Submitted:
19 April 2023
Posted:
20 April 2023
You are already at the latest version
Abstract
Keywords:
1. Introduction
2. Materials and Methods
2.1. Design
2.2. Randomization
- Baseline phase (BL), during which the participants ingested placebo caffeine and NZBC capsules;
- Caffeine phase (CAF), during which the participants took caffeine capsules and placebo NZBC capsules;
- New Zealand blackcurrant phase (NZBC), during which the participants ingested NZBC capsules and placebo caffeine capsules;
- Caffeine und NZBC phase (ALL), during which the participants ingested caffeine and NZBC capsules.
2.3. Blinding
2.4. Sample
2.5. Settings
2.6. Interventions
2.7. Procedure
2.8. Measurements
- Body weight (kg), proportional skeletal muscle mass (kg), fat mass percentage (%), the ratio of extracellular to total body water, and lean leg mass (kg) were measured using a BIA (InBody770, InBody Europe, Eschborn, Germany);
- Resting systolic (sBP; mmHg) and diastolic blood pressure (dBP; mmHg) were measured three times after 10 minutes of rest in the supine position on a yoga mat (Tensoval® comfort, Paul Hartmann AG, Heidenheim, Germany) and then the mean value was calculated;
- Resting heart rate (rHR; bpm) was measured three times after 10 minutes of rest in the supine position on a yoga mat using a Polar H10 (Polar Electro Oy, Kempele, Finland) and then the mean value was calculated;
- The athletes’ recovery and stress status were measured using the SRSS, which is a standardized, reliable, and valid self-assessment procedure [18];
- During the PWC150 on the Cyclus2® ergometer, the relative power (PWC-Power; W/kg) was measured, starting with a power of 100 W and increasing by 25 W every 2 minutes, and the RPE was determined by the subjects after the end of the test (RPE150);
- The breath-by-breath procedure was used for spiroergometric data collection during the TTs. Relative power normalized by wight for better comparability (TT-Power; W/kg) and the RPE, average (HRmean; bpm) and maximum (HRmax; bpm) heart rate, respiratory exchange ratio (RER), oxygen volume (VO2; ml), and carbon dioxide volume (VCO2; ml) were measured at minutes 5, 10, 15, and 20.
2.9. Procedural Fidelity
2.10. Analysis
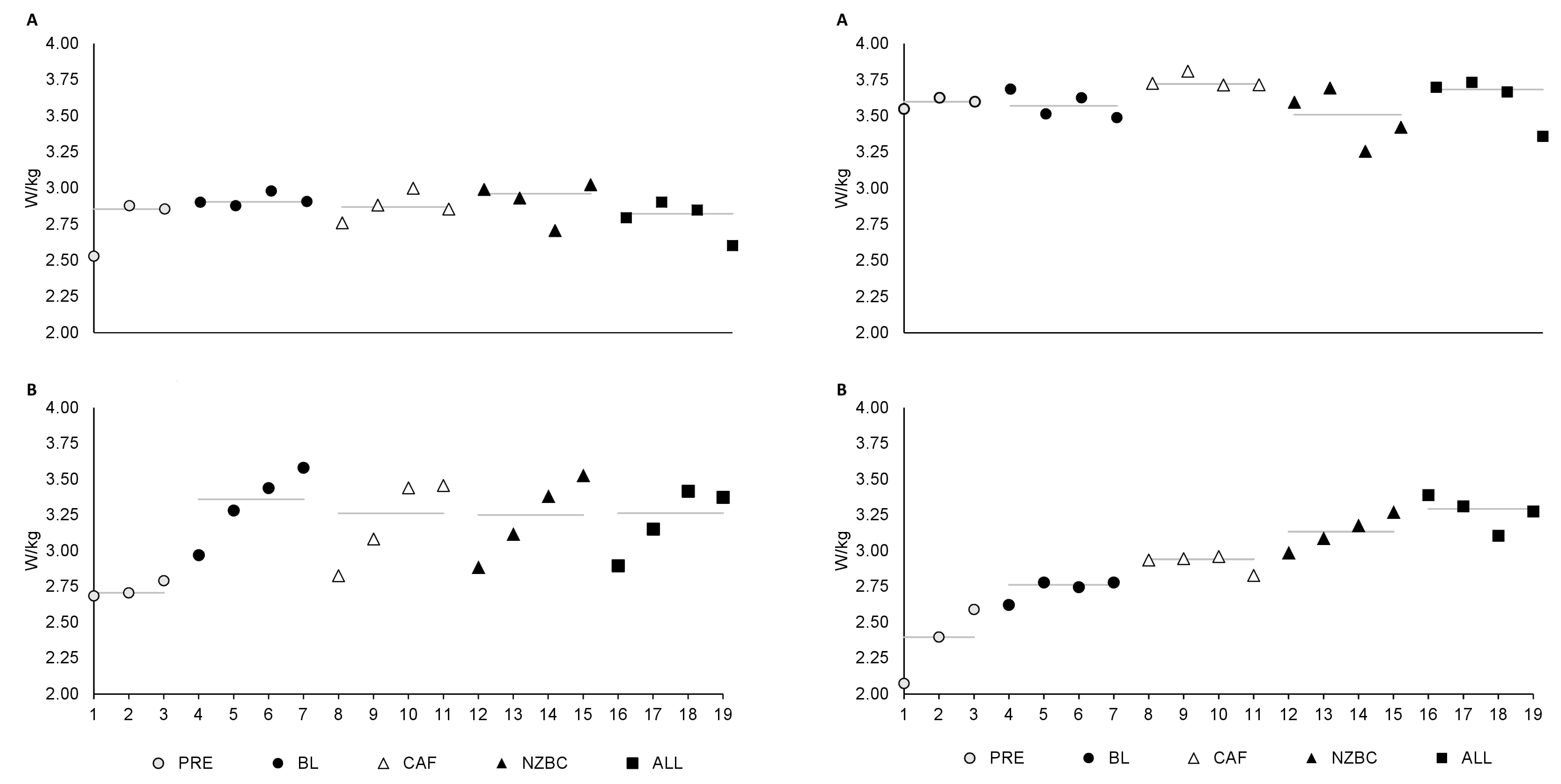
3. Results
3.1. Recovery and Stress Perception
3.2. Physiological and performance parameters
3.2.1. Stability
3.2.2. Trends
