Preprint
Article

This version is not peer-reviewed.

CVM: Crossbar-Based Circuit Verification Through Modeling

Submitted:

11 November 2023

Posted:

15 November 2023

You are already at the latest version

Abstract
The implementation of Boolean functions using Nano crossbar- based switching lattices has been suggested as a substitute for conventional CMOS-based approaches in digital circuits . This alternative may satisfy the needs of future electronic designs, con- sidering the expected end of Moore’s law. This study introduces CVM, a Crossbar-based circuit Verification through Modeling tech- nique
Keywords: 
;  ;  
ACM Reference Format:
Rajesh Kumar Datta. 2018. CVM: Crossbar-based circuit Verification through Modeling. In Proceedings of ACM Conference (Conference’17). ACM, New York, NY, USA, 3 pages. https://doi.org/XXXXXXX.XXXXXXX
Permission to make digital or hard copies of all or part of this work for personal or classroom use is granted without fee provided that copies are not made or distributed for profit or commercial advantage and that copies bear this notice and the full citation on the first page. Copyrights for components of this work owned by others than ACM must be honored. Abstracting with credit is permitted. To copy otherwise, or republish, to post on servers or to redistribute to lists, requires prior specific permission and/or a fee. Request permissions from permissions@acm.org.
Conference’17, July 2017, Washington, DC, USA
© 2018 Association for Computing Machinery. ACM ISBN 978-1-4503-XXXX-X/18/06… $15.00

1. Introduction

Crossbar-based circuits are a promising substitute for traditional CMOS-based circuits as the latter approach has limitations in further miniaturization. In [3] the concept of four terminal or crossbarbased implementation of boolean function was proposed. These switches offer a more efficient implementation of Boolean functions with fewer switches compared to traditional CMOS switches. Twoterminal switches are controlled by Boolean literals, with a value of ‘1’ turning the switch ON and ‘0’ turning it OFF. In contrast, Cross-terminal switches are arranged in a rectangular lattice and can be mutually ON or OFF. These switches can also be controlled by Boolean literals and offer more connection flexibility. Technology development and circuit modeling of these structures were discussed in [8]. Different methods have [2,7] shown the implementation of the Boolean function with cross-bar-based switching lattices. The idea of using two-dimensional arrays of rectangular switches is not new [1]. In recent years, the four-terminal switch model has gained renewed attention due to advances in technology [4,5]. Boolean functions can be implemented using crossbar-type switches [6,9]. Figure 1 and Figure 3 summarize the basic concept. In this work, we have presented the idea and implementation of CVM, which can be used to verify the accuracy of crossbar-based implementations of any given function. This is accomplished by modeling the characteristics of the lattice and comparing the output with the expected result.

