment, where the soil bulk density in TSD exhibited obviously higher value than other two grassland types (p<0.05, Figure 1a). SOC, TN, TP, AN and AP concentration of bulk soil varied significantly among different grassland types, with the highest values in MM (p < 0.05,Figure 1b–f, Table S1). Grazing significantly decreased SOC concentration in MM and TS, however it had no significant effect on TN, TP and AN concentration of three grassland type (Figure 1b–e, Table S1). Compared to the NG treatment, grazing increased AP concentration in TS and TSD, but it was not statistically significant (Figure 1f). Grassland type and grazing had significant interactive effects on soil bulk density, SOC and AP concentration (p<0.05,Table S1).

3.2. Aggregate particle distribution and stability

Grazing significantly affected soil aggregate distribution and MWD in different grassland types (p<0.05, Figure 2, Table S2). Grazing significantly decreased the proportion of aggregates >2 mm of MM, TS, and TSD by 51.53%, 31.61% and 71.90% and also reduced the MWD value. On the contrary, grazing significantly increased the proportion of aggregates 0.25–2 mm in MM and TSD and the proportion of aggregates 0.053–0.25 mm in TS (Figure 2a, d) (p<0.05, Figure 2b-c). Grassland types had significant effects on aggregate distribution and MWD(p<0.05) (Figure 2, Table S2). The proportion of aggregates >2 mm and MWD decreased in the order of MM, TS, TSD (p<0.05, Figure 2a, d). In addition, grassland type and grazing had significant interactive effects on the proportion of aggregates >2 mm (p<0.05, Table S2).

3.3. Characteristics of nutrients in soil aggregates

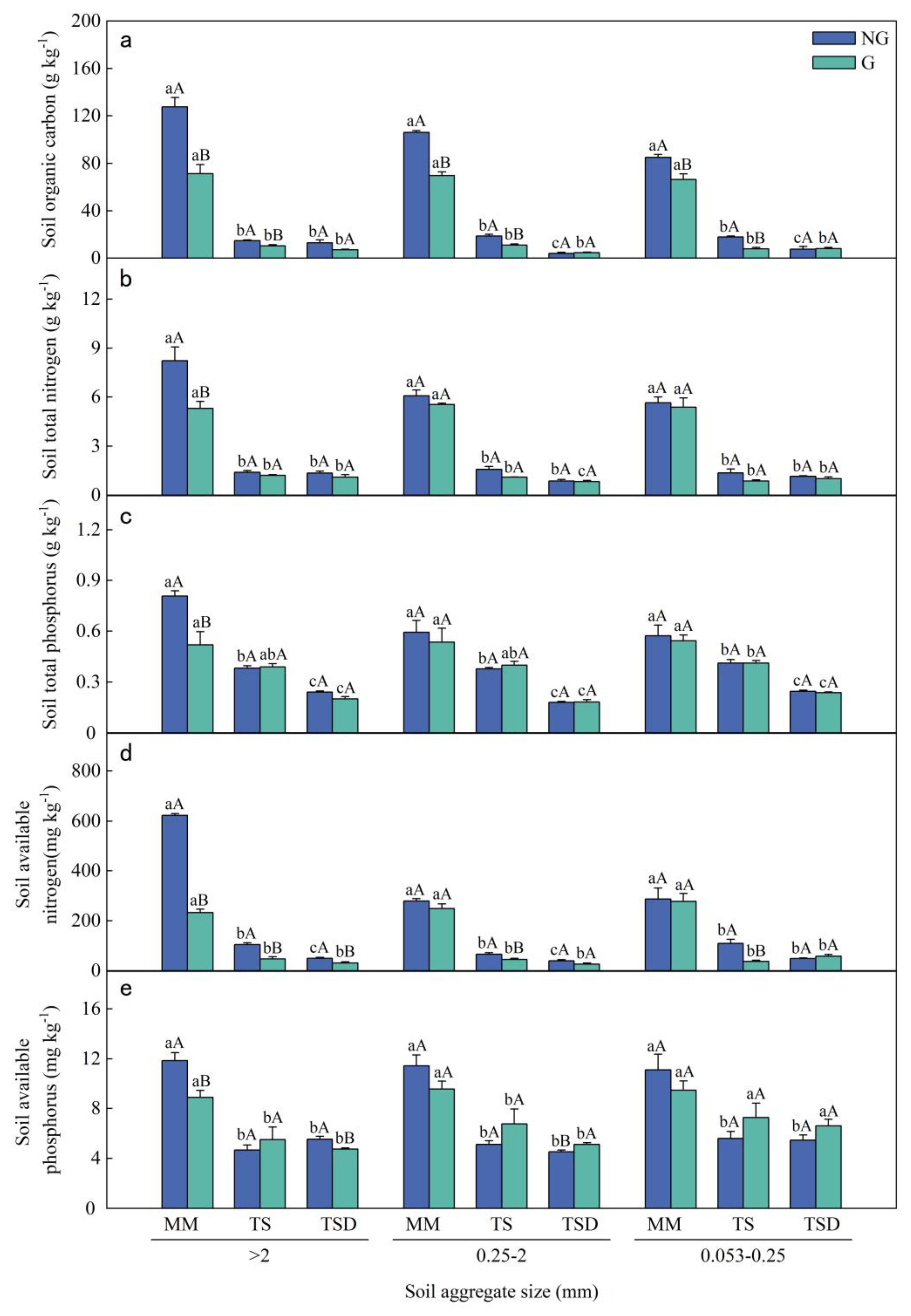
Grazing significantly affected nutrient concentration in soil aggregates under three grassland types (p<0.05, Figure 3, Table S3). As MM was concerned, grazing significantly reduced SOC, TN, TP, AN and AP concentration in aggregates >2 mm from 127.77 to 71.43 g kg-1, 8.22 to 5.31 g kg-1, 0.81 to 0.52 g kg-1, 623.11 to 233.25 mg kg-1, 11.85 to 8.89 mg kg-1, respectively (p<0.05, Figure 3). Grazing significantly decreased the SOC and AN concentration in aggregates of TS (p<0.05, Figure 3a, 3d). In general, grazing had no significant effect on aggregate-associated nutrients of TSD (Figure 3a). Grazing decreased AN concentration of three size of aggregates in TS and TSD but increased AP concentration to some extent (Figure 3d, 3e). According to the results of two-way analysis of variance, the main influence of grazing on aggregate nutrients was in the size of >2 mm (Table S3). Aggregate-associated nutrients showed significant differences among three grassland types (p<0.05, Figure 3, Table S3). MM grassland had higher SOC, TN, TP, AN and AP values in aggregates compared with the other two grassland types (p<0.05). For example, SOC concentration of MM was 5–15 times that of other grassland types, TN concentration was 3–6 times, and TP concentration was 1–3 times. TP concentration of each aggregate size in TS was significantly higher than that of TSD (p<0.05, Figure 3c). Grassland type and grazing had significant interactive effect on aggregate nutrients, which was also mainly reflected in aggregates >2 mm (p<0.05, Table S3).
Compared to the NG treatment, grazing significantly reduced SOCD of bulk soil in TS, but increased it in TSD (p<0.05, Figure 4a). However, grazing had no significant effect on SOC density of MM (Figure 4a). The grazing effect size on aggregate-associated SOC was significantly different among three grassland types in aggregates >2 mm. The effect size was TSD, MM, TS in descending order (p<0.05, Figure 4b).

