Preprint
Article

This version is not peer-reviewed.

Evolution Game Analysis of Chemical Risk Supervision Based on Different Modes: Special Rectification and Normal Regulation

A peer-reviewed article of this preprint also exists.

Submitted:

19 May 2023

Posted:

19 May 2023

You are already at the latest version

Abstract
Chemical safety is related to public health, safety and environmental concerns, and the dangerous chemicals safety problem is becoming the one that people commonly pay attention to. Strengthening chemical safety supervision not only involves safe production, but also is an important link to maintain social safety. Most related studies focus on chemical safety under normal regulation, this paper addresses the perspective of ‘special rectification’ and ‘normal regulation’, and establishes an evolutionary game model between chemical enterprises and government supervision departments under different supervision modes. Based on the evolutionary game theory, this paper studies the evolution process of the two game players' strategy choices, and compares and analyzes the evolution, stability and equilibrium between the chemical safety and the behavior strategies of government regulatory departments. The model is effectively analyzed based on numerical simulation, and the results show that: Under the ‘special rectification’ mode, the strategic choice of chemical enterprises engaging in safety without investment depends on the difference between the benefits and costs of safety without investment; In the ‘normal regulation’ mode, the choice of its safety non-investment strategy depends on the difference between the cost of engaging in safety investment and the cost of safety non-investment; Increasing the government's punishment will encourage chemical enterprises to take safety investment behavior under the two supervision modes. Increasing the punishment has a significant impact on the safety investment behavior of chemical enterprises under the ‘normal regulation’ mode, but it has no significant impact on the behavior of chemical enterprises under the ‘special rectification’ mode. At the same time, increasing the punishment will inhibit the strict supervision behavior of the government. The research conclusion provides important decision support for government departments to effectively supervise the safety production of chemical enterprises.
Keywords: 
;  ;  ;  

1. Introduction

With the continuous development of the chemical industry, more chemical products are used in social life and production, which accelerates the rapid development of the national economy. However, most chemical products are flammable, explosive, toxic, radioactive and other dangerous characteristics, if not handled properly in the process of production, storage, transportation and use, major safety accidents will easily occur, which will cause serious personal casualties, property losses and environmental pollution. Although chemical enterprises and relevant departments have done a lot of work to reduce safety production accidents, there are still loopholes in safety supervision and production process, which leads to frequent safety production accidents in China’s chemical industry. The typical example is ‘1.15′ Liaoning Panjin major explosion and fire accident. On January 15, 2023, a leakage, explosion, and fire accident occurred in the alkylation unit of Liaoning Panjin Haoye Chemical Corporation, resulting in 13 deaths and 35 injuries. Chemical enterprises generally store a large amount of flammable and explosive hazardous materials, which pose high risks during the production process. Once a fire occurs, it will cause extremely serious consequences. These major safety accidents have exposed some problems in safety supervision of chemical industry, such as weak awareness, unclear main responsibility, inadequate investigation of hidden dangers, etc. It is of great practical significance to study the safety supervision and governance of chemical enterprises.
One important reason for the frequent occurrence of chemical safety accidents in enterprises is that the safety supervision system is not perfect, there are serious supervision gaps in the production, transportation, storage and use of chemical products, resulting in loopholes in supervision [1,2].Lefebvre and Leveneur [3] summarized the causes of chemical accidents as leakage, fire, explosion, and thermal runaway. Therefore, it is necessary to conduct safety analysis and management of chemical enterprises to prevent major chemical accidents from occurring. Zhu L [4] took the local government’s supervision behavior in the chemical industry safety as the research object, and analyzed the current situation of chemical safety supervision in Shandong Province, as well as some problems, such as imperfect supervision system, inadequate safety planning, weak law enforcement ability, lagging construction of basic supervision information, etc. Dai X [5] analyzed the current situation of supply and demand of China’s chemical safety supervision, and the outstanding problems such as the lack of specialized laws and standards, the single supervision means, and the arbitrariness of supervision from the perspective of government safety supervision. Makin and Winder [6] pointed out that improving the government’s supervision can have an important impact on the safety production of enterprises, and analyzed the role of external environment in improving the safety production management level. Wachter and Yorio [7] analyzed the influence of the establishment of safety production supervision system on employees’ behavior from the perspective of internal safety management. Chen H [8] analyzed the problems and causes of the safety supervision and management of dangerous chemicals in Huian County from the aspects of the supervision object, the supervision subject and the supervision links. Shi Lichen et al. [9] pointed out that the boundary between government supervision and enterprise management of hazardous chemicals was unclear, and the public participation in major hazard source construction projects was insufficient. Yang and Sun [10] also pointed out that the probability of related accidents and risks can be reduced by setting quantitative standards, constructing safety indicators, and government support and policy guidance.
Strengthening the internal safety management and control of chemical enterprises by reasonable and scientific methods to ensure the safety of personnel and production equipment is an inevitable means for the stable and rapid development of enterprises [11]. In view of the problems existing in the safety supervision of chemical enterprises, Wang H [12] discussed the safety supervision of hazardous chemicals in China from the perspectives of enterprise management, government management, scientific and technological means, laws and regulations, linkage mechanism, etc., and defined the main responsibility of enterprises, the safety supervision responsibility of government departments and the effective mechanism of multi-department linkage supervision in the supervision system. Ale et al. [13] described a number of recent incidents in the Netherlands and the subsequent investigations, the study found that only a minority of companies make safety of their workers and their environment really a priority. Hence the authorities need to continue to insist that multiple layers of defense be designed and installed and not leave inspection and oversight to the companies or the industry itself. Smith et al. [14] further proposed to strengthen safety training and guidance for employees engaged in dangerous work in enterprises, and timely monitor and identify the information of employees who are prone to harm. Lee et al. [15] discussed the systematic changes in laws, regulations, business cultures, and accident responses of organizations on a national level for chemical safety management after a large chemical release accident, and hold that it is possible to cope with disasters more efficiently through cooperation among relevant agencies. Campos et al. [16] researched how different stakeholders (industry, government and the public) view the current application of omics data in chemical safety assessment, and what key progress needs to be made so that valuable solutions can be provided to improve our confidence in chemical safety assessment, and finally incorporated into the global regulatory framework.
The safety production of chemical enterprises involves many stakeholders. In view of the interest game of the participants, the existing research analyzes the safety production supervision of enterprises with the help of game theory. Taking the supervision failure of Xiangshui ‘3.21′ explosion accident in Jiangsu Province as an example, Jiang Y [17] made a multi-dimensional dynamic analysis of the value choice and behavior game between the government and enterprises from the project introduction stage, the business development stage to the post-accident stage by using the evolutionary game model and the benefit analysis method based on the hypothesis of bounded rational behavior. The study concluded that the government safety supervision game strategy needs the benefit value lever reconstruction based on the cost-benefit balance. Zhang Z [18] took the evolutionary game model as the main theoretical tool, constructed a perceived income matrix which is different from the traditional income matrix, and applied it to the research on the safety management behavior of chemical products production in enterprises, analyzed the evolution process of the supervision of unsafe behaviors among employees in enterprises, obtained the objective conditions for the system to reach the ideal state of safety, and provided a theoretical basis for formulating reasonable and effective management regulations and built a tripartite dynamic evolution game system between government and enterprises based on public participation, and analyzed the interaction mechanism of main stakeholders’ behaviors and the factors that influence the system evolution. Shen B [19] analyzed the supervision effect of the government safety supervision department based on the game model, and the research pointed out that the penalty amount collected by the government safety supervision department after the production safety accident in the enterprise had a significant influence on the evolution effect. Liu S et al. [20] based on the consideration of industrial cluster enterprises’ safe production behavior and its supervision characteristics, through the analysis of the evolution model of the interaction process between enterprise groups, revealed the evolution law of enterprises’ safe production behavior choice.
The multi-party game subjects involved in the supervision of chemical enterprises have the characteristics of information uncertainty and bounded rationality, and the traditional game theory can no longer be applied to analysis. Evolutionary game theory is different from the traditional game theory, which assumes that all game participants are completely rational. It takes game participants with limited rationality as an analysis, and opens up a new research angle of game theory. Evolutionary game theory was put forward by Smith and Price [21] when analyzing the phenomenon of biological evolutionary process. It is an asymptotic evolutionary process with some adaptive learning ability, and individuals with high adaptability will be retained. The Evolutionarily Stable Strategy (ESS) in evolutionary game theory is given. Guo and Chen [22], based on methods such as situation awareness, situation construction, and situation deduction, constructed an emergency management CIA-DISM model to further analyze the evolution process of a chemical park disaster after the Wenchuan earthquake and provide technical support for enterprise accident prevention.Bin et al. [23] considered the problem of random mutation in the process of evolution, and comprehensively discussed the mechanism of individuals’ dynamic entry into and exit from the population and imitation, thus obtaining the concept of dynamic imitator in evolutionary game theory. Sethi [24] considered that the possibility of learning strategies by imitation is different, and some strategies are almost difficult to observe, so it will be more difficult to learn by imitation, and put forward a generalized replication dynamic equation. Evolutionary game theory overcomes the limitations of traditional game theory and brings bounded rational participants into the research. Therefore, the study of evolutionary game theory provides a theoretical basis for analyzing the regulatory governance of chemical enterprises.
To sum up, although some articles have done relevant research on chemical safety and its supervision, there is still a lack of analysis of the game mechanism between government regulatory authorities and chemical enterprises from the perspective of game theory, and there are few researches on the strategic choice and reward and punishment mechanism between the two parties. Different from previous studies, the research innovations of this paper are mainly reflected in:
(1)
Based on the perspective of ‘special rectification’ and ‘normal regulation’, the evolutionary game analysis of chemical safety supervision in different modes is carried out;
(2)
The probability of chemical safety accident risk is introduced, and the influence of the probability of chemical safety accident on the strategy choice of two game players is analyzed.
(3)
Considering the evolution process of each game subject’s strategy choice under the government punishment mechanism, and comparing and analyzing the evolution, stability and balance of the behavior strategies of chemical enterprises and government supervision departments, and simulating the evolution process of the game under Matlab software environment, simulating the evolution trend of the two players under different conditions, and analyzing the influence of each factor on the strategy choice.

2. Materials and Methods

2.1. Problem Description and Model Hypothesis

In the process of chemical safety production, the government regulatory authorities and chemical enterprises, as bounded rational game players, have different strategies to participate in the game. The following assumptions are put forward for this paper:
Assumption 1: The behavior strategies of chemical enterprises are two strategies: safety without investment F or safety investment T , and the strategy set is S T t = F , T . The behavior strategies of government regulatory departments are two strategies: strict supervision S or loose supervision N . The strategy set is S T g = S ,   N . In the game process, assuming that the proportion of local governments adopting strict supervision strategy is P , the proportion of local governments adopting loose supervision strategy is 1 P , P 0,1 , the proportion of safety investment in chemical industry is q , the proportion of safety without investment is 1 q , q 0,1 .
Assumption 2: The profit of safety investment in chemical enterprises is V t , and the cost of safety investment is C t 1 . When the government regulatory authorities strictly supervise, the chemical enterprises engaged in safety investment will be rewarded φ . At this time, the revenue of the regulatory authorities is U g , and the cost of strict supervision and enforcement is C g .
Assumption 3: When a chemical enterprise does not invest in safety, it is easy to cause chemical accidents. Assuming that the incidence of chemical accidents is β , the cost of engaging in safety non-investment in chemical transactions is C t 2 , C t 1 > C t 2 . When the regulatory authorities strictly supervise, the enterprises engaged in safety non-investment in chemical industry will be punished δ , δ > C t 1 ; When the regulatory authorities relax their supervision, once a chemical accident occurs, the regulatory authorities will bear the losses Φ g caused by their default in supervision, and the chemical enterprises will bear the losses Φ t caused by chemical accidents.
Assumption 4: If the government regulatory authorities relax supervision and the chemical enterprises don’t invest in safety, when a chemical accident occurs, it will have a serious impact on public health, social stability and economic development, and the higher-level government authorities will pursue the responsibility of the government regulatory authorities (including dismissal, warning, punishment, etc.), and the penalty amount is ω .
Hypothesis   decision   variable   γ ,   γ = 0 ,   u n d e r s ' p e c i f i c   r e g u l a t i o n ' m o d e 1 , u n d e r n ' o r m a l   r e g u l a t i o n ' m o d e
According to the above model assumptions, we can get the game income matrix between government regulatory authorities and chemical enterprises, as shown in Table 1.

2.2. Analysis of Evolutionary Game Model Under ‘Special Rectification’ Mode

In April, 2020, the State Council Security Committee issued the Three-Year Action Plan for Special Remediation of National Production Safety, which defined two special implementation plans and nine special remediation implementation plans, mainly focusing on coal mines, dangerous chemicals, fire protection, industrial parks, hazardous wastes and other industries with high risks, many hidden dangers and frequent accidents, and organized and carried out special remediation actions for national production safety. With regard to the special rectification of hazardous chemicals, the General Offices of the General Office of the Central Committee of the CPC and the State Council issued the Opinions on Comprehensively Strengthening the Safety Production of Hazardous Chemicals in February 2020, which strengthened the safety production of hazardous chemicals from the aspects of strengthening safety risk management and control, implementing the main responsibility of enterprises, and strengthening safety supervision ability. In May, 2020, the Emergency Management Department carried out special inspection and supervision of enterprises with major risk sources of hazardous chemicals throughout the country. That is the ‘special rectification’ mode of safety production in chemical enterprises, let γ = 0 ,then form the evolutionary game model of safety supervision of chemical enterprises under the ‘special rectification’ mode. At this point, the government regulatory authorities and business operators have a game income matrix, as shown in Table 2.

2.2.1. Replicator Dynamics Equation of Chemical Enterprises

The expected income Π T   of chemical enterprises adopting the strategy T of ‘safety investment’ and the expected income Π F   of ‘safety non-investment’ F   and the average expected income Π ¯ t are respectively:
Π T = 0
Π F = V t C t 2 δ p + 1 β V t C T 2 β Φ t 1 p
Π ¯ t = Π T q + Π F 1 q  
The evolutionary game replicator dynamic equation of chemical enterprises is as follows:
F q = q & = q Π T Π ¯ t
= q 1 q Π T Π F
= q ( 1 q ) δ β V t β Φ t p V t C t 2 β V t β Φ t

2.2.2. Replicator Dynamics Equation of Government Regulatory Authorities

The expected return Π S of the government adopting strict supervision strategy S , the expected return Π N of loose supervision strategy N , and the average expected return Π ¯ g are:
Π S = U g C g q + ( U g C g + δ ) ( 1 q )
Π N = U g q + 1 β U g β Φ g ω ( 1 q )
Π ¯ g = Π S p + Π N ( 1 p )
The evolutionary game replicator dynamic equation of government regulatory departments is:
F p = p & = Π S Π ¯ g p = Π S Π N p 1 p = p ( 1 p ) δ ω β U g β Φ g q + ( C g + δ + ω + β U g + β Φ g )

2.2.3. Stochastic Petri Net Model of Major Hazardous Chemicals Accidents

From equations (4) and (8), the two-dimensional dynamic system (I) composed of government regulatory departments and chemical enterprises can be obtained as follows:
p & = p 1 p δ ω β U g β Φ g q + C g + δ + ω + β U g + β Φ g q & = q ( 1 q )   δ β V t β Φ t ) p ( V t C t 2 β V t β Φ t )  
The stability of the equilibrium point of the two-dimensional dynamic system is obtained by analyzing the local stability of Jacobian matrix of the two-dimensional dynamic system composed of two groups [25]. The Jacobian matrix of system (I) is:
J = [ p & / p   p & / q q & / p   q & / q ]
= [ 1 2 p δ ω β U g β Φ g q + C g + δ + ω + β U g + β Φ g   p 1 p δ ω β U g β Φ g q 1 q δ β V t β Φ t   ( 1 2 q ) [ δ β V t β Φ t p C t 2 + V t β V t β Φ t ] ]
Calculate the values and symbols of the determinant and trace of the matrix J at five points (0,0), (0,1), (1,0), (1,1), ( p * , q * ),   p * = V t C t 2 β V t β Φ t δ β V t β Φ t , q * = C g δ ω β U g β Φ g δ ω β U g β Φ g , thereby judging the local stability of the system (I), the evolutionary game stability strategy (ESS) of the replicator dynamic equation system. According to the method proposed by Friedman [26], it can be obtained from the analysis of systematic Jacobian matrix (J), that is, if and only if the determinant   d e t . J > 0 and t r J < 0 , the evolutionary game can reach equilibrium. The analysis results of equilibrium point and local stability of system (I) are shown in Table 3.
Inference 1 When the condition C g > δ + ω + β U g + β Φ g and V t C t 2 > β V t + β Φ t   is met, the system (I) has a unique evolutionary stability strategy of (0,0). That is, when the difference between the profit and cost of safety non-investment by chemical enterprises is greater than the sum of safety non-investment cost and safety non-investment loss compensation, and the cost of strict government supervision is greater than the sum of fines, strict supervision gains, loose supervision default losses and additional penalties, then chemical enterprises tend to choose safety non-investment strategy, and government supervision departments tend to choose loose supervision strategy;
Inference 2 When the condition C g > 0   and V t C t 2 < β V t + β Φ t   is met, System (I) has an evolutionary stability strategy of (0,1); If the difference between the profit and cost of safety non-investment in chemical enterprises is less than the sum of safety non-investment cost and safety non-investment loss compensation, chemical enterprises will choose safety investment strategy. At this time, the government supervision department will relax supervision and adopt loose supervision strategy;
Inference 3 When the condition C g < δ + ω + β U g + β Φ g   and V t C t 2 > δ   is met, the system (I) has a unique evolutionary stable strategy of (1,0). If the penalty amount of the higher level government is greater than the supervision cost of the local government, and the difference between the benefits and costs of chemical enterprises adopting safe non-investment is greater than the government penalty, the chemical enterprises tend to choose the safe non-investment strategy, and the government departments will choose the strict supervision strategy.

2.3. Analysis on the Construction of Evolutionary Game Model Under ‘Normal Regulation’ Mode

Under the ‘normal regulation’ mode in which chemical enterprises are forbidden from safety non-investment, make γ = 1 , and the evolution game model of chemical enterprises under the ‘normal regulation’ mode is obtained. At this point, the government regulatory authorities and chemical enterprises play the game income matrix, as shown in Table 4.

2.3.1. Replicator Dynamics Equation of Chemical Enterprises

The expected income Π T   of chemical enterprises adopting the strategy of ‘safe investment’ T   and the expected income Π F   of ‘safe non-investment’ F and the average expected income Π ¯ t are as follows:
Π T = V t C t 1 + φ p + V t C t 1 1 p  
Π F = V t C t 2 δ p + [ 1 β V t C t 2 β Φ t ] ( 1 p )
Π ¯ t = Π T q + Π F ( 1 q )
The evolutionary game replicator dynamic equation of chemical enterprises is as follows:
F q = q & = q Π T Π ¯ t = q 1 q Π T Π F = q 1 q [ φ + δ β V t β Φ t p + β V t + β Φ t C t 1 + C t 2 ]

2.3.2. Replicator Dynamics Equation of Government Regulatory Authorities

The expected return Π S of the government adopting strict supervision strategy S , the expected return Π N   of loose supervision strategy N , and the average expected return Π ¯ g   are:
Π S = U g C g φ q + ( U g C g + δ ) ( 1 q )
Π N = U g q + [ 1 β U g β Φ g ω ] ( 1 q )
Π ¯ g = Π S p + Π N ( 1 p )
The evolutionary game replicator dynamic equation of government regulatory departments is:
F p = p = Π S Π ¯ g p = Π S Π N p 1 p = p ( 1 p ) φ δ ω β U g β Φ g q + ( C g + δ + ω + β U g + β Φ g )

2.3.3. Mixed Strategy Stability Analysis

The two-dimensional power system (I) composed of chemical enterprises and government regulatory departments can be obtained from equations (14) and (18) as follows:
p & = p 1 p φ δ ω β U g β Φ g q + C g + δ + ω + β U g + β Φ g q & = q ( 1 q )   φ + δ β V t β Φ t ) p + ( C t 1 + C t 2 + β V t + β Φ g )  
According to the method proposed by Friedman [27], the stability of the equilibrium point of the two-dimensional dynamic system is obtained by analyzing the local stability of Jacobian matrix of the two-dimensional dynamic system composed of two groups. The Jacobian matrix of system (II) is:
J = [ p & / p p & / q q & / p q & / q ] = [ 1 2 p φ δ ω β U g β Φ g q + C g + δ + ω + β U g + β Φ g   p 1 p φ δ ω β U g β Φ g q 1 q φ + δ β V t β Φ t   ( 1 2 q ) [ φ + δ β V t β Φ t p C t 1 + C t 2 + β V t + β Φ t ] ]
Calculate the values and symbols of the determinant and trace of the matrix at five points (0,0), (0,1), (1,0), (1,1), ( p * , q * ), where   p * = C t 1 C t 2 β V t β Φ t φ + δ β V t β Φ t , q * = C g δ ω β U g β Φ g φ δ ω β U g β Φ g . From this, the local stability of the system (I) is judged, and the evolutionary game stability strategy (ESS) of the replicator dynamic equation system. According to the method proposed by Friedman [27], it can be obtained from the analysis of the Jacobian matrix (J) of the system, that is, if and only if the determinant d e t . J > 0 and t r J < 0 , the evolutionary game can reach an equilibrium state. The equilibrium point and local stability analysis results of system (II) are shown in Table 5.
Inference 4 When the condition C g > δ + ω + β U g + β Φ g and C t 1 C t 2 > β V t + β Φ t   is met, System (II) has a unique evolutionary stability strategy of (0,0); When the difference between the cost of safety investment and the cost of safety non-investment is greater than the sum of the income of safety investment and the compensation for the loss of safety non-investment, safety non-investment will get high profits and the cost of strict government supervision is greater than the sum of fines, income of strict supervision, loss of default in loose supervision and additional punishment, then chemical enterprises tend to choose the strategy of safety non-investment, and government regulatory departments tend to choose the strategy of loose supervision;
Inference 5 When the condition   C t 1 C t 2 < β V t + β Φ t   and φ + δ > 0   is met, System (II) has an evolutionary stability strategy of (0,1); If the difference between the cost of safety investment and the cost of safety non-investment is less than the sum of the income of safety investment and the compensation for loss of safety non-investment, the chemical enterprises will choose the strategy of safety investment, and then the government supervision department will relax supervision and adopt a loose supervision strategy;
Inference 6 When the condition C g < ω   and C t 1 C t 2 > φ + δ   is met, System (II) has a unique evolutionary stable strategy of (1,0). The stability of the equilibrium point is analyzed, and the results are shown in Table 2. If the penalty amount of higher-level government is greater than the supervision cost of local government, and the difference between the cost of safety investment and the cost of safety non-investment of chemical enterprises is greater than the sum of government rewards and punishments, chemical enterprises tend to choose the strategy of safety non-investment, and government departments will choose the strategy of strict supervision.
According to the above analysis, under the ‘special rectification’ mode, the strategic choice of safety non-investment in chemical enterprises depends on V t C t 2 , that is the difference between the income and cost of safety non-investment in chemical enterprises; However, under the ‘normal regulation’ mode, the strategy choice of safety non-investment depends on   C t 1 C t 2 , that is the difference between the cost of safety investment and the cost of safety non-investment. For the government supervision departments, their strategy choices in two different modes depend on the supervision cost, superior punishment and extra penalty income, which has no significant influence on their behavior strategy choices.

3. Results and Discussion

According to the above analysis, no matter from the perspective of government supervision departments or chemical safety production, chemical enterprises should abide by the safety investment policy. Therefore, it is necessary to analyze the influencing factors that affect the safety investment behavior choice of chemical enterprises, find out their laws, and strengthen the safety production supervision of chemical enterprises. The simulation parameters of the system are set as follows: assuming that the safety input income V t = 42 , safety investment cost C t 1 = 32 , no safety non-investment cost C t 2 = 24 , the government strictly supervises C g = 18 , the supervision income U g = 26 , government reward φ = 5 , supervision punishment δ = 5 , the government bears the loss Φ g = 10 , the chemical enterprise bears the loss Φ t = 8 , the higher-level government punishment   ω = 20 , and the probability of chemical accidents β = 0.4 , meet the condition (2) of Theorem 1. The initial strategy selection ratios of government regulatory authorities and chemical enterprises are respectively as follows: p = 0.5 , q = 0.5 , and the time period T i m e   is taken [0, 50]. The abscissa T i m e in the figure indicates the time period, and the ordinate p , q   indicate the change of behavior strategy ratio between government regulatory authorities and chemical enterprises.

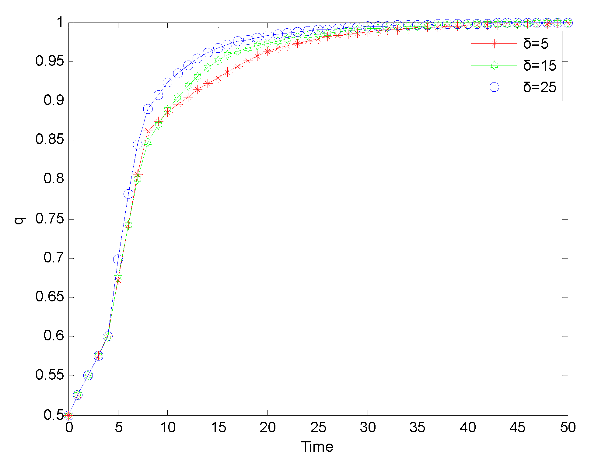
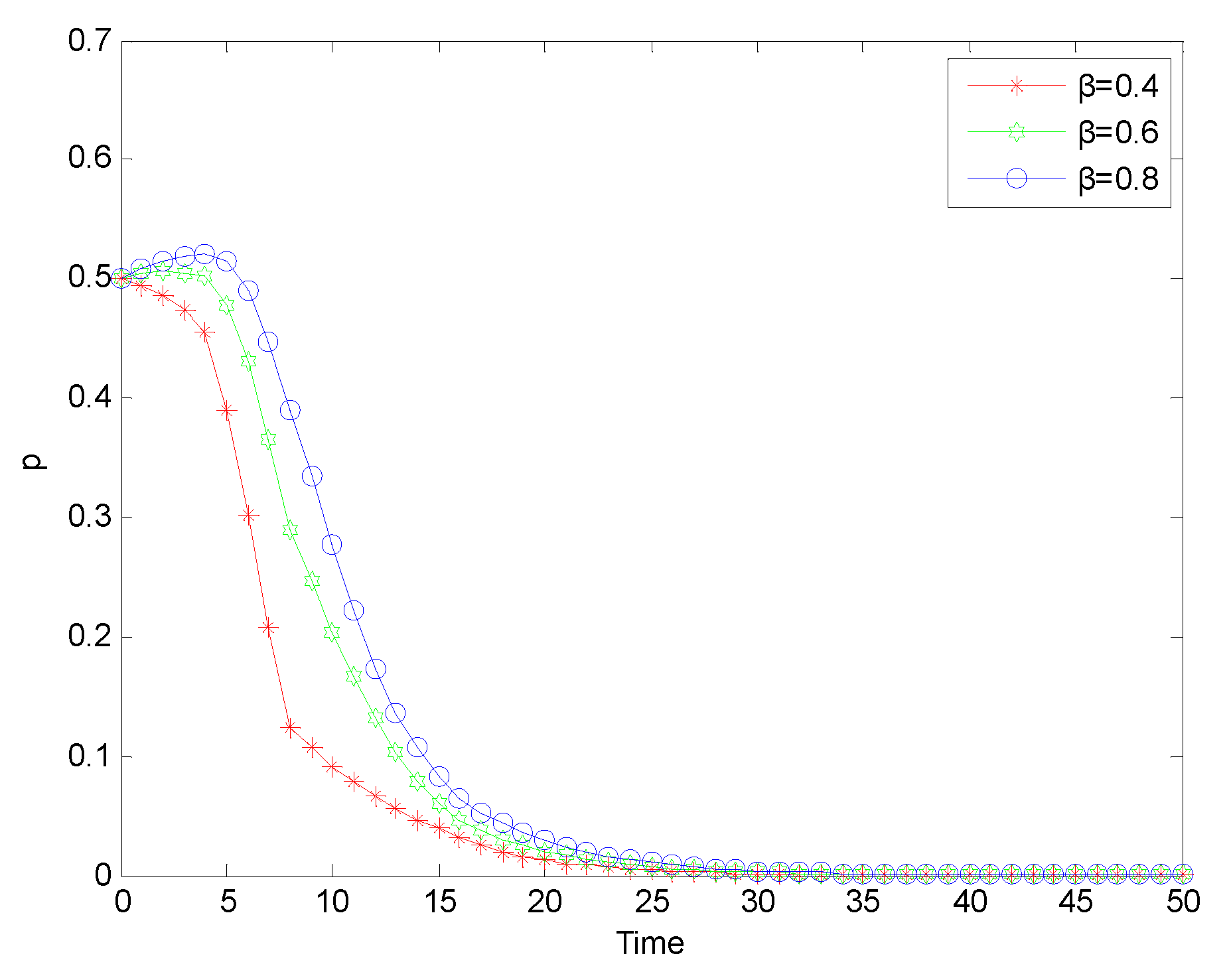
3.1. Analyze the Influence of the Government Regulatory Authorities’ Punishment δ of Illegal Chemical Enterprises on the System Evolution

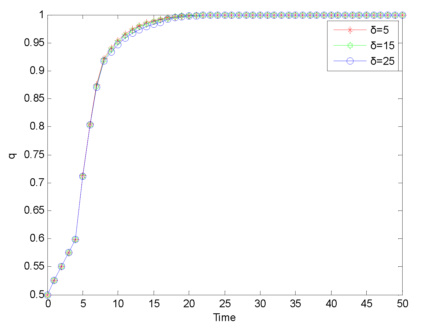
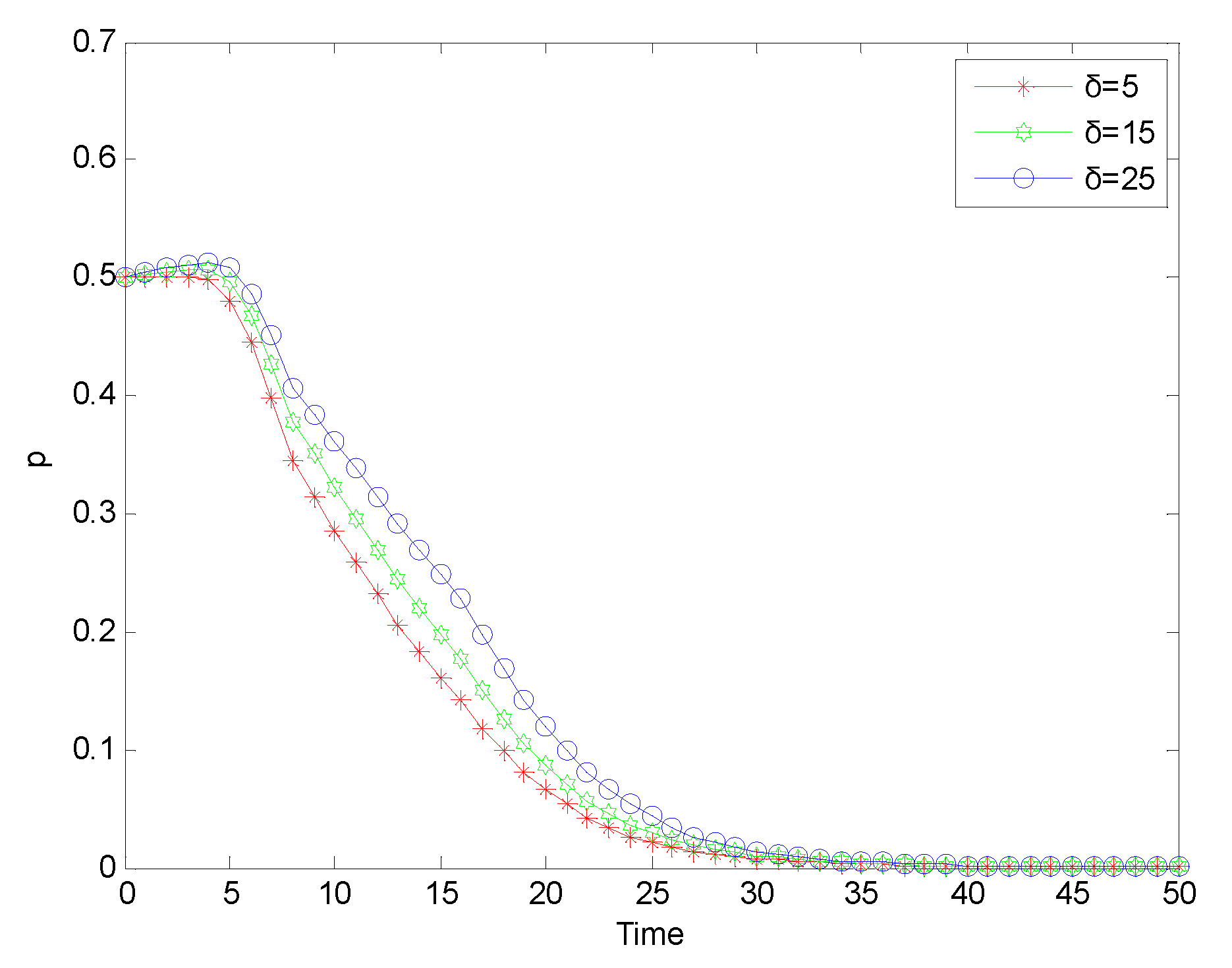
The fines δ imposed by the government are 5, 15 and 25 respectively, and the simulation results are shown in Figure 1, Figure 2, Figure 3 and Figure 4.
As can be seen from Figure 1 and Figure 3, when the conditions of inference 2 C g > 0   and V t C t 2 < β V t + β Φ t     is met, the government regulatory authorities and chemical enterprises will finally choose the strategy (loose supervision and safe investment); As can be seen from Figure 2 and Figure 4, when the conditions of inference 5   C t 1 C t 2 < β V t + β Φ t   and φ + δ > 0   is met, the government regulatory authorities and chemical enterprises will finally choose the strategy (loose supervision and safe investment). This shows that by increasing the safety non-investment cost of chemical enterprises and reducing the safety investment cost at the same time, it will be beneficial for enterprises to adopt safety input behavior, but it will inhibit the government’s strict supervision behavior.
Comparing Figure 1 and Figure 2, with the increase of punishment δ , it can be found that under the ‘normal regulation’ mode, chemical enterprises will evolve to a stable strategy, that is, safety investment, faster, while under the ‘special rectification’ mode, their strategy evolution process remains unchanged, that is, it has no significant impact on their strategic behavior. At the same time, by comparing Figure 3 and Figure 4, it can be seen that the strict supervision behavior of the government supervision department shows a stronger inhibitory effect with the increase of punishment, and the inhibitory effect of the government supervision behavior in the ‘special rectification’ mode is more significant than that in the ‘normal regulation’ mode. This shows that increasing punishment can effectively encourage enterprises to choose safety investment, but it is not conducive to the government supervision departments to better fulfill their strict supervision responsibilities in the supervision of chemical safety production. Therefore, it is necessary to consider the introduction of higher-level government punishment measures, so that government supervision departments can perform their duties and avoid serious chemical accidents caused by supervision default.

3.2. Analyze the Impact of the Probability β of Chemical Accidents on the Evolution of the System when Safety is not put into Operation

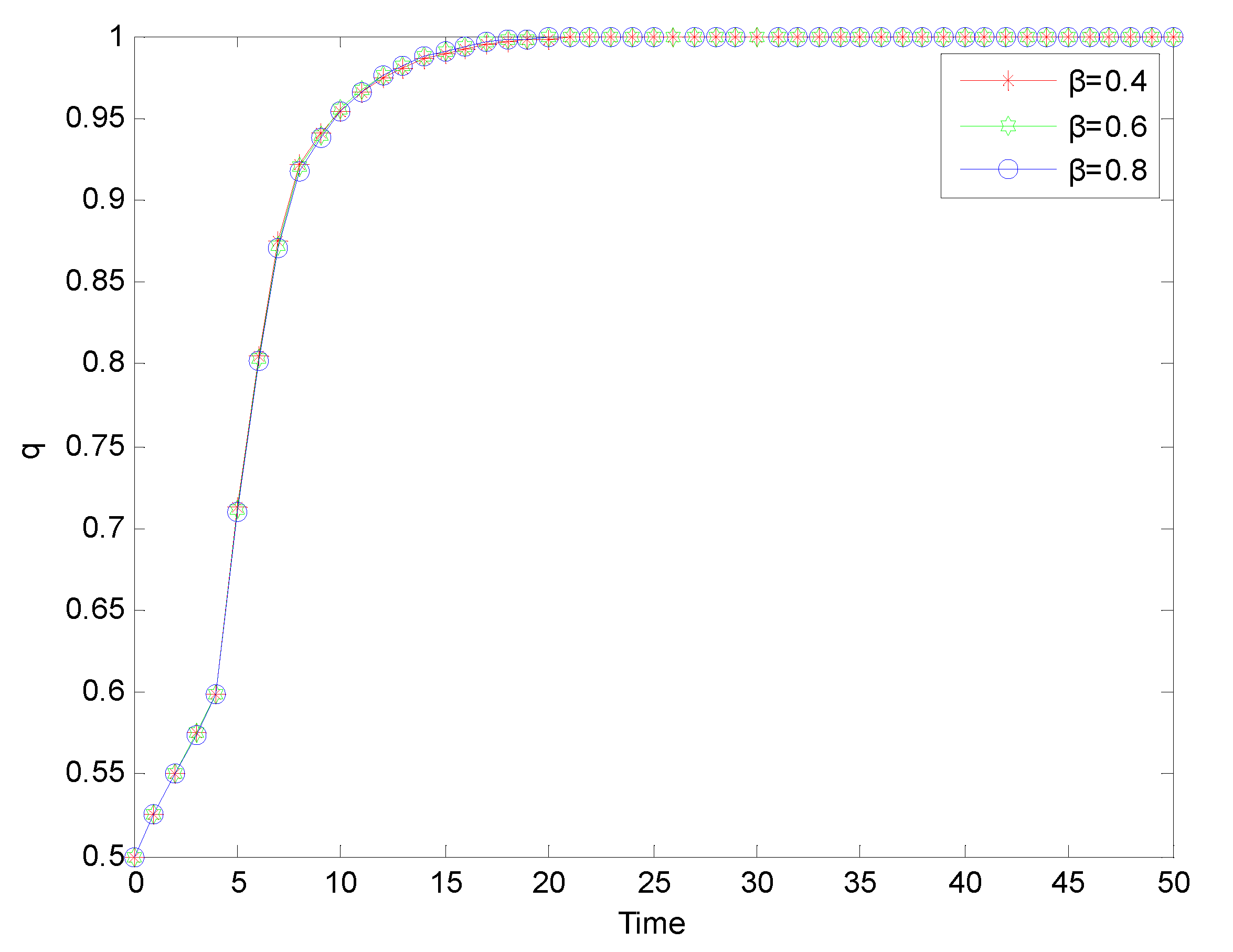
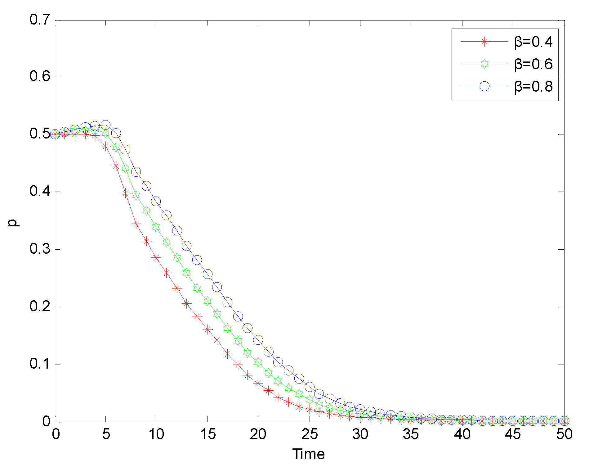
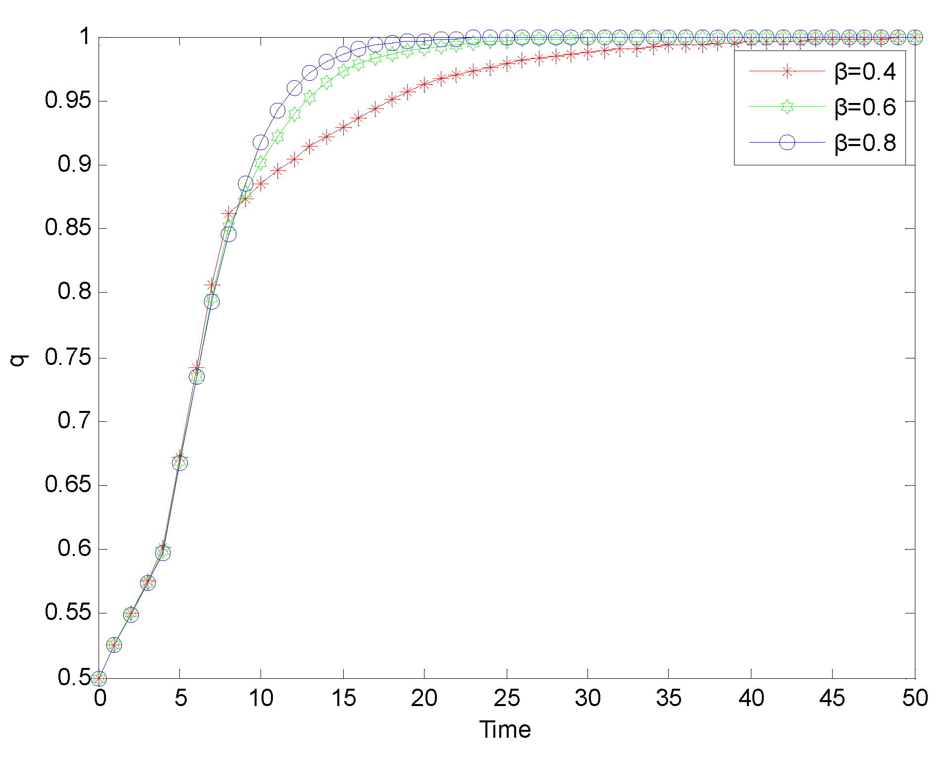
The probabilities β are 0.4, 0.6 and 0.8 respectively, and the simulation results are shown in Figure 5, Figure 6, Figure 7 and Figure 8.
As the probability of chemical accidents increases, comparing Figure 5 and Figure 6, it can be found that under the ‘normal regulation’ mode, chemical enterprises will evolve to a stable strategy, that is, safety investment, faster, while under the ‘special rectification’ mode, their strategy evolution process remains unchanged, that is, it has no significant impact on their strategic behavior. At the same time, by comparing Figure 7 and Figure 8, it can be seen that, unlike the inhibition effect of punishment increase, the inhibition effect of government supervision behavior in ‘normal regulation’ mode is more obvious than that in ‘special rectification’ mode.

3.3. Analyze the Impact of Safety Non-Investment Cost C t 2 on System Evolution

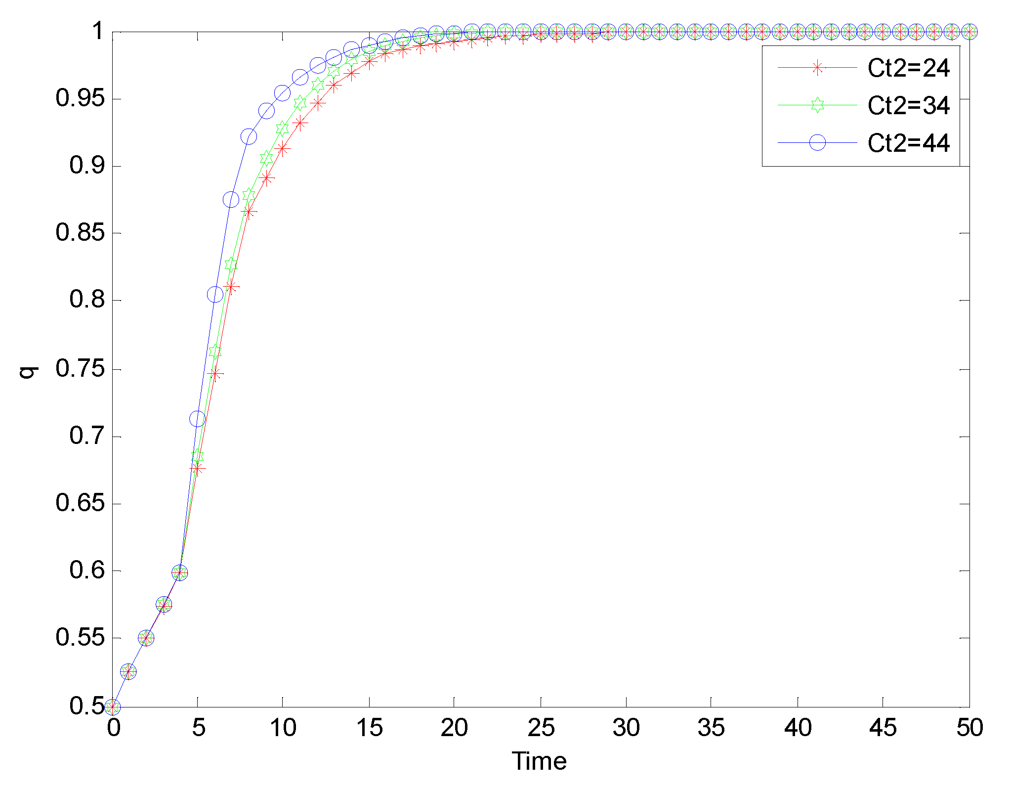
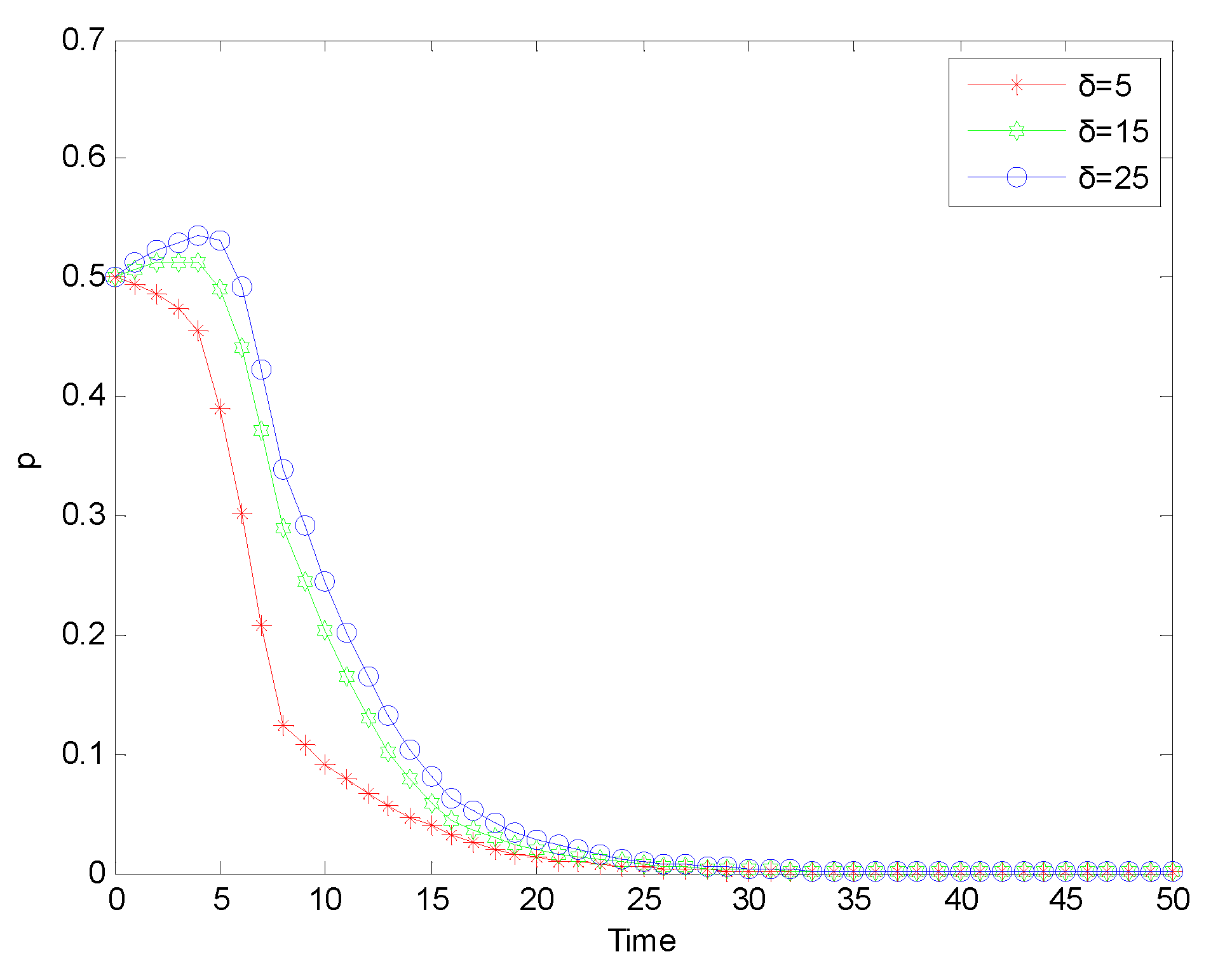
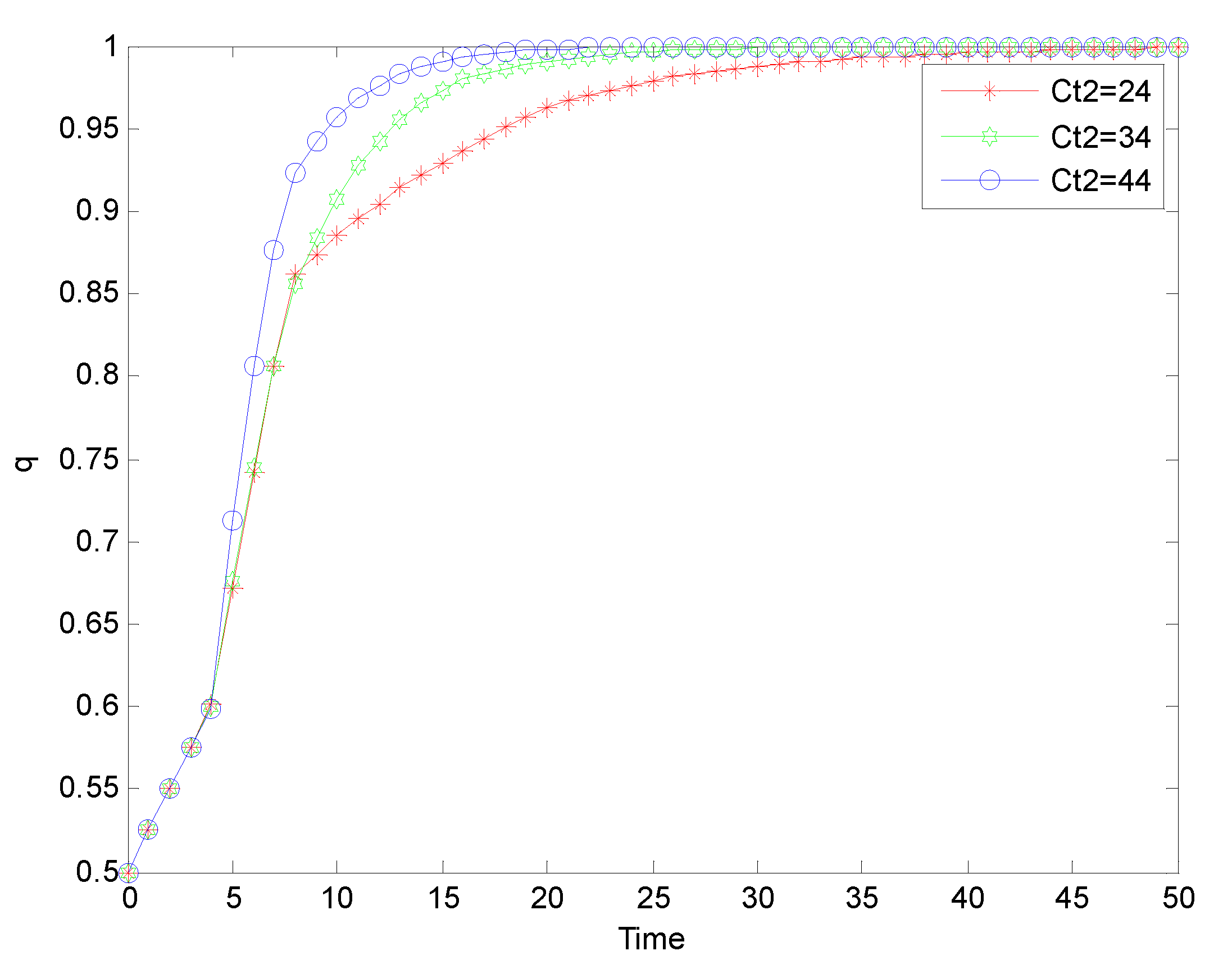
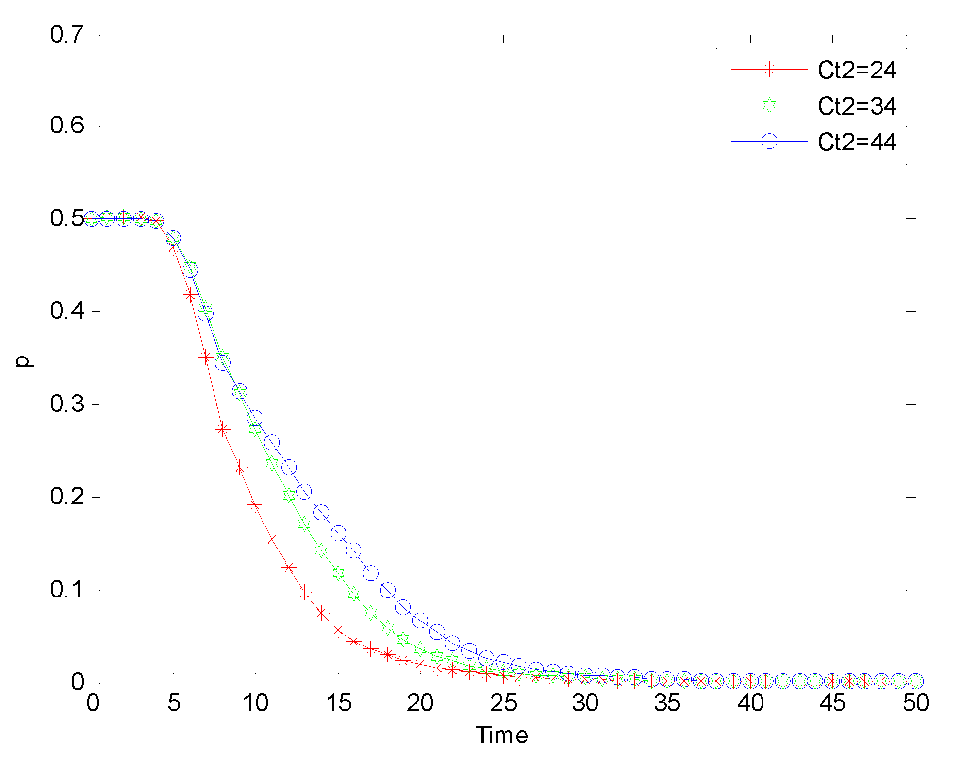
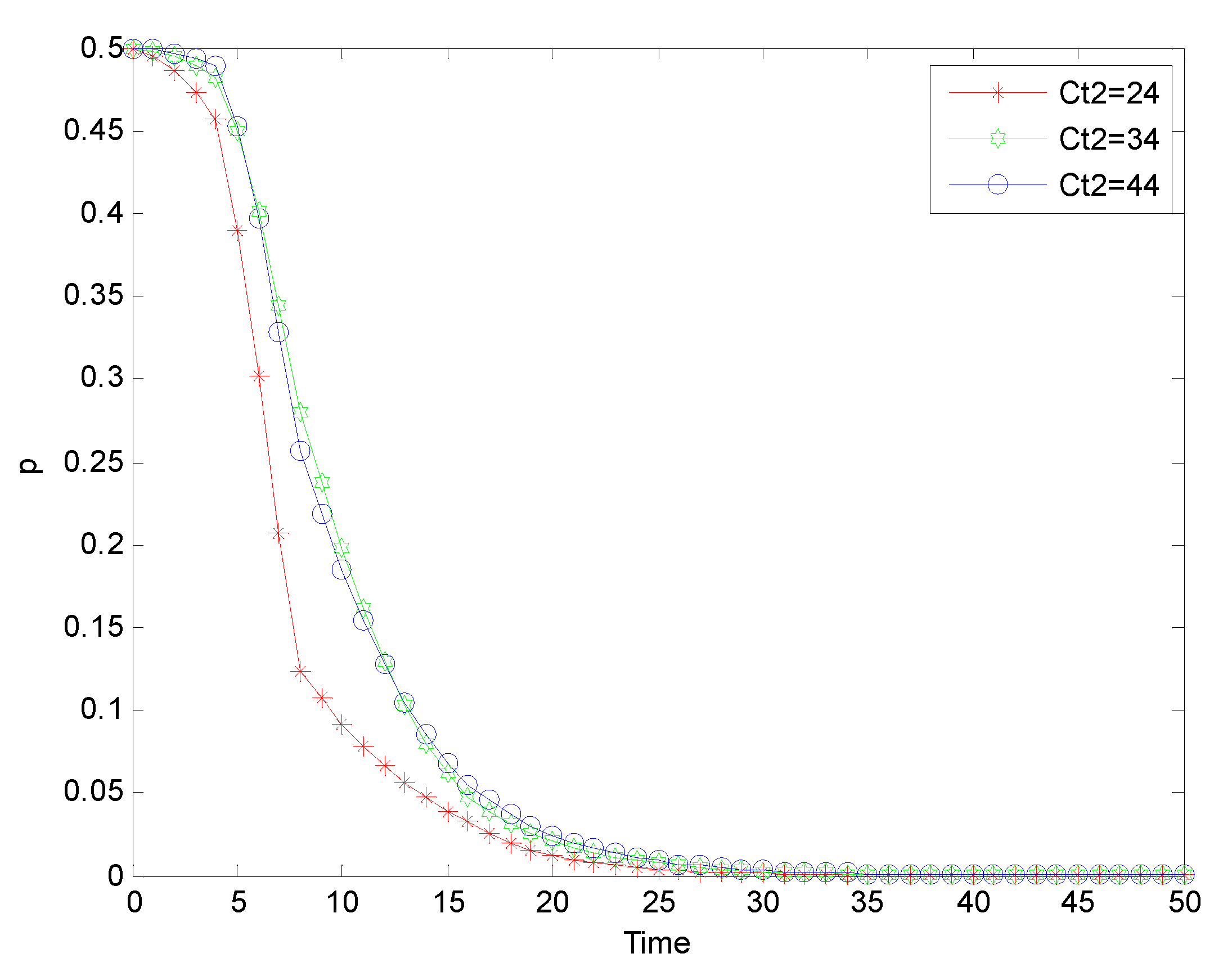
Safety non-investment costs C t 2   are taken as 24, 34 and 44 respectively, and the simulation results are shown in Figure 9, Figure 10, Figure 11 and Figure 12.
As the cost of safety non-investment C t 2   increases, comparing Figure 9 and Figure 10, it can be found that under the two modes of ‘normal regulation’ and ‘special rectification’, chemical enterprises will evolve to a stable strategy, namely safety investment, more quickly. This shows that the choice of behavior strategy for illegal chemical enterprises is relatively simple. When the cost of safety non-investment is high, chemical enterprises will give up the safety non-investment strategy. Therefore, it is an effective supervision measure to improve the safety non-investment cost of chemical enterprises to crack down on the safety production behavior of illegal chemical enterprises.
Compared with Figure 11 and Figure 12, the strict supervision behavior of the government supervision department shows a stronger inhibitory effect with the increase of the safety non-investment cost of chemical enterprises, but the inhibitory effect is the same under the two different modes of ‘special rectification’ and ‘normal regulation’. This shows that the increase of the safety no-investment cost has no significant impact on the government supervision department, because the behavior strategy of the government supervision department is mainly affected by the supervision cost, the punishment strength of the superior and the penalty income, and has nothing to do with the unsafe input cost of the enterprise.

4. Conclusions and Recommendations

4.1. Conclusions

The aim of this paper is to investigate the game behavior of the government supervision departments and chemical enterprises in the process of chemical safety supervision, based on the perspective of ‘special rectification’ and ‘normal regulation’, the evolutionary game models of chemical enterprises and government supervision departments under different supervision modes are established. Based on the evolutionary game theory, this paper studies the evolutionary process of the two game players’ strategy choices, and compares and analyzes the evolutionary stability and equilibrium of the behavior strategies of chemical enterprises and government supervision departments. Finally, based on the numerical simulation, the numerical experiment and simulation analysis of the model are carried out. Combined with the simulation results, the results show that: (1) Under the ‘special rectification’ mode, the strategic choice of chemical enterprises engaging in safety investment depends on the difference between the benefits and costs of safety non-investment. (2) In the ‘normal regulation’ mode, the choice of its safety non-investment strategy depends on the difference between the cost of engaging in safety investment and the cost of safety non-investment. (3) Increasing the government’s punishment will encourage chemical enterprises to take safety investment behavior under the two supervision modes. (4) Increasing the punishment has a significant impact on the safety investment behavior of enterprises under the ‘normal regulation’ mode, but it has no significant impact on the behavior of chemical enterprises under the ‘special rectification’ mode. At the same time, increasing the punishment will inhibit the government’s strict supervision behavior.

4.2. Insights and Recommendations

(1) Under the ‘special rectification’ mode, the strategic choice of safety investment in chemical enterprises depends on the difference between the benefits and costs of safety investment. In order to obtain high profits, chemical enterprises will adopt a strategy of safety investment to reduce their safety investment. At this point, the government can use administrative means to increase penalties for chemical enterprises engaged in safety non-investment, increase the cost of safety non-investment, and reduce the benefits of safety non-investment, which can encourage chemical enterprises to choose safety investment strategies.
(2) In the ‘normal regulation’ mode, the choice of safety investment strategy depends on the difference between the cost of engaging in safety investment and the cost of safety investment. In addition to increasing the cost of safety investment in chemical enterprises, it is also necessary to consider reducing the cost of safety investment in chemical enterprises. Increasing rewards for safety investment behavior in chemical enterprises and reducing the cost of safety investment are important measures to achieve effective supervision. By constructing a reasonable reward and punishment mechanism, chemical enterprises can promote the transformation towards safety investment behavior.
(3) To improve the efficiency of government regulation of chemical enterprises, information technology can be used to reduce the regulatory costs of government departments and improve the efficiency of strict government regulation. For example, a data analysis platform for big data regulation can fully utilize the advantages of internet information, reduce regulatory costs, and strengthen government regulatory behavior supervision under the ‘normal regulation’ model.

4.3. Limitations

However, there are still some shortcomings in this model. Chemical enterprises are a complex dynamic game evolution process, and many influencing factors and conditions have not been considered in the game process. In the next step, more game conditions will be considered for simulation analysis. At the same time, with the rapid development of new media, it also has a new impact on the behavior strategy of game players. The model has not considered the impact of new media environment on the safety production of chemical enterprises, which will be further analyzed in the follow-up research.

Author Contributions

Conceptualization, X.W. and X.H.; Methodology, X.S.; Software, H.Z.; Validation, X.W., X.H. and N.Z.; Formal Analysis, X.W.; Investigation, X.S.; Resources, N.Z; Writing—Original Draft Preparation, X.W.; Writing—Review & Editing, X.W. and X.H.; Visualization, H.Z. All authors have read and agreed to the published version of the manuscript.

Funding

This research was funded by the National Natural Science Foundation of China (Grant No. 72274111), by the National Natural Science Foundation of Shandong (Grant No. ZR2021MG025).

Data Availability Statement

Data can be obtained from the corresponding author upon reasonable request.

Acknowledgments

All authors thank the editor and anonymous reviewers for their constructive comments and suggestions to improve the quality of this paper.

Conflicts of Interest

The authors declare no conflict of interest. The funders had no role in the design, execution, interpretation or writing of research.

References

  1. Tong, S.; Wu, Z.; Wang, R.; et al. Statistical analysis and countermeasures on larger and above grades accidents of dangerous chemical enterprises from 2001 to 2013. J. Journal of Safety Science and Technology 2015, 11, 29–134. [Google Scholar]
  2. Silvestre, B.S.; Gimenes, F.A.P. A sustainability paradox? Sustainable operations in the offshore oil and gas industry: The case of Petrobras. J. Journal of Cleaner Production 2016, 142, 360–370. [Google Scholar] [CrossRef]
  3. Lefebvre, D.; Leveneur, S. Thermal Safety of Chemical Processes. Processes 2021, 9, 1054. [Google Scholar] [CrossRef]
  4. Zhu, L. Research on government supervision of safety production in Shandong chemical industry. Shandong University, 2016.
  5. Dai, X. Analysis of the impact of safety supervision on the productivity of chemical industry. Zhejiang University of Finance & Economics, 2020.
  6. Makin, A.M.; Winder, C. A new conceptual framework to improve the application of occupational health and safety management systems. J. Safety Science 2008, 46, 935–948. [Google Scholar] [CrossRef]
  7. Wachter, J.K.; Yoriop, L. A system of safety management practices and worker engagement for reducing and preventing accidents: An empirical and theoretical investigation. J. Accident Analysis & Prevention 2013, 68, 117–130. [Google Scholar]
  8. Chen, H. Research on safety supervision and management of dangerous chemicals in Huian county. Huaqiao University, 2017.
  9. Shi, L.; Wang, R.; Duo, Y. Problems and suggestions of safety supervision of dangerous chemicals major hazard in China. J. Journal of Safety Science and Technology 2014, 10, 161–166. [Google Scholar]
  10. Yang, Y.; Sun, Z.; Liu, X.; Jia, W.; Wu, J. Optimal Decisions on Harmful Chemical Limits in Consumer Goods within an Acceptable Risk Level. Processes 2022, 10, 2259. [Google Scholar] [CrossRef]
  11. Guo, K. Research on safety supervision of chemical industry. J. Scientific and Technological Innovation 2013, 22, 90. [Google Scholar]
  12. Wang, H. Research on the construction of supervision mechanism of hazardous chemicals. Shandong Normal University, 2014.
  13. Ale, B.J.M.; Kluin, M.H.A.; Koopmans, I.M. Safety in the Dutch chemical industry 40 years after Seveso. J. Journal of Loss Prevention in the Process Industries 2017, 46, 61–67. [Google Scholar] [CrossRef]
  14. Smith, P.M.; Saunders, R.; Lifshen, M.; et al. The development of a conceptual model and self-reported measure of occupational health and safety vulnerability. J. Accident Analysis and Prevention 2015, 82, 234–243. [Google Scholar] [CrossRef]
  15. Lee, K.; Kwon, HM.; Cho, S.; et al. Improvements of safety management system in Korean chemical industry after a large chemical accident. J. Journal of Loss Prevention in the Process Industries 2015, 42, 6–13. [Google Scholar] [CrossRef]
  16. Campos, B.; Colbourne, J.K.; Brown, J.B.; et al. How omics technologies can enhance chemical safety regulation: perspectives from academia, government, and industry. J. Environmental Toxicology and Chemistry 2018, 37, 1252–1259. [Google Scholar] [CrossRef] [PubMed]
  17. Jiang, Y. Evolutionary game analysis of safety supervision of local government chemical enterprises- Taking the ‘3.21′ explosion accident in Xiangshui, Jiangsu province as an example. J. Journal of Beijing University of Aeronautics and Astronautics (Social Sciences Edition) 2021, 34, 58–69. [Google Scholar]
  18. Zhang, Z. Evolutionary game study of chemical production supervision based on prospect theory. Dalian University of Technology, 2021.
  19. Shen, B. Study on safety production supervision effect based on evolutionary game theory. J. Industrial Safety and Environmental Protection 2013, 39, 68–70. [Google Scholar]
  20. Liu, S.; Xu, J.; Mei, Q.; et al. Evolution and supervision of the production safety behavior of enterprise in industrial cluster. J. Industrial Engineering and Management 2016, 21, 52–59. [Google Scholar]
  21. Smith, J.M.; Price, G.R. The logic of animal conflict. J. Nature 1973, 246, 15–18. [Google Scholar] [CrossRef]
  22. Guo, L.; Liang, J.; Chen, T.; Gao, Y.; Yang, Z. Scenario-Driven Methodology for Cascading Disasters Risk Assessment of Earthquake on Chemical Industrial Park. Processes 2022, 11, 32. [Google Scholar] [CrossRef]
  23. Binmore, K.G.; Samuelson, L.; Vaughan, R. . Musical chairs: modeling noisy evolution. J. Games and Economic Behavior 1995, 11, 1–35. [Google Scholar] [CrossRef]
  24. Sethi, R. Strategy-specific barriers to learning and nonmonotonic selection dynamics. J. Games and Economic Behavior 1998, 23, 284–304. [Google Scholar] [CrossRef]
  25. Wu, D.; Zhou, L.; Cai, Y.; et al. Energy-aware dynamic cooperative strategy selection for relay-assisted cellular networks: an evolutionary game approach. J. IEEE Transactions on Vehicular Technology 2014, 63, 4659–4669. [Google Scholar] [CrossRef]
  26. Liu, D.; Xiao, X.; Li, H.; et al. Historical evolution and benefit-cost explanation of periodical fluctuation in coal mine safety super-vision: An evolutionary game analysis framework. J. European Journal of Operational Research 2015, 243, 974–984. [Google Scholar] [CrossRef]
  27. Friedman, D. Evolutionary games in economics. J. Econometrica: The Econometric Society 1991, 59, 637–666. [Google Scholar] [CrossRef]
Figure 1. Evolution process of safety investment strategy adopted by chemical enterprises under ‘special rectification’ mode.
Figure 1. Evolution process of safety investment strategy adopted by chemical enterprises under ‘special rectification’ mode.
Preprints 74122 g001
Figure 2. Evolution process of safety investment strategy adopted by chemical enterprises under ‘normal regulation’ mode.
Figure 2. Evolution process of safety investment strategy adopted by chemical enterprises under ‘normal regulation’ mode.
Preprints 74122 g002
Figure 3. Evolution process of strict supervision strategy adopted by government supervision departments under ‘special rectification’ mode.
Figure 3. Evolution process of strict supervision strategy adopted by government supervision departments under ‘special rectification’ mode.
Preprints 74122 g003
Figure 4. Evolution process of strict supervision strategy adopted by government supervision departments under ‘normal regulation’ mode.
Figure 4. Evolution process of strict supervision strategy adopted by government supervision departments under ‘normal regulation’ mode.
Preprints 74122 g004
Figure 5. Evolution process of safety investment strategy adopted by chemical enterprises under ‘special rectification’ mode.
Figure 5. Evolution process of safety investment strategy adopted by chemical enterprises under ‘special rectification’ mode.
Preprints 74122 g005
Figure 6. Evolution process of safety investment strategy adopted by chemical enterprises under ‘normal regulation’ mode.
Figure 6. Evolution process of safety investment strategy adopted by chemical enterprises under ‘normal regulation’ mode.
Preprints 74122 g006
Figure 7. Evolution process of strict supervision strategy adopted by government supervision departments under ‘special rectification’ mode.
Figure 7. Evolution process of strict supervision strategy adopted by government supervision departments under ‘special rectification’ mode.
Preprints 74122 g007
Figure 8. Evolution process of strict supervision strategy adopted by government supervision departments under ‘normal regulation’ mode.
Figure 8. Evolution process of strict supervision strategy adopted by government supervision departments under ‘normal regulation’ mode.
Preprints 74122 g008
Figure 9. Evolution process of safety investment strategy adopted by chemical enterprises under ‘special rectification’ mode.
Figure 9. Evolution process of safety investment strategy adopted by chemical enterprises under ‘special rectification’ mode.
Preprints 74122 g009
Figure 10. Evolution process of safety investment strategy adopted by chemical enterprises under ‘normal regulation’ mode.
Figure 10. Evolution process of safety investment strategy adopted by chemical enterprises under ‘normal regulation’ mode.
Preprints 74122 g010
Figure 11. Evolution process of strict supervision strategy adopted by government regulatory authorities under ‘special rectification’ mode.
Figure 11. Evolution process of strict supervision strategy adopted by government regulatory authorities under ‘special rectification’ mode.
Preprints 74122 g011
Figure 12. Evolution process of strict supervision strategy adopted by government regulatory authorities under ‘normal regulation’ mode.
Figure 12. Evolution process of strict supervision strategy adopted by government regulatory authorities under ‘normal regulation’ mode.
Preprints 74122 g012
Table 1. Game income matrix between government regulatory authorities and chemical enterprises.
Table 1. Game income matrix between government regulatory authorities and chemical enterprises.
Government Supervision Department
Strict Supervision
p
Loose Supervision
1 p
Chemical Enterprise Safety Investment
q
γ V t γ C t 1 + γ φ , U g C g γ φ γ V t γ C t 1 , U g
Safety Non-investment
1 q
V t C t 2 δ , U g C g + δ 1 β V t C t 2 β Φ t , 1 β U g β Φ g ω
Table 2. ‘Special rectification’ mode game return matrix.
Table 2. ‘Special rectification’ mode game return matrix.
Government Supervision Department
Strict Supervision
p
Loose Supervision
1 p
Chemical Enterprise Safety Investment
q
0 , U g C g 0 , U g
Safety Non-investment
1 q
V t C t 2 δ , U g C g + δ 1 β V t C t 2 β Φ t , 1 β U g β Φ g ω
Table 3. System (I) equilibrium point and local stability analysis.
Table 3. System (I) equilibrium point and local stability analysis.
p , q det J tr J result
(0, 0) + ESS
(0, 1) + ESS
(1, 0) + ESS
(1, 1) + + , saddle point
p * , q * not the equilibrium point
Table 4. Game return matrix under ‘normal regulation’ mode.
Table 4. Game return matrix under ‘normal regulation’ mode.
Government Supervision Department
Strict Supervision
p
Loose Supervision
1 p
Chemical Enterprise Safety Investment
q
V t C t 1 + φ , U g C g φ V t C t 1 , U g
Safety Non-investment
1 q
V t C t 2 δ , U g C g + δ 1 β V t C t 2 β Φ t , 1 β U g β Φ g ω
Table 5. System (II) equilibrium point and local stability analysis.
Table 5. System (II) equilibrium point and local stability analysis.
p , q det J tr J result
(0, 0) + ESS
(0, 1) + ESS
(1, 0) + ESS
(1, 1) + + , saddle point
p * , q * not the equilibrium point
Disclaimer/Publisher’s Note: The statements, opinions and data contained in all publications are solely those of the individual author(s) and contributor(s) and not of MDPI and/or the editor(s). MDPI and/or the editor(s) disclaim responsibility for any injury to people or property resulting from any ideas, methods, instructions or products referred to in the content.
Copyright: This open access article is published under a Creative Commons CC BY 4.0 license, which permit the free download, distribution, and reuse, provided that the author and preprint are cited in any reuse.
Prerpints.org logo

Preprints.org is a free preprint server supported by MDPI in Basel, Switzerland.

Subscribe

Disclaimer

Terms of Use

Privacy Policy

Privacy Settings

© 2025 MDPI (Basel, Switzerland) unless otherwise stated