2. Modeling of Lattice Network

Given a lattice network, the position of the Boolean literals can be identified. However, as the size of the network increases, it becomes more difficult to verify the function implemented by the network due to the rapid increase in the number of product terms. Figure 2 presents the rapid increase of function size in the lattice network. To simplify the process of verifying the Boolean function implemented by a given lattice network, we can create a model of the network and find the SOPs implemented by it. This can make the verification process easier. Next, we will discuss the modeling technique of any lattice implementation.
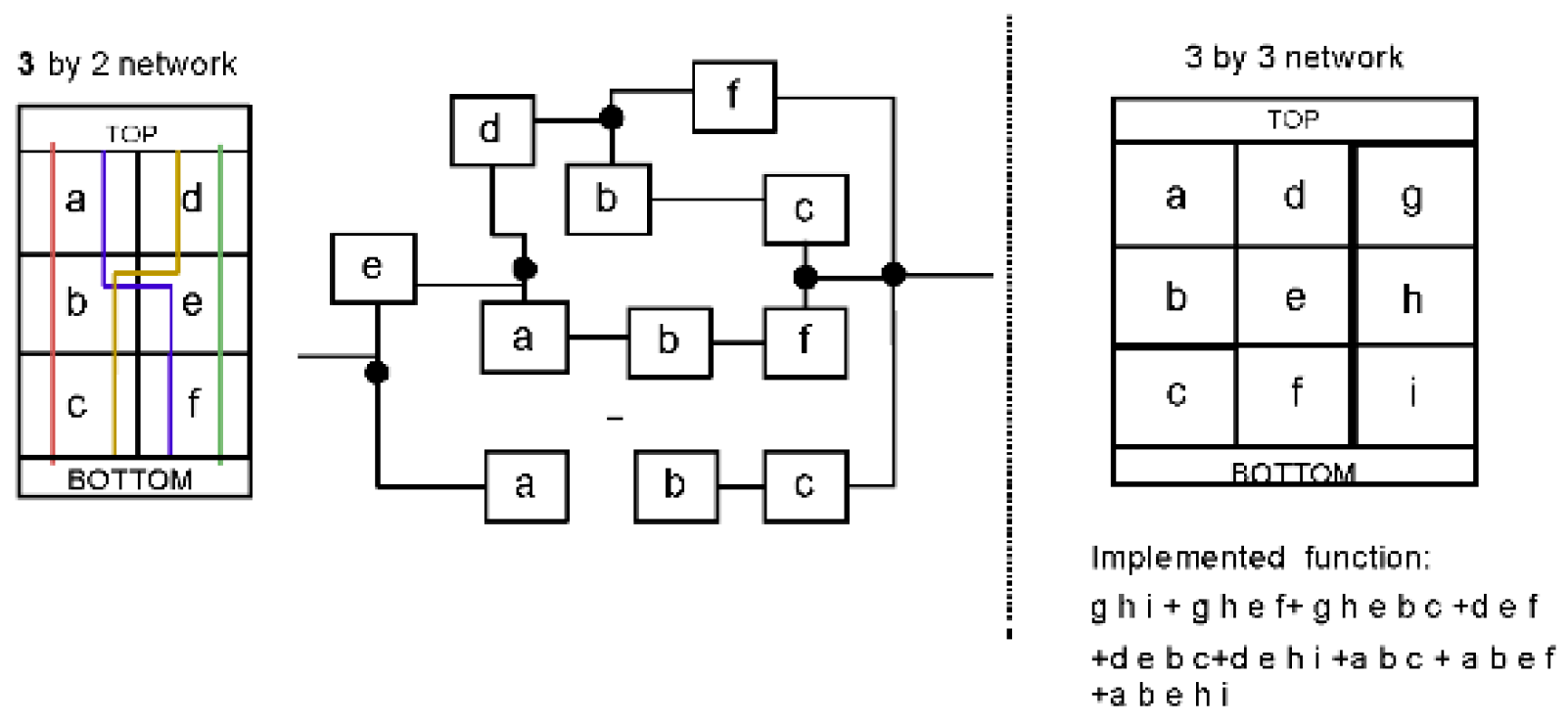
Formation of a Lattice If we take a 3x3 lattice network (Figure 3 right side), it contains 9 four-terminal switches, with the top and bottom parts referred to as ‘TOP’ and ‘BOTTOM’. Every path connecting the TOP to the BOTTOM is a Product term of the imple- mented Boolean function. The lattice network can be represented as a graph and DFS algorithm is used to find the paths.
Path formation To generate paths in a 3 by 3 lattice, we begin by checking the adjacent nodes (or ‘children’) of the source four- terminal switch. Each four-terminal switch can be connected to a maximum of four other switches, so each switch can have up to four children. In the 3 by 3 lattice shown in Figure 3, the source node has three children: ‘a’, ‘d’, and ‘g’. We then choose one of these children, such as ‘a’, and check its children. ‘a’ has one child, ‘b’, which has two children: ‘e’ and ‘c’. If we choose ‘c’, the path reaches the bottom of the lattice and the product term becomes ‘a b c’. If we choose ‘e’ instead, it has two children: ‘h’ and ‘f’. If we choose ‘f’, the path reaches the bottom and the product term becomes ‘a b e f’. This process is repeated recursively until all nodes and their children have been examined. Nodes that have already been marked as used in a previous path are not checked again.
Figure 3. (Left side) The implementation of the function X = abc+ abef+ debc+ def can be performed using either crossbarbased or two-terminal-based circuits. The crossbar-based implementation requires 6 switches, while the two-terminalbased implementation requires 11 switches. Lines from Top to Bottom shows the path which implements product terms of the function. In larger functions, the size of the network can be significantly reduced by using crossbar-based circuits. (Right side) A 3 by-3 switching lattice is also shown in the figure.
Figure 3. (Left side) The implementation of the function X = abc+ abef+ debc+ def can be performed using either crossbarbased or two-terminal-based circuits. The crossbar-based implementation requires 6 switches, while the two-terminalbased implementation requires 11 switches. Lines from Top to Bottom shows the path which implements product terms of the function. In larger functions, the size of the network can be significantly reduced by using crossbar-based circuits. (Right side) A 3 by-3 switching lattice is also shown in the figure.
Preprints 90273 g003
Valid path selection To determine if a generated path is a su- perset of another path, we have two options: we can either generate all the paths first and then check for supersets, or we can check the path as it is being generated. The latter option is faster, especially for large functions with many paths. When adding a new node to the path, we can check if it is a child of any previous node in the path, except for the one that brought us to the new node. This avoids the need to generate all the paths and then remove the supersets.
Repetition of literals To generate all possible paths in a lattice structure with repeated literals, we can initially treat all literals as distinct, and then replace the basic literals with the original, repeated literals. However, this may result in superset paths that need to be removed to obtain the final set of paths.