3.4. Influence of environmental variables on soil aggregates

Through RDA analysis and Pearson correlation coefficient, the relationship between aggregate characteristics and soil properties was analyzed. The RDA analysis showed that the environmental properties of axes 1 and 2 represented 64.11% and 17.53% of the total variance, respectively (Fi[M1] gure 6). The BD, SOC and AN were significantly correlated with soil aggregate composition and stability, with BD being the primary environmental factor, followed by SOC (Figure 6, Table 2). MWD and the proportion of aggregates >2 mm was positively regulated by soil nutrients and negatively regulated by BD. MWD was significantly positive correlated with the concentration of soil SOC, TN, TP, AN, AP while negative correlated with soil bulk density (p<0.05, Figure 5). There were significant positive correlations between soil nutrients, however, soil nutrients negative correlated with soil bulk density (Figure 5).

4. Discussion

4.1. Effects of grazing and grassland types on soil aggregate size distribution and stability

As the physical structure of soil, the composition of aggregates with different particle sizes was sensitive responding to external influences [5]. In this study, under grazing, aggregates >2 mm of MM, TS and TSD changed to aggregates <2 mm, accompanied by a decrease in aggregate MWD (Figure 2). SOC is an important binding agent of aggregates, and AN is closely related to biomass accumulation [32]. Since grazing reduced SOC and AN concentration in all size of aggregates of MM and TS significantly (Figure 3), we speculated that the reduce of quality and quantity of binding agent of soil aggregates was the reason for the changes of aggregates in MM and TSD [4, 33]. Grazing also resulted in macroaggregates change to microaggregates in TSD. However, different from MM and TS, grazing had no significant effect on SOC concentration of TSD aggregates, but significantly increased soil bulk density (Figure 1, 3 ). This indicated that continued trampling by livestock compacted the soil, increased the soil bulk density, which was the main reason for the decrease of aggregates >2 mm in TSD [25]. Results of RDA showed that BD and soil nutrients were the main influence factors of the composition and stability of aggregates (Figure 6, Table 1). It was concluded that grazing mainly affected the composition and stability of aggregates of MM and TSD by reducing the nutrient input of plants, and affected TSD by increasing the soil bulk density. Further, the deterioration of soil quality would also exacerbate the degradation of plants, form a vicious circle [34]. Ultimately, overgrazing lead to degradation of grassland ecosystems, especially in vulnerable arid regions [4, 35-36].
Our study found significant differences in the composition of soil aggregates with different particle sizes and soil stability among grassland types. The proportion of aggregates >2 mm and MWD value in MM, with the highest precipitation, were significantly higher than those of the other two grassland types (Figure 2). Previous studies have shown that at the soil layer of 0–20 cm, MMD of meadow steppe were significantly greater than those of typical and desert steppes, which indicated that high precipitation was conducive to the formation and stability of aggregates [20]. In this study, the soil of MM with high precipitation was wetter compared with TS and TSD, causing the rich species diversity, high vegetation coverage and a developing root system, which was more conducive to the accumulation of binding agent of soil aggregates and resulted in a good soil stability [20]. Meanwhile, the high mean annual temperature of TS and TSD led to high evaporation, which was not conducive to the maintain the soil moisture retention and plant growth, and resulted in a low value in aggregate stability [19,20].
In addition, from the aggregate composition among the three grassland types, we found that different grassland types displayed different response intensities to grazing. The response of proportion of aggregates >2 mm to grazing in TSD was the strongest, followed by MM. This might be because lower vegetation coverage and root biomass of TSD resulted in a weak supporting effect on soil, which lead to a greater impact of livestock trampling on soil bulk density [4]. In general, results from our study showed that both grazing and climatic condition affected the composition of aggregates with different particle sizes and stability of soil aggregates, determined the soil structure and quality of different types of grassland.

4.2. Effects of grazing and grassland types on soil aggregation nutrients

