Preprint
Article

This version is not peer-reviewed.

On the Field Strength of Vacuum Energy and the Emergence of Mass

A peer-reviewed article of this preprint also exists.

Submitted:

10 January 2023

Posted:

18 January 2023

Read the latest preprint version here

Abstract
Large inconsistencies in the outcome of precise measurements of Newtonian gravitational ‘constant’ were identified throughout more than three hundred experiments conducted up to date. This paper demonstrates the dependency of the Newtonian gravitational parameter on the curvature of the background and the associated field strength of vacuum energy. In addition, the derived field equations show that the boundary interaction of conventional and vacuum energy densities and their spin-spin correlation contribute to the emergent mass. Experimental conditions are recommended to achieve consistent outcomes of the parameter measurements under the defined settings, which can directly falsify or provide confirmations to the presented interaction field equations.
Keywords: 
;  

1. Introduction

The sun flows in a spatially flat spacetime background, based on general relativity, where its induced curvature is proportional to its energy density and flux. On the other hand, the earth flows in a curved background due to the presence of the sun, where the induced curvature by the earth is affected by the curvature of the background in addition to its energy density and flux. Many precise measurements have not agreed on a specific value of Newtonian gravitational parameter [1,2]; this study investigates the influence of the background curvature on the parameter value. It also explores boundary interactions of conventional and vacuum energy densities on the emergence of mass.

2. Newtonian Gravitational Parameter

Owing to the presence of the sun, the earth flows through a curved background (curved bulk). To incorporate the curvature of the background, a modulus of spacetime deformation, E D , is utilized [3]. The Einstein–Hilbert action can be extended to
                                                                                                                                                                          S = E D C   [ R + L ] g   d 4 ρ  
where R denotes the Ricci scalar curvature representing the localized curvature induced into the bulk by a celestial object that is regarded as a 4D relativistic cloud-world of metric g u v and Lagrangian density   L whereas denotes the scalar curvature of the 4D bulk of metric g ˜ μ ν and Lagrangian density as its internal stresses and momenta reflecting its curvature. E D can be expressed in terms of the field strength of the bulk by using the Lagrangian formulation of the energy density that exists in the bulk as a manifestation of vacuum energy density as α β α β / 4 μ 0 . As E D is constant with the action in Equation (1) under constant vacuum energy density condition, a dual action can be introduced as
S = B   [ α β g ˜ α γ γ λ g ˜ β λ 4 μ 0 ] g ˜   C   [ R μ ν g μ ν μ ν g ˜ μ ν + L μ ν g μ ν μ ν g ˜ μ ν ] g   d 4 ρ   d 4 σ  
where α β and μ 0 are the field strength tensor and vacuum permeability, respectively.
By applying the principle of stationary action in [3] yields
R μ ν 1 2 R g μ ν R μ ν 2 + R ( K μ ν 1 2 K q ^ μ ν ) ( K μ ν 1 2 K q ^ μ ν ) 2 = T ^ μ ν T μ ν
The interaction field equations can be interpreted as indicating that the cloud-world’s induced curvature over the bulk’s existing curvature equals the ratio of the cloud-world’s imposed energy density and its flux to the bulk’s vacuum energy density and its flux through the expanding/contracting Universe. The field equations can be simplified to
R μ ν 1 2 R g ^ μ ν ( K μ ν 1 2 K q ^ μ ν ) = 8 π G c 4 T ^ μ ν
where g ^ μ ν = g μ ν + 2 g ˜ μ ν + 2 g = μ ν is the conformally transformed metric counts for cloud-world’s metric, gμν, and bulk’s metrics g ˜ μ ν and g = μ ν regarding its intrinsic and extrinsic curvatures, respectively, whereas Einstein spaces are a subclass of conformal space [4]. T ^ μ ν = ( 2 L μ ν L g ^ μ ν ) ( 2 l μ ν l q ^ μ ν ) is an extended conformal stress-energy tensor including electromagnetic energy flux from the boundary over conformal time. The interaction field equations could remove the singularities and satisfy a conformal invariance theory. From Equations (3) and (4), the Newtonian gravitational parameter, G , is
G = c 4 8 π E D
where E D = α β g ˜ α γ γ λ g ˜ β λ / 4 μ 0 is constant under the constant vacuum energy density condition. According to Equation (5), G is proportional to , the curvature of the bulk (background). In addition, G reflects the field strength of vacuum energy where any changes in the bulk’s metric, g ˜ μ ν   : = , changes the field strength of the bulk α β . With respect to earth, Figure 1 shows background curvature due to the presence of sun. Earth and moon are inducing different curvature configurations depending on their locations. The bulk’s curvature has different values at Point A: red and blue curves; therefore, G is predicted to have different values depending on the moon's location. Locations of the moon and other planets have to be considered to achieve consistent G measurements.

3. Emergence of Mass

The action in Equation (2) is expanded to investigate the behaviour of quantum fields under the influence of the field strength of vacuum energy that is reliant on the curvature of the cloud-world and bulk as follows
Preprints 67262 i001
where L α β L α β are the Lagrangian densities of two entangled quantum fields of a metric q μ ν and four-momentum p μ p ν while π μ π v are the four-momentum of the vacuum energy density of a Lagrangian density μ ν g μ ν , n is a proportionality constant and ϑ 2 is a dimensional-hierarchy factor. By applying the principle of stationary action in [3] gives
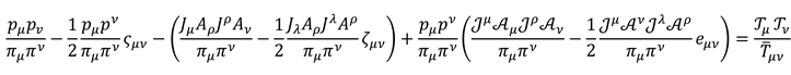
Preprints 67262 i002
where ς μ ν = q μ ν + 2 q ˜ μ ν is the conformally transformed metric counting for the contribution of the quantum cloud’s metric, q μ ν ,   and from the intrinsic, q ˜ μ ν , curvature of the cloud-world. Similarly, ζ μ ν is the conformally transformed induced metric tensor on the quantum cloud boundary. The quantum cloud’s boundary term is given as the variation in the four-momentum δ p μ of charged fields enclosed within the quantum cloud boundary as the flow of the four-current J μ through the cloud boundary multiplied by the four potential that is generated by the current itself and that is externally applied to it, A μ . T μ   T ν   = ( 2 L μ α L ν α L α β L α β ξ μ ν / 2 ) / n are Cauchy stress tensors, extended to four-dimension of the deformed configuration of two entangled quantum fields while T μ ν is the overall stress-energy tensor of the cloud-world and bulk. Figure 2 shows the quantum cloud where T n is the traction vector on the inner surface S i and n is the unit normal vector.
The configuration is given by, S i , the inner surface of the quantum cloud that separates its continuum into two portions and encloses an arbitrary inner volume while S o is the outer surface of the cloud’s boundary.
By separating the two entangled quantum fields with renaming the dummy indices and utilizing the dimensional analysis, the field equations are
                                                                                p μ 1 2 p ν ς μ ν ( J μ A μ 1 2 J μ A ν ζ μ ν ) + p μ π μ ( J μ A μ 1 2 J μ A ν e μ ν ) = 1 2 G c 2 g R T μ
where is the Planck constant and T μ denotes the energy density and its flux of the quantum cloud and g R is the gravitational field strength of the cloud-world. The equations in terms of operators are
Preprints 67262 i003
where p ^ μ and π ^ μ are the momentum operators and T ^ μ is the stress-energy (gravitational) operator. Because the gravitational field strength of the cloud-world of mass M   and at radius R is g R = M G / R 2 , a plane wavefunction, ψ = A e i ( ω t k x ) , can be expressed by utilizing Equation (9) as ψ = A e i ( R 2 / 2 M c 2 )   T μ x μ , consequently:
                                                                          i γ μ μ ψ 1 2 i γ μ ν ς μ ν ψ ( J μ A μ 1 2 J μ A ν ζ μ ν ) ψ   + ( J μ A μ 1 2 J μ A ν e μ ν ) μ ψ μ ϕ = 1 2 x μ R R ψ  
where γ μ are the Dirac matrices and the boundary term of the bulk, J μ A μ , and the spin-spin correlation, μ ψ / μ ϕ , of the conventional and vacuum energy densities, contribute to the emergent mass.
On the other hand, by using the implicit boundary term of the bulk in [3], the quantizing equations are
                                                                                                                                    i γ μ μ ψ 1 2 i γ μ ν ξ μ ν ψ ( J μ A μ 1 2 J μ A ν ζ μ ν ) ψ   = 1 2 x μ R R ψ  
where ξ μ ν = q μ ν + 2 q ˜ μ ν + 2 q = μ ν is the conformally transformed metric tensor counting for the contributions of the quantum cloud’s metric, q μ ν ,   in addition to the contribution from the intrinsic, q ˜ μ ν , and extrinsic, q = μ ν , curvatures of the cloud-world. The interaction field equations can be utilized to reproduce the quantum electrodynamics using an undeformed configuration of the quantum cloud and its boundary given by the Minkowski metric η μ ν while disregarding the curvature of the background and its gravitational field strength and using G as the Newtonian present valve. From Equation (11), the expected value of the quantum cloud’s volume is V = G / c g . This reveals that the quantum cloud’s volume is quantized and is reliant on the gravitational field strength. Consequently, for a single electron of mass m , the symmetric stress-energy tensor of the quantum cloud is T μ = m c 2 / V = m g c 3 / G . Accordingly, the field equations are
                                                                                                                                          i γ μ ( t c + ) ψ 1 2 i γ μ ( t c ) η μ ν ψ 1 2 J μ A μ ψ = 1 2 m c ψ  
The four-current density is J μ = e ψ ¯ γ μ ψ and by choosing the quantum metric signature as ( 1 , 1 , 1 , 1 ) :
                                                                        1 2 i γ μ ( t c + ) ψ 1 2 e ψ ¯ γ μ ψ A μ ψ = 1 2 m c ψ
where e is the charge of a single electron, thus, Equation (13) can be reformatted to
                                                                    i γ μ μ ψ m c ψ = e γ μ A μ ψ
This resembles the Dirac equation and the interaction with the electromagnetic field.

4. Conclusions

Numerous precise measurements of the Newtonian gravitational parameter have revealed many inconsistencies through more than three hundred experiments conducted up to date. It has been derived in this study that the Newtonian gravitational parameter is dependent on the background curvature and the associated field strength of vacuum energy. In addition, the derived field equations showed that the boundary interaction of conventional and vacuum energy densities and their spin-spin correlation contribute to the emergent mass. The locations of the moon and other planets have to be considered to achieve consistent G measurements. As the derived field equations predict that the value of G is reliant on the background curvature, consistent measurements of G with regards to the location of the moon as shown in Figure 1 as well as the other nearby planets can directly falsify or provide confirmations to interaction field equations.

References

  1. Xue C, et. al. , 2020 Precision measurement of the Newtonian gravitational constant Natl. Sci. Rev. 7 1803–17. [CrossRef] [PubMed]
  2. Rosi G, et. al., 2014 Precision measurement of the Newtonian gravitational constant using cold atoms Nat. 2014 5107506 510 518–21.
  3. Al-Fadhli M B 2023 Celestial and Quantum Propagation, Spinning, and Interaction as 4D Relativistic Cloud-Worlds Embedded in a 4D Conformal Bulk: From String to Cloud Theory. Preprints.org.
  4. Kozameh C and Newman E, 1985 Conformal Einstein spaces Springer.
Figure 1. The blue curve represents the induced curvature by the sun. Concerning both the earth and moon, this curved background is further curved beneath them as visualized (blue curve). However, when the moon is at its away location (dotted circles), an altered induced curvature configuration is shown by the red dotted curve.
Figure 1. The blue curve represents the induced curvature by the sun. Concerning both the earth and moon, this curved background is further curved beneath them as visualized (blue curve). However, when the moon is at its away location (dotted circles), an altered induced curvature configuration is shown by the red dotted curve.
Preprints 67262 g001
Figure 2. The deformed configuration of the 4D relativistic quantum cloud of metric q μ ν along its travel and spin through the curved background of the cloud-world of metric g μ ν .
Figure 2. The deformed configuration of the 4D relativistic quantum cloud of metric q μ ν along its travel and spin through the curved background of the cloud-world of metric g μ ν .
Preprints 67262 g002
Disclaimer/Publisher’s Note: The statements, opinions and data contained in all publications are solely those of the individual author(s) and contributor(s) and not of MDPI and/or the editor(s). MDPI and/or the editor(s) disclaim responsibility for any injury to people or property resulting from any ideas, methods, instructions or products referred to in the content.
Copyright: This open access article is published under a Creative Commons CC BY 4.0 license, which permit the free download, distribution, and reuse, provided that the author and preprint are cited in any reuse.
Prerpints.org logo

Preprints.org is a free preprint server supported by MDPI in Basel, Switzerland.

Subscribe

Disclaimer

Terms of Use

Privacy Policy

Privacy Settings

© 2026 MDPI (Basel, Switzerland) unless otherwise stated