3. Implementation of CVM

To model a four-terminal lattice or cross-bar structure, all relevant features must be considered mentioned in the previous section. Once the model is designed, the implemented boolean function can be obtained and compared to the intended target function to ensure an accurate representation of the lattice structure’s behavior. We implemented and developed the verification tool CVM with the ‘C’ language. The input of the tool is the lattice structure. We will release the preliminary version of the code for this paper. A demo of the tool is uploaded here as an anonymous user with some sample examples [?]. The user will give the input of the literals in the order of the structure. For example, in Figure 3 a 3x2 lattice has been shown. For the input of the tool, we can assume the literals as 1,2,3..6 for the literals a,b,c...f. At the output, the tool will provide the function’s product terms. If there is no repetition in the literals the lattice will generate the maximum number of product terms possible by the lattice. If there is a repetition of the literals there will be some invalid paths and CVM will discard those at the output. In Figure 4 two sample lattice and their output has been shown which has been generated from CVM.
As we get the product terms of the lattice structure from CVM, we can verify if the lattice implements our required function or not. As in the bigger lattices, the number of product terms will be really high, CVM can help to understand if the implementation is correct or not.

4. Conclusions

In this work, we presented CVM for verifying any switching lattice network by modeling it. We have implemented the tool and verified the modeling methodologies with different lattice structures.