Soil aggregates physically protect the nutrients and any factor that causes the change of the composition and stability of aggregates will directly lead to nutrient changec in them [5, 25, 37]. In our study, grazing had the greatest impact on nutrient concentration of aggregates >2 mm (Figure 3, 4b). We found that the nutrient concentration in aggregates >2 mm was higher than that of other particle size aggregates (especially in MM), and result of RDA also showed a stronger correlation between soil nutrient concentration and the proportion of aggregates >2 mm (Figure 6). This indicated that a large proportion of nutrients were stored in aggregates >2 mm, however, grazing significantly decreased that part nutrients, especially SOC, which exhibited noticeable response to grazing in all sizes of aggregates (Table S3). In general, aggregates of different particle sizes play different performance in maintaining soil nutrient availability, macroaggregates (>0.25 mm) contain more labile nutrients than microaggregates and those nutrients are more likely to lost when is subjected to disturbance (Table S3) [37]. Similar with previous research, our results also showed that grazing significantly decreased SOC concentration in macroaggregates in MM and TS [4, 38]. This was because: (1) livestock reduced the input of organics from the aboveground parts of plants into the soil through grazing, consequently, resulting in SOC losses [34]; (2) continuous grazing which directly or indirectly affected the physical and chemical properties of soil through trampling, for example, the constant trampling of grazing livestock compacted the soil and increased its bulk density which in turn worsen the soil physical properties [4, 12, 39]. However, SOCD showed different response to grazing, with minor effect on MM, decreasing SOC density in TS and increasing on TSD, respectively(Figure 4a). This was because: although grazing significantly reduced the SOC concentration of MM, but increased the soil bulk density to a certain extent, finally resulting in a minor change in SOCD of MM. Conversely, in TDS, a significant increase of soil bulk density led to a significant increase of SOCD under grazing. However, the increase of SOCD of TSD due to the increase of soil bulk density could not indicate the improvement of soil quality, on the contrary, it further proved the damage of soil structure caused by repeated trampling.
Vegetation difference among grassland types determines the local litter mass addition, microbial activities and nutrient cycles in the soil, which will strongly affect the soil structures and properties, result in more obvious spatial heterogeneity [40]. This study found that, regardless of grazing or not, nutrients concentration in soil aggregates in MM was notable higher than that of other two grassland types, which may relate to the vegetation, soil type and climatic conditions (including air temperature and precipitation, Table 1). Mean annual precipitation showed a trend of MM >TS > TSD, while mean annual temperature showed opposite trend, correspondingly, the nutrient concentration of all aggregate sizes in MM was the highest. Considering the climate condition, more precipitation would result in higher aboveground biomass accumulation and developed root system thus higher litter input, which promoted the formation and stabilization of microaggregates that were more conducive to nutrient fixation [19, 41]. However, macroaggregates can hold more nutrients, but that parts are particularly vulnerable to environmental change due to their strong activity and become easier to decompose [37]. As our results concerned, both grazing and grassland type had significant effect on nutrients in aggregates, especially the interaction effect occurred more in aggregates >2mm (Figure 3, Table S3). This result was similar to previous studies [42], further illustrating the instability of nutrients in large aggregates to environmental disturbance.
From the nutrients change in aggregates among the three grassland types, we found that different grassland types displayed differential response intensities to grazing, with stronger in aggregates of MM. Affected by the grassland type itself, soil of MM contained larger percentage of macroaggregates which were responsible for substances with high activity, so the damage to those parts by grazing were more serious. Therefore, continuous grazing pressure caused obviously decrease in the proportion of macroaggregates, and the concentration of various nutrients in MM [4]. As other grassland types concerned, aggregate-associated nutrients of TS and TSD did not exhibit as conspicuous response as MM by grazing. This may be because the nutrient concentration in TS and TSD were lower, and there was no room for reduction even faced with interference [19].

