Preprint
Article

This version is not peer-reviewed.

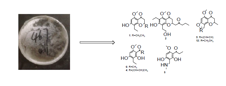
Six New Derivatives from Alternaria sp MCCC 3A00467

Submitted:

31 March 2018

Posted:

02 April 2018

You are already at the latest version

Abstract
Terrestrial plant resources are becoming increasingly scarce; moreover, the development of science and technology has facilitated the exploration of marine ecosystems. We isolated and identified six novel (16) and six (712) known secondary metabolites of Alternaria sp MCCC 3A00467 by chromatographic and spectroscopic techniques and investigated their antitumor activities in human myeloma (U266), liver cancer (HepG2), and lung cancer (A549) cells by the MTT assay. Among these compounds, the new compounds 2, 3 and 4 exhibited excellent anticancer activities with IC50 values of 21.98, 24.99 and 14.78 μg/mL, respectively. These compounds obtained from a marine source have the potential to be developed into novel anticancer drugs.
Keywords: 
;  
Copyright: This open access article is published under a Creative Commons CC BY 4.0 license, which permit the free download, distribution, and reuse, provided that the author and preprint are cited in any reuse.
Prerpints.org logo

Preprints.org is a free preprint server supported by MDPI in Basel, Switzerland.

Subscribe

Disclaimer

Terms of Use

Privacy Policy

Privacy Settings

© 2026 MDPI (Basel, Switzerland) unless otherwise stated