References

  1. Akers, S.B. A rectangular logic array. In 12th Annual Symposium on Switching and Automata Theory (swat 1971); IEEE: Piscataway, NJ, USA, 1971; pp. 79–90. [Google Scholar]
  2. Aksoy, L.; Altun, M. Novel Methods for Efficient Realization of Logic Functions Using Switching Lattices. IEEE Trans. Comput. 2020, 69, 427–440. [Google Scholar] [CrossRef]
  3. Altun, M.; Riedel, M.D. Logic synthesis for switching lattices. IEEE Trans. Comput. 2012, 61, 1588–1600. [Google Scholar] [CrossRef]
  4. Chrzanowska-Jeske, M.; Mishchenko, A. Synthesis for reg- ularity using decision diagrams [logic IC synthesis and layout]. In 2005 IEEE International Symposium on Circuits and Systems; IEEE: Piscataway, NJ, USA, 2005; pp. 4721–4724. [Google Scholar]
  5. Chrzanowska-Jeske, M.; Xu, Y.; Perkowski, M. Logic synthesis for a regular layout. VLSI Des. 1999, 10, 35–55. [Google Scholar] [CrossRef]
  6. Eshaghian-Wilner, M.M.; Flood, A.H.; Khitun, A.; Stoddart, J.F.; Wang, K. Molecular and nanoscale computing and technology. In Handbook of nature-inspired and innovative computing; Springer: Berlin/Heidelberg, Germany, 2006; pp. 477–509. [Google Scholar]
  7. Morgül, M.C.; Altun, M. Optimal and heuristic algorithms to synthesize lattices of four-terminal switches. Integration 2019, 64, 60–70. [Google Scholar] [CrossRef]
  8. Safaltin, S.; Gencer, O.; Morgul, M.C.; Aksoy, L.; Gur- men, S.; Moritz, C.A.; Altun, M. Realization of four-terminal switching lattices: Technology development and circuit modeling. In 2019 Design, Automation & Test in Europe Conference & Exhibition (DATE); IEEE: Piscataway, NJ, USA, 2019; pp. 504–509. [Google Scholar]
  9. Ziegler, M.M.; Stan, M.R. CMOS/nano co-design for crossbar- based molecular electronic systems. IEEE Trans. Nanotechnol. 2003, 2, 217–230. [Google Scholar] [CrossRef]
Figure 1. Two-terminal switches have two connection points and can be either on or off, depending on whether the terminals are closed or open, respectively. In contrast, cross-bar switches have four terminals and can be used to form a switching lattice, which is a network of these switches. The valid connections from the top to bottom plates of the switching lattice can be used to implement the PRODUCT terms of any function.
Figure 1. Two-terminal switches have two connection points and can be either on or off, depending on whether the terminals are closed or open, respectively. In contrast, cross-bar switches have four terminals and can be used to form a switching lattice, which is a network of these switches. The valid connections from the top to bottom plates of the switching lattice can be used to implement the PRODUCT terms of any function.
Preprints 90273 g001
Figure 2. Size of function increases rapidly with the increasing size of the cross-bar-based network. Bigger Functions can be easily implemented with these structures with fewer switches.
Figure 2. Size of function increases rapidly with the increasing size of the cross-bar-based network. Bigger Functions can be easily implemented with these structures with fewer switches.
Preprints 90273 g002
Figure 4. Verification of a 3 by 3 (upper lattice) and 4 by 2 (lower lattice) crossbar-based lattice with CVM. A crossbar- based lattice has literals in its structure to implement a func tion. If no literals are repeated all the possible product terms will be generated. If there are repeated literals the product term will be less as there will be some invalid product terms. After we give the lattice to CVM it will return the function that the lattice has implemented.
Figure 4. Verification of a 3 by 3 (upper lattice) and 4 by 2 (lower lattice) crossbar-based lattice with CVM. A crossbar- based lattice has literals in its structure to implement a func tion. If no literals are repeated all the possible product terms will be generated. If there are repeated literals the product term will be less as there will be some invalid product terms. After we give the lattice to CVM it will return the function that the lattice has implemented.
Preprints 90273 g004
Disclaimer/Publisher’s Note: The statements, opinions and data contained in all publications are solely those of the individual author(s) and contributor(s) and not of MDPI and/or the editor(s). MDPI and/or the editor(s) disclaim responsibility for any injury to people or property resulting from any ideas, methods, instructions or products referred to in the content.
Copyright: This open access article is published under a Creative Commons CC BY 4.0 license, which permit the free download, distribution, and reuse, provided that the author and preprint are cited in any reuse.
Prerpints.org logo

Preprints.org is a free preprint server supported by MDPI in Basel, Switzerland.

Subscribe

Disclaimer

Terms of Use

Privacy Policy

Privacy Settings

© 2026 MDPI (Basel, Switzerland) unless otherwise stated