5. Conclusions

In this study, we evaluated the composition, stability and nutrient distribution of soil aggregates at the 0–10 cm soil layer under grazing and fenced plots among three grassland types in northern Xinjiang. The results indicated that the proportion of aggregates >2 mm and MWD of MM with high precipitation were the highest. Grazing decreased the proportion of aggregates >2 mm (on average 51.68%) and aggregate stability (on average 25.08%) in the three grassland types, with MM and TS mainly due to the reduction of binding agent of soil aggregates and TSD due to the increase of soil bulk density. The aggregate-associated nutrients of MM were significantly higher than that of TS and TSD. A large proportion of nutrients were stored in aggregates >2 mm, which had the strongest response to grazing disturbance. The SOC concentration of aggregates of MM and TS was significantly reduced by grazing, but SOCD of TSD was significantly increased because the soil bulk density was significantly increased by grazing. Collectively, this study provides detailed insights into the composition, stability and nutrient distribution of soil aggregates changes in different grassland types under grazing.

Author Contributions

L. F. and Y. L. contribute equally to this work. L. F. analyzed the data, and drafted the manuscript. Y. L. performed the experiments, analyzed the data. X. M., X. L. and G. W. performed part of the experiments. Y. L. and J. M. conceived the study. All authors have read and approved the final version of this manuscript.

Funding

This work was supported by the Regional Collaborative Innovation Project of Xinjiang Uygur Autonomous Region (2020E01015), the Third Xinjiang Scientific Expedition Program (2021xjkk0603), the “West Light” Talent Program of the Chinese Academy of Sciences (2019–XBQNXZ–B–005) and National Natural Science Foundation of China (42077327).

Data Availability Statement

The original contributions presented in the study are included in the article material, and further inquiries can be directed to the corresponding author.

Acknowledgments

We thank Altay Forest and Grassland Bureau for providing us the research platform where we can conduct this study. We also thank all the staffs working at the three national fenced grassland monitoring field stations for their great and effective assistance.