3.2.3. Levels
4. Discussion
5. Conclusions
Author Contributions
Funding
Institutional Review Board Statement
Informed Consent Statement
Data Availability Statement
Acknowledgments
Conflicts of Interest
References
- Castell, L.M.; Stear, S.J.; Burke, L.M. Nutritional Supplements in Sport, Exercise and Health: An A-Z Guide; Routledge: Abingdon, 2015.
- Grgic, J.; Grgic, I.; Pickering, C.; Schoenfeld, B.J.; Bishop, D.J.; Pedisic, Z. Wake up and smell the coffee: Caffeine supplementation and exercise performance-an umbrella review of 21 published meta-analyses. Br. J. Sports Med. 2020, 54, 681-688. [CrossRef]
- Braakhuis, A.J.; Somerville, V.X.; Hurst, R.D. The effect of New Zealand blackcurrant on sport performance and related biomarkers: A systematic review and meta-analysis. J. Int. Soc. Sports Nutr. 2020, 17, 25-25. [CrossRef]
- Shen, J.G.; Brooks, M.B.; Cincotta, J.; Manjourides, J.D. Establishing a relationship between the effect of caffeine and duration of endurance athletic time trial events: A systematic review and meta-analysis. J. Sci. Med. Sport 2019, 22, 232-238. [CrossRef]
- Southward, K.; Rutherfurd-Markwick, K.J.; Ali, A. The Effect of Acute Caffeine Ingestion on Endurance Performance: A Systematic Review and Meta-Analysis. Sports Med. 2018, 48, 1913-1928. [CrossRef]
- Cook, M.D.; Myers, S.D.; Blacker, S.D.; Willems, M.E.T. New Zealand blackcurrant extract improves cycling performance and fat oxidation in cyclists. Eur. J. Appl. Physiol. 2015, 115, 2357-2365. [CrossRef]
- Cook, M.D.; Myers, S.D.; Gault, M.L.; Willems, M.E.T. Blackcurrant Alters Physiological Responses and Femoral Artery Diameter during Sustained Isometric Contraction. Nutrients 2017, 9, 556. [CrossRef]
- Currie, T.L.; Engler, M.M.; Olsen, C.H.; Krauthamer, V.; Scott, J.M.; Deuster, P.A.; Flagg, T.P. The Effects of Blackcurrant and Berry Extracts on Oxidative Stress in Cultured Cardiomyocytes and Microglial Cells. The FASEB Journal 2022, 36. [CrossRef]
- Edirisinghe, I.; Banaszewski, K.; Cappozzo, J.; McCarthy, D.; Burton-Freeman, B.M. Effect of Black Currant Anthocyanins on the Activation of Endothelial Nitric Oxide Synthase (eNOS) in Vitro in Human Endothelial Cells. Journal of Agricultural and Food Chemistry 2011, 59, 8616-8624. [CrossRef]
- Cormano, E.B.; Redondo, R.B.; Rogel, M.; Bach-Faig, A. Effect of caffeine as an ergogenic aid to prevent muscle fatigue. 2020.
