Submitted:
02 March 2026
Posted:
03 March 2026
You are already at the latest version
Abstract

Keywords:
1. Introduction
2. Materials and Methods
2.1. Materials
2.2. Methods
2.2.1. Nuclear Magnetic Resonance (NMR) Spectroscopy
2.2.2. Attenuated Total Reflectance Fourier Transform Infrared (ATR-FT-IR) Spectroscopy
2.2.3. Scanning Electron Microscopy (SEM)
2.2.4. Atomic Force Microscopy (AFM)
2.2.5. Semi-Synthesis of Derivative HA-Gly-OEt
2.2.6. Semi-Synthesis of Derivative HA-Gly-OH
2.2.7. Electrospinning
2.3. Wettability (Contact Angle Measurement)
2.4. Cell Culture and Biocompatibility Evaluation
2.5. Sol (SF) Gel Fraction (GF) Calculation
2.6. Calibration Curve for CTAB Assay
2.7. CTAB Assay for Cumulative Release
3. Results and Discussion
3.1. Semi-Synthesis of HA-Gly-OH
3.2. Electrospinning and Morphological Analysis of Electrospun Composites
3.3. Contact Angle Measurements
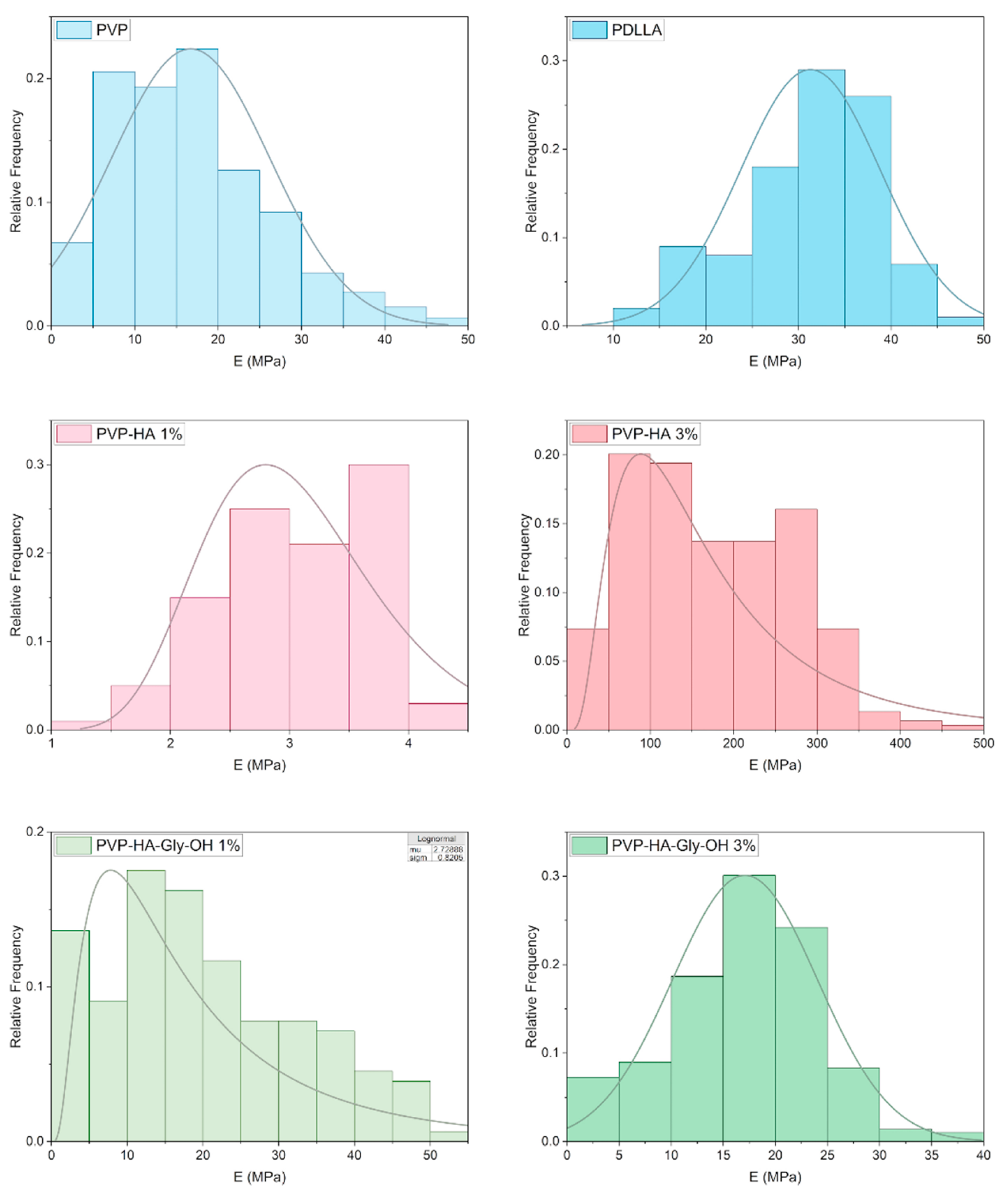
3.4. Mechanical Properties of Electrospun Composites

3.5. Evaluation of Cytocompatibility of Electrospun Scaffolds

3.6. Sol (SF) and Gel Fraction (GF)
3.7. Cumulative Release
5. Conclusions
Supplementary Materials
Author Contributions
Funding
Institutional Review Board Statement
Data Availability Statement
Acknowledgments
Conflicts of Interest
Abbreviations
| AFM | Atomic force microscopy |
| ATCC | American Type Culture Collection |
| ATR-FT-IR | Attenuated total reflectance Fourier transform infrared spectroscopy |
| CTAB | Cetyltrimethyl ammonium bromide |
| DMEM | Dulbecco’s Modified Eagle Medium High Glucose |
| DMSO | Dimethylsulfoxide |
| DMT | Derjaguin–Muller–Toporov |
| DS | Degree of substitution |
| DSS | 3-(Trimethylsilyl)propionic-2,2,3,3-d4 acid sodium salt |
| ECM | Extracellular matrix |
| EDC·HCl | N-(3-(Dimethylamino)propyl)-N’-ethylcarbodiimide hydrochloride |
| FBS | Fetal bovine serum |
| GAGs | Glycosaminoglycans |
| GlcA | D-glucuronic acid |
| GlcNAc | N-acetyl-D-glucuronic acid |
| Gly-OEt ·HCl | Glycine ethyl ester hydrochloride |
| HA | Hyaluronic acid |
| HFP | 1,1,1,3,3,3-Hexafluoro-2-propanol |
| MES | 2-(N-Morpholino)ethanesulfonic acid hydrate |
| MTT | 3-(4,5-dimethylthiazol-2-yl)-2,5-diphenyltetrazolium bromide |
| NaCl | Sodium chloride |
| NaOH | Sodium hydroxide |
| NMR | Nuclear magnetic resonance |
| PBS | Phosphate-buffered saline |
| PDLLA | Poly-D,L-lactide |
| PSA | Penicillin/streptomycin/amphotericin B |
| PVP | Polyvinylpirrolidone |
| SEM | Scanning electron microscopy |
| s-NHS | N-Hydroxysulfosuccinimide sodium salt |
| UPW | Ultra-pure water |
References
- Byrd, A. L.; Belkaid, Y.; Segre, J. A. The human skin microbiome. Nat. Rev. Microbiol. 2018, 16, 143–155. [Google Scholar] [CrossRef] [PubMed]
- Kabashima, K. Overview: Immunology of the Skin. In Immunology of the Skin: Basic and Clinical Sciences in Skin Immune Responses; Kabashima