References

  1. Cui, Y.X.; Fang, L.C.; Guo, X.B.; Han, F.; Ju, W.L.; Ye, L.P.; Wang, X.; Tan, W.F. , Zhang, X.C. Natural grassland as the optimal pattern of vegetation restoration in arid and semi–arid regions: Evidence from nutrient limitation of soil microbes. Sci. Total Environ. 2019, 648, 388–397. [Google Scholar] [PubMed]
  2. Guillaume, T.; Bragazza, L.; Levasseur, C.; Libohova, Z. , Sinaj, S. Long-term soil organic carbon dynamics in temperate cropland–grassland systems. Agric. Ecosyst. Environ. 2021, 305, 107184. [Google Scholar]
  3. Zhang, M.; Li, X.B.; Wang, H. , Huang, Q. Comprehensive analysis of grazing intensity impacts soil organic carbon: A case study in typical steppe of Inner Mongolia, China. Comprehensive analysis of grazing intensity impacts soil organic carbon: A case study in typical steppe of Inner Mongolia, China. 2018, 129, 1–12. [Google Scholar]
  4. Zhang, X.R.; Zhang, W.Q.; Sai, X.; Chun, F.; Li, X.J.; Lu, X.X. , Wang, H. Grazing altered soil aggregates, nutrients and enzyme activities in a Stipa kirschnii steppe of Inner Mongolia. Soil Tillage Res. 2022, 219, 105327. [Google Scholar]
  5. Liu, D.D.; Ju, W.L.; Jin, X.L.; Li, M.D.; Shen, G.T.; Duan, C.J.; Guo, L.; Liu, Y.Y.; Zhao, W. , Fang, L.C. Associated soil aggregate nutrients and controlling factors on aggregate stability in semiarid grassland under different grazing prohibition timeframes. Sci. Total Environ. 2021, 777, 146104. [Google Scholar]
  6. Yao, Y.F.; Ge, N.N.; Yu, S.; Wei, X.R.; Wang, X.; Jin, J.W.; Liu, X.T.; Shao, M.G.; Wei, Y.C.; Kang, L. Response of aggregate associated organic carbon, nitrogen and phosphorous to re–vegetation in agro–pastoral ecotone of northern China. Geoderma. 2019, 341, 172–180. [Google Scholar] [CrossRef]
  7. Jastrow, J.D. Soil aggregate formation and the accrual of particulate and mineral-associated organic matter. Soil Biol. Biochem. 1996, 28, 665–676. [Google Scholar] [CrossRef]
  8. Bird, S.B.; Herrick, J.E.; Wander, M.M. , Wright, S.F. Spatial heterogeneity of aggregate stability and soil carbon in semi–arid rangeland. Environ. Pollut. 2002, 116, 445–455. [Google Scholar]
  9. Dec, D.; Doerner, J.; Balocchi, O. , Lopez, I. Temporal dynamics of hydraulic and mechanical properties of an Andosol under grazing. Soil Tillage Res. 2012, 125, 44–51. [Google Scholar]
  10. Silveira, M.L.; Xu, S.; Adewopo, J.; Franzluebbers, A.J. , Buonadio, G. Grazing land intensification effects on soil C dynamics in aggregate size fractions of a Spodosol. Geoderma. 2014, 230, 185–193. [Google Scholar]
  11. Bonetti, J.D.; Anghinoni, I.; Gubiani, P.I.; Cecagno, D. , De Moraes M.T. Impact of a long–term crop–livestock system on the physical and hydraulic properties of an Oxisol. Soil Tillage Res. 2019, 186, 280–291. [Google Scholar]
  12. Wang, J.W.; Zhao, C.Z.; Zhao, L.C.; Wen, J.; Li, Q. Effects of grazing on the allocation of mass of soil aggregates and aggregate–associated organic carbon in an alpine meadow. PLoS One. 2020, 15, e0234477. [Google Scholar] [CrossRef] [PubMed]
  13. Li, L.; Yuan, Z.R.; Li, F.C. Changes in Soil Aggregates Composition Stabilization and Organic Carbon during Deterioration of Alpine Grassland. IOP Conf Ser Earth Environ Sci. 2019, 237, 032068. [Google Scholar] [CrossRef]
  14. Fan, J.L.; Jin, H.; Zhang, C.H.; Zheng, J.J.; Zhang, J. , Han, GD. Grazing intensity induced alternations of soil microbial community composition in aggregates drive soil organic carbon turnover in a desert steppe. Agric. Ecosyst. Environ. 2021, 313, 107387. [Google Scholar]
  15. Reeder, J.D.; Schuman, G.E. Influence of livestock grazing on C sequestration in semi-arid mixed-grass and short-grass rangelands. Environ. Pollut. 2002, 116, 457–463. [Google Scholar] [CrossRef]
  16. Egan, G.; Crawley, M.J.; Fornara, D.A. Effects of long-term grassland management on the carbon and nitrogen pools of different soil aggregate fractions. Sci. Total Environ. 2018, 613, 810–819. [Google Scholar] [CrossRef]
  17. Hewins, D.B.; Lyseng, M.P.; Schoderbek, D.F.; Alexander, M.; Willms, W.D.; Carlyle, C.N.; Chang, S.X. , Bork, E.W. Grazing and climate effects on soil organic carbon concentration and particle–size association in northern grasslands. Sci Rep. 2018, 8, 1336. [Google Scholar]
  18. Fu, Q.; Li, B.; Hou, Y.; Bi, X.; Zhang, X.S. Effects of land use and climate change on ecosystem services in Central Asia's arid regions: A case study in Altay Prefecture, China. Sci. Total Environ. 2017, 607, 633–646. [Google Scholar] [CrossRef]
  19. Bi, X.; Li, B.; Nan, B.; Fan, Y.; Fu, Q. , Zhang, X.S. Characteristics of soil organic carbon and total nitrogen under various grassland types along a transect in a mountain–basin system in Xinjiang, China. J. Arid Land. 2018, 10, 612–627. [Google Scholar]
  20. Wang, T.; Xu, S.; Zhao, M.Y.; Li, H.; Kou, D.; Fang, J.Y. , Hu, H.F. Allocation of mass and stability of soil aggregate in different types of Nei Mongol grasslands. Chinese Journal of Plant Ecology. 2017, 41, 1168–1176. [Google Scholar]
  21. Zhang, Z.H.; Li, X.Y.; Jiang, Z.Y.; Peng, H.Y.; Li, L.; Zhao, G.Q. Changes in some soil properties induced by re-conversion of cropland into grassland in the semiarid steppe zone of Inner Mongolia, China. Plant Soil. 2013, 373, 89–106. [Google Scholar] [CrossRef]
  22. Bird, S.B.; Herrick, J.E.; Wander, M.M. , Murray, L. Multi-scale variability in soil aggregate stability: Implications for understanding and predicting semi-arid grassland degradation. Geoderma. 2007, 140, 106–118. [Google Scholar]
  23. Liu, W.T.; Wang, T.L.; Zhang, S.; Ding, L.J.; Lu, S.J. , Wei, Z.J. Effects of grazing on edificators and soil aggregate characteristics in stipa breviflora desert steppe. Ecology and Environmental Sciences. 2017, 26, 978–984. [Google Scholar]
  24. Dong, S.K.; Zhang, J.; Li, Y.Y.; Liu, S.L.; Dong, Q.N.M.; Zhou, H.K.; Yeomans, J.; Li, Y.; Li, S. , Gao, X.X. Effect of grassland degradation on aggregate-associated soil organic carbon of alpine grassland ecosystems in the Qinghai-Tibetan Plateau. Eur. J. Soil Sci. 2020, 71, 69–79. [Google Scholar]
  25. Wiesmeier, M.; Steffens, M.; Mueller, C.W.; Koelbl, A. ; Reszkowska, A; Peth, S.; Horn, R., Koegel-Knabner, I. Aggregate stability and physical protection of soil organic carbon in semi-arid steppe soils. Eur. J. Soil Sci. 2012, 63, 22–31. [Google Scholar]
  26. Zhou, Y.; Ma, H.B.; Xie, Y.Z.; Lu, Q.; Shen, Y.; Ma, J. Response of soil aggregate stability and erodibility to different treatments on typical steppe in the Loess Plateau, China. Restor. Ecol. 2022, 30, e13593. [Google Scholar] [CrossRef]
  27. Zhang, X.S. Ecological restoration and sustainable agricultural paradigm of mountain–oasis–ecotone–desert system in the north of the Tianshan Mountains. Acta Bot. Sin. 2001, 43, 1294–1299. [Google Scholar]
  28. Tian, J.; Xiong, J.N.; Zhang, Y.C.; Cheng, W.M.; He, Y.C.; Ye, C.C.; He, W. Quantitative assessment of the effects of climate change and human activities on grassland NPP in Altay Prefecture. Journal of Resources and Ecology. 2021, 12, 743–756. [Google Scholar]
  29. Elliott, E.T. Aggregate structure and carbon, nitrogen, and phosphorus in native and cultivated soils. Soil Sci. Soc. Am. J. 1986, 50, 627–633. [Google Scholar] [CrossRef]
  30. Bi, X.; Li, B.; Xu, X.C.; Zhang, L.X. Response of vegetation and soil characteristics to grazing disturbance in mountain meadows and temperate typical steppe in the arid regions of Central Asian, Xinjiang. Int. J. Environ. Res. Public Health. 2020, 17, 4572. [Google Scholar] [CrossRef]
  31. Shi, J.W.; Deng, L.; Gunina, A.; Alharbi, S.; Wang, K.B.; Li, J.W.; Liu, Y.L.; Shangguan, Z.P.; Kuzyakov, Y. Carbon stabilization pathways in soil aggregates during long-term forest succession: Implications from δ13C signatures. Soil Biol. Biochem. 2023, 180, 108988. [Google Scholar] [CrossRef]
  32. Su, Y.; Ma, X.F.; Le, J.J.; Li, K.H.; Han, W.X.; Liu, X.J. Decoupling of nitrogen and phosphorus in dominant grass species in response to long–term nitrogen addition in an Alpine Grassland in Central Asia. Plant Ecol. 2021, 222, 261–274. [Google Scholar] [CrossRef]
  33. Ju, W.L.; Moorhead, D.L.; Shen, G.T.; Cui, Y.X. , Fang, L.C. Soil aggregate development and associated microbial metabolic limitations alter grassland carbon storage following livestock removal. Soil Biol. Biochem. 2023, 177, 108907. [Google Scholar]
  34. Xu, S.; Liu, L.L.; Sayer, E.J. Variability of above-ground litter inputs alters soil physicochemical and biological processes: a meta-analysis of litterfall-manipulation experiments. Biogeosciences. 2013, 10, 7537–7537. [Google Scholar] [CrossRef]
  35. Bi, X.; Li, B.; Fu, Q.; Fan, Y.; Ma, L.X.; Yang, Z.H; Nan, B.; Dai, X.H.; Zhang, X.S. Effects of grazing exclusion on the grassland ecosystems of mountain meadows and temperate typical steppe in a mountain-basin system in Central Asia's arid regions, China. Sci. Total Environ. 2018, 630, 254–263. [Google Scholar] [CrossRef] [PubMed]
  36. Yasin, G.; Nawaz, M.F.; Zubair, M.; Azhar, M.F.; Mohsin Gilani, M.; Ashraf, M.N.; Qin, A.; Ur Rahman, S. Role of Traditional Agroforestry Systems in Climate Change Mitigation through Carbon Sequestration: An Investigation from the Semi-Arid Region of Pakistan. Land. 2023, 12, 513. [Google Scholar] [CrossRef]
  37. Six, J.; Bossuyt, H.; Degryze, S.; Denef, K. A history of research on the link between (micro)aggregates, soil biota, and soil organic matter dynamics. Soil Tillage Res. 2004, 79, 7–31. [Google Scholar] [CrossRef]
  38. Han, G.D.; Hao, X.Y.; Zhao, M.L.; Wang, M.J.; Ellert, B.H.; Willms, W.; Wang, M.J. Effect of grazing intensity on carbon and nitrogen in soil and vegetation in a meadow steppe in Inner Mongolia. Agric. Ecosyst. Environ. 2008, 125, 21–32. [Google Scholar] [CrossRef]
  39. Ji, L.; Qin, Y.; Jimoh, S.O.; Hou, X.Y.; Zhang, N.; Gan, Y.M.; Luo, Y.J. Impacts of livestock grazing on vegetation characteristics and soil chemical properties of alpine meadows in the eastern Qinghai-Tibetan Plateau. Ecoscience. 2020, 27, 107–118. [Google Scholar] [CrossRef]
  40. Zhao, D.; Xu, M.X.; Liu, G.B.; Ma, L.Y.; Zhang, S.M.; Xiao, T.Q.; Peng, G.Y. Effect of vegetation type on microstructure of soil aggregates on the Loess Plateau, China. Agric. Ecosyst. Environ. 2017, 242, 1–8. [Google Scholar] [CrossRef]
  41. Wang, G.Y.; Mao, J.F.; Fan, L.L.; Ma, X.X.; Li, Y.M. Effects of climate and grazing on the soil organic carbon dynamics of the grasslands in Northern Xinjiang during the past twenty years. Glob. Ecol. Conserv. 2022, 34, e02039. [Google Scholar] [CrossRef]
  42. Li, Q.; Song, Y.T.; Zhou, D.W.; Wang, M.L.; Chen, X.Y. Effects of fencing and grazing on soil carbon, nitrogen, phosphorus storage in degraded alkali-saline grassland. Pratacultural Science. 2014, 31, 1811–1819. [Google Scholar]
Figure 1. Response of soil physical and chemical properties to grazing in different grassland types. Note: NG, no-razing treatment; G, grazing treatment; MM, mountain meadow; TS, temperate steppe; TSD, temperate steppe desert. Different lowercase letters indicate significant differences (p<0.05) between different grassland types, and different uppercase letters indicate significant differences (p<0.05) between grazing and no-razing treatments.
Figure 1. Response of soil physical and chemical properties to grazing in different grassland types. Note: NG, no-razing treatment; G, grazing treatment; MM, mountain meadow; TS, temperate steppe; TSD, temperate steppe desert. Different lowercase letters indicate significant differences (p<0.05) between different grassland types, and different uppercase letters indicate significant differences (p<0.05) between grazing and no-razing treatments.
Preprints 77486 g001
Figure 2. Responses of the composition and stability of soil aggregates to grazing. Note: NG, no-grazing treatment; G, grazing treatment; MM, mountain meadow; TS, temperate steppe; TSD, temperate steppe desert. Different lowercase letters indicate significant differences (p<0.05) between different grassland types, and different uppercase letters indicate significant differences (p<0.05) between grazing and no-grazing treatments.
Figure 2. Responses of the composition and stability of soil aggregates to grazing. Note: NG, no-grazing treatment; G, grazing treatment; MM, mountain meadow; TS, temperate steppe; TSD, temperate steppe desert. Different lowercase letters indicate significant differences (p<0.05) between different grassland types, and different uppercase letters indicate significant differences (p<0.05) between grazing and no-grazing treatments.
Preprints 77486 g002
Figure 3. Responses of soil nutrients in aggregates to grazing. Note: NG, no-grazing; G, grazing; MM, mountain meadow; TS, temperate desert steppe; TSD, temperate steppe desert. Different lowercase letters indicate significant differences (p<0.05) between different grassland types, and different uppercase letters indicate significant differences (p<0.05) between grazing and no-grazing treatments.
Figure 3. Responses of soil nutrients in aggregates to grazing. Note: NG, no-grazing; G, grazing; MM, mountain meadow; TS, temperate desert steppe; TSD, temperate steppe desert. Different lowercase letters indicate significant differences (p<0.05) between different grassland types, and different uppercase letters indicate significant differences (p<0.05) between grazing and no-grazing treatments.
Preprints 77486 g003
Figure 4. Organic carbon density in the soil layer of 0–10 cm (a) and the grazing effect size on aggregate-associated SOC varied in different sizes of soil aggregates (b). Note: NG, no-grazing; G, grazing; MM, mountain meadow; TS, temperate steppe; TSD, temperate steppe desert. Different lowercase letters indicate significant differences (p<0.05) between different grassland types.
Figure 4. Organic carbon density in the soil layer of 0–10 cm (a) and the grazing effect size on aggregate-associated SOC varied in different sizes of soil aggregates (b). Note: NG, no-grazing; G, grazing; MM, mountain meadow; TS, temperate steppe; TSD, temperate steppe desert. Different lowercase letters indicate significant differences (p<0.05) between different grassland types.
Preprints 77486 g004
Figure 5. Correlation analysis of aggregates MWD and soil properties. Note: SOC, soil organic carbon; TN, soil total nitrogen; TP, soil total phosphorus; AN, soil available nitrogen; AP, soil available phosphorus; BD, soil bulk density. *, ** and *** indicate significant difference at p<0.05, p<0.01 and p<0.001, respectively.
Figure 5. Correlation analysis of aggregates MWD and soil properties. Note: SOC, soil organic carbon; TN, soil total nitrogen; TP, soil total phosphorus; AN, soil available nitrogen; AP, soil available phosphorus; BD, soil bulk density. *, ** and *** indicate significant difference at p<0.05, p<0.01 and p<0.001, respectively.
Preprints 77486 g005
Figure 6. Redundancy analysis (RDA) for relationship between the characteristics of soil aggregates and properties of bulk soil. BD, soil bulk density; SOC, soil organic carbon; TN, soil total nitrogen; TP, soil total phosphorus; AN, soil available nitrogen; AP, soil available phosphorus; MWD, mean weight diameter; WAS, water-stable aggregates.
Figure 6. Redundancy analysis (RDA) for relationship between the characteristics of soil aggregates and properties of bulk soil. BD, soil bulk density; SOC, soil organic carbon; TN, soil total nitrogen; TP, soil total phosphorus; AN, soil available nitrogen; AP, soil available phosphorus; MWD, mean weight diameter; WAS, water-stable aggregates.
Preprints 77486 g006
Table 1. Details of the sampling plots.
Table 1. Details of the sampling plots.
Item MM TS TSD
Lon (°) 85.71 89.75 86.21
Lat (°) 47.22 46.98 47.29
Alt (m) 2045 1450 1127
MAP (mm) 397.2 276.5 256.2
MAT (°C) –1.2 4.6 7.5
Zonal soil Mountain meadow soil Chestnut soil Brown calcic soil
Dominate species Carex buekii;
Polygonum viviparum
Festuca ovina Seriphidium gracilescens;
Stipa capillata
Note: Lon, longitude; Lat, latitude; Alt, altitude; MAP, mean annual precipitation; MAT, mean annual temperature; MM, mountain meadow; TS, temperate steppe; TSD, temperate steppe desert.
Table 2. The goodness-of-fit (R2), explained fitted variation(contribution), F and p-value of BD, SOC, TN, TP, AN and AP for RDA (Conditional effect).
Table 2. The goodness-of-fit (R2), explained fitted variation(contribution), F and p-value of BD, SOC, TN, TP, AN and AP for RDA (Conditional effect).
Explanatory variable R2 Adjusted R2 Contribution (%) F p-value
BD 0.460 0.410 56.400 13.700 0.002
SOC 0.150 0.130 18.100 8.100 0.004
AN 0.140 0.120 16.700 5.100 0.014
AP 0.040 0.030 4.700 2.300 0.128
TN 0.020 0.020 2.200 1.100 0.354
TP 0.020 0.020 2.000 1.000 0.432
First Axis 19.700 0.002
All Axis 0.820 0.720 8.200 0.002
Note: BD, soil bulk density; SOC, soil organic carbon; TN, soil total nitrogen; TP, soil total phosphorus; AN, soil available nitrogen; AP, soil available phosphorus.
Disclaimer/Publisher’s Note: The statements, opinions and data contained in all publications are solely those of the individual author(s) and contributor(s) and not of MDPI and/or the editor(s). MDPI and/or the editor(s) disclaim responsibility for any injury to people or property resulting from any ideas, methods, instructions or products referred to in the content.
Copyright: This open access article is published under a Creative Commons CC BY 4.0 license, which permit the free download, distribution, and reuse, provided that the author and preprint are cited in any reuse.
Prerpints.org logo

Preprints.org is a free preprint server supported by MDPI in Basel, Switzerland.

Subscribe

Disclaimer

Terms of Use

Privacy Policy

Privacy Settings

© 2026 MDPI (Basel, Switzerland) unless otherwise stated