- Gutiérrez-Hellín, J.; Aguilar-Navarro, M.; Ruiz-Moreno, C.; Muñoz, A.; Varillas-Delgado, D.; Amaro-Gahete, F.J.; Del Coso, J. Effect of caffeine intake on fat oxidation rate during exercise: Is there a dose–response effect? Eur. J. Nutr. 2023, 62, 311-319. [CrossRef]
- Paton, C.D.; Morton, L.C.; Bomal, B.; Braakhuis, A.J. The Effects of Blackcurrant and Caffeine Combinations on Performance and Physiology During Repeated High-Intensity Cycling. Int J Sport Nutr Exerc Metab 2022, 32, 462-467. [CrossRef]
- Jeukendrup, A.; Tipton, K.D. Legal nutritional boosting for cycling. Curr Sports Med Rep 2009, 8, 186-191. [CrossRef]
- Fröhlich, M.; Mayerl, J.; Pieter, A.; Kemmler, W. Small-N und Big-N-Data in der Sportwissenschaft - Einführung in Forschungsdesign und Methoden, 1 ed.; Springer Spektrum Wiesbaden: 2021.
- Pickering, C.; Kiely, J. Are the Current Guidelines on Caffeine Use in Sport Optimal for Everyone? Inter-individual Variation in Caffeine Ergogenicity, and a Move Towards Personalised Sports Nutrition. Sports Med. 2018, 48, 7-16. [CrossRef]
- . [CrossRef]
- Bartaguiz, E.; Dindorf, C.; Dully, J.; Becker, S.; Fröhlich, M. Effects of increasing physical load and fatigue on the biomechanics of elite cyclists. Scientific Journal of Sport and Performance 2022, 2, 59-69. [CrossRef]
- Kellmann, M.; Kölling, S. Recovery and Stress in Sport: A Manual for Testing and Assessment, 1. ed.; Routledge: London, 2019.
- Borg, G.A. Psychophysical bases of perceived exertion. Med. Sci. Sports Exerc. 1982, 14, 377-381. [CrossRef]
- Sitko, S.; Cirer-Sastre, R.; Corbi, F.; López-Laval, I. Power Assessment in Road Cycling: A Narrative Review. Sustainability 2020, 12, 5216. [CrossRef]
- Nimmerichter, A.; Williams, C.; Bachl, N.; Eston, R. Evaluation of a Field Test to Assess Performance in Elite Cyclists. Int. J. Sports Med. 2010, 31, 160-166. [CrossRef]
- Kratochwill, T.R.; Hitchcock, J.H.; Horner, R.H.; Levin, J.R.; Odom, S.L.; Rindskopf, D.M.; Shadish, W.R. Single-Case Intervention Research Design Standards. Remedial and Special Education 2013, 34, 26-38. [CrossRef]
- Doherty, M.; Smith, P.M. Effects of Caffeine Ingestion on Exercise Testing: A Meta-Analysis. 2004, 14, 626. [CrossRef]
- Śliż, D.; Wiecha, S.; Ulaszewska, K.; Gąsior, J.S.; Lewandowski, M.; Kasiak, P.S.; Mamcarz, A. COVID-19 and athletes: Endurance sport and activity resilience study—CAESAR study. Front Physiol 2022, 13. [CrossRef]
- Ross, M.; Wilson, M.; Reed, K.; Waterworth, S.; McManus, C. Acute Consumption of New Zealand Blackcurrant Extract Has No Effect on Cycling Performance in Normobaric Hypoxia with Trained Cyclists. Journal of Exercise and Nutrition 2023, 6, 1-6. [CrossRef]
- Murphy, C.; Cook, M.D.; Willems, M.E.T. Effect of New Zealand Blackcurrant Extract on Repeated Cycling Time Trial Performance. Sports 2017, 5, 25. [CrossRef]
- Willems, M.E.T.; Myers, S.D.; Gault, M.L.; Cook, M.D. Beneficial Physiological Effects With Blackcurrant Intake in Endurance Athletes. Int J Sport Nutr Exerc Metab 2015, 25, 367-374. [CrossRef]
- Soares, R.N.; Schneider, A.; Valle, S.C.; Schenkel, P.C. The influence of CYP1A2 genotype in the blood pressure response to caffeine ingestion is affected by physical activity status and caffeine consumption level. Vascul Pharmacol 2018, 106, 67-73. [CrossRef]
- Guest, N.; Corey, P.; Vescovi, J.; El-Sohemy, A. Caffeine, CYP1A2 Genotype, and Endurance Performance in Athletes. Med. Sci. Sports Exerc. 2018, 50, 1570-1578. [CrossRef]
- Higgins, J.P.; Babu, K.M. Caffeine reduces myocardial blood flow during exercise. Am. J. Med. 2013, 126, 730.e731-738. [CrossRef]
- Irwin, C.; Desbrow, B.; Ellis, A.; O'Keeffe, B.; Grant, G.; Leveritt, M. Caffeine withdrawal and high-intensity endurance cycling performance. J. Sports Sci. 2011, 29, 509-515. [CrossRef]
- Smirmaul, B.P.; de Moraes, A.C.; Angius, L.; Marcora, S.M. Effects of caffeine on neuromuscular fatigue and performance during high-intensity cycling exercise in moderate hypoxia. Eur. J. Appl. Physiol. 2017, 117, 27-38. [CrossRef]
- Anderson, D.E.; German, R.E.; Harrison, M.E.; Bourassa, K.N.; Taylor, C.E. Real and Perceived Effects of Caffeine on Sprint Cycling in Experienced Cyclists. J Strength Cond Res 2020, 34, 929-933. [CrossRef]
- Grgic, J.; Diaz-Lara, F.J.; Coso, J.D.; Duncan, M.J.; Tallis, J.; Pickering, C.; Schoenfeld, B.J.; Mikulic, P. The Effects of Caffeine Ingestion on Measures of Rowing Performance: A Systematic Review and Meta-Analysis. Nutrients 2020, 12. [CrossRef]
- Conger, S.A.; Tuthill, L.M.; Millard-Stafford, M.L. Does Caffeine Increase Fat Metabolism? A Systematic Review and Meta-Analysis. Int J Sport Nutr Exe 2023, 33, 112-120. [CrossRef]
- Strauss, J.A.; Willems, M.E.T.; Shepherd, S.O. New Zealand blackcurrant extract enhances fat oxidation during prolonged cycling in endurance-trained females. European Journal of Applied Physiology 2018, 118, 1265-1272. [CrossRef]
- Ruiz-Moreno, C.; Gutiérrez-Hellín, J.; Amaro-Gahete, F.J.; González-García, J.; Giráldez-Costas, V.; Pérez-García, V.; Del Coso, J. Caffeine increases whole-body fat oxidation during 1 h of cycling at Fatmax. Eur. J. Nutr. 2021, 60, 2077-2085. [CrossRef]
- Glaister, M.; Pattison, J.R.; Muniz-Pumares, D.; Patterson, S.D.; Foley, P. Effects of dietary nitrate, caffeine, and their combination on 20-km cycling time trial performance. J Strength Cond Res 2015, 29, 165-174. [CrossRef]
- Backhouse, S.H.; Biddle, S.J.; Bishop, N.C.; Williams, C. Caffeine ingestion, affect and perceived exertion during prolonged cycling. Appetite 2011, 57, 247-252. [CrossRef]
- Godwin, C.; Cook, M.D.; Willems, M.E.T. Effect of New Zealand Blackcurrant Extract on Performance during the Running Based Anaerobic Sprint Test in Trained Youth and Recreationally Active Male Football Players. Sports 2017, 5, 69. [CrossRef]


| Week | Planned Phase |
|---|---|
| 1 | PRE |
| 2 | PRE |
| 3 | PRE |
| 4 | CAF |
| 5 | ALL |
| 6 | NZBC |
| 7 | BL |
| 8 | ALL |
| 9 | NZBC |
| 10 | CAF |
| 11 | BL |
| 12 | NZBC |
| 13 | CAF |
| 14 | ALL |
| 15 | BL |
| 16 | CAF |
| 17 | ALL |
| 18 | NZBC |
| 19 | BL |
| Subject | Sex | Age (years) | Body Height (cm) |
Body Weight (kg; Mean ± SD) |
Skeletal Muscle Mass (kg; Mean ± SD) | Body Fat (%; Mean ± SD) |
|---|---|---|---|---|---|---|
| A | m | 25 | 181.5 | 77.51 ± 0.75 | 38.77 ± 0.56 | 12.21 ± 0.45 |
| B | m | 32 | 187 | 90.51 ± 3.28 | 45.11 ± 1.11 | 13.00 ± 2.99 |
| BL | CAF | NZBC | ALL | |
|---|---|---|---|---|
| Level | ||||
| Resting Parameters | ||||
| sBP (mmHg) | 123.17 | 127.83 | 127.33 | 129.00 |
| dBP (mmHg) | 63.67 | 73.83 | 65.83 | 71.67 |
| rHR (bpm) | 57.17 | 57.33 | 59.67 | 57.33 |
| Physical Working Capacity Test (PWC150) | ||||
| PWC-Power (W/kg) | 2.91 | 2.87 | 2.96 | 2.82 |
| RPE150 | 16.00 | 14.50 | 15.00 | 14.50 |
| Time Trial (TT) | ||||
| TT-Power (W/kg) | 3.57 | 3.72 | 3.51 | 3.68 |
| HRmean (bpm) | 167.60 | 175.60 | 168.34 | 174.91 |
| HRmax (bpm) | 177.50 | 186.00 | 179.50 | 186.50 |
| RER | 0.85 | 0.83 | 0.88 | 0.84 |
| VO2 | 4994.93 | 5218.63 | 4519.46 | 5094.68 |
| VCO2 | 4172.08 | 4340.05 | 3962.17 | 4299.53 |
| RPE | ||||
| After 5 min | 17.00 | 16.50 | 16.50 | 17.00 |
| After 10 min | 17.50 | 17.50 | 17.50 | 18.00 |
| After 15 min | 19.00 | 19.00 | 18.50 | 19.00 |
| After 20 min | 19.50 | 20.00 | 20.00 | 20.00 |
| Stability | ||||
| Resting Parameters | ||||
| sBP (mmHg) | 100 | 100 | 100 | 100 |
| dBP (mmHg) | 75 | 100 | 75 | 100 |
| rHR (bpm) | 75 | 50 | 75 | 50 |
| Physical Working Capacity Test (PWC150) | ||||
| PWC-Power (W/kg) | 100 | 100 | 75 | 75 |
| RPE150 | 100 | 75 | 100 | 100 |
| Time Trial (TT) | ||||
| TT-Power (W/kg) | 100 | 100 | 100 | 75 |
| HRmean (bpm) | 100 | 100 | 100 | 100 |
| HRmax (bpm) | 100 | 100 | 100 | 100 |
| RER | 100 | 75 | 100 | 100 |
| VO2 | 100 | 75 | 75 | 75 |
| VCO2 | 100 | 100 | 100 | 100 |
| RPE | ||||
| After 5 min | 100 | 100 | 100 | 100 |
| After 10 min | 75.00 | 100 | 100 | 100 |
| After 15 min | 100 | 100 | 100 | 100 |
| After 20 min | 100 | 100 | 100 | 100 |
| dBP, diastolic blood pressure; HRmax, maximum heart rate; HRmean, mean heart rate; RER, respiratory exchange ratio; rHR, resting heart rate; RPE, rate of perceived exertion; sBP, systolic blood pressure; VCO2, carbon dioxide volume; VO2, oxygen volume. | ||||
| BL | CAF | NZBC | ALL | |
|---|---|---|---|---|
| Level | ||||
| Resting Parameters | ||||
| sBP (mmHg) | 119.83 | 128.67 | 120.67 | 130.17 |
| dBP (mmHg) | 71.83 | 73.67 | 72.67 | 75.17 |
| rHR (bpm) | 47.83 | 43.00 | 48.67 | 43.50 |
| Physical Working Capacity Test (PWC150) | ||||
| PWC-Power (W/kg) | 3.36 | 3.26 | 3.25 | 3.26 |
| RPE150 | 19.00 | 17.50 | 18.00 | 18.00 |
| Time Trial (TT) | ||||
| TT-Power (W/kg) | 2.76 | 2.94 | 3.13 | 3.29 |
| HRmean (bpm) | 159.70 | 165.10 | 161.40 | 164.60 |
| HRmax (bpm) | 170.50 | 176.00 | 171.50 | 176.50 |
| RER | 0.91 | 0.83 | 0.92 | 0.85 |
| VO2 | 4486.17 | 4834.17 | 4580.87 | 4790.65 |
| VCO2 | 3966.14 | 4075.72 | 3949.02 | 4036.15 |
| RPE | ||||
| After 5 min | 16.00 | 16.00 | 15.00 | 16.00 |
| After 10 min | 17.50 | 17.50 | 17.00 | 17.50 |
| After 15 min | 18.50 | 19.00 | 18.00 | 18.50 |
| After 20 min | 20.00 | 20.00 | 20.00 | 20.00 |
| Stability | ||||
| Resting Parameters | ||||
| sBP (mmHg) | 100 | 50 | 100 | 100 |
| dBP (mmHg) | 100 | 75 | 100 | 100 |
| rHR (bpm) | 50 | 75 | 50 | 75 |
| Physical Working Capacity Test (PWC150) | ||||
| PWC-Power (W/kg) | 75 | 50 | 50 | 75 |
| RPE150 | 100 | 75 | 75 | 100 |
| Time Trial (TT) | ||||
| TT-Power (W/kg) | 100 | 100 | 100 | 100 |
| HRmean (bpm) | 100 | 100 | 100 | 100 |
| HRmax (bpm) | 100 | 100 | 100 | 100 |
| RER | 100 | 100 | 75 | 100 |
| VO2 | 100 | 100 | 100 | 100 |
| VCO2 | 100 | 100 | 75 | 100 |
| RPE | ||||
| After 5 min | 100 | 100 | 75 | 100 |
| After 10 min | 100 | 100 | 100 | 75 |
| After 15 min | 100 | 100 | 100 | 100 |
| After 20 min | 100 | 100 | 100 | 100 |
| dBP, diastolic blood pressure; HRmax, maximum heart rate; HRmean, mean heart rate; RER, respiratory exchange ratio; rHR, resting heart rate; RPE, rate of perceived exertion; sBP, systolic blood pressure; VCO2, carbon dioxide volume; VO2, oxygen volume. | ||||
Disclaimer/Publisher’s Note: The statements, opinions and data contained in all publications are solely those of the individual author(s) and contributor(s) and not of MDPI and/or the editor(s). MDPI and/or the editor(s) disclaim responsibility for any injury to people or property resulting from any ideas, methods, instructions or products referred to in the content. |
© 2023 by the authors. Licensee MDPI, Basel, Switzerland. This article is an open access article distributed under the terms and conditions of the Creative Commons Attribution (CC BY) license (http://creativecommons.org/licenses/by/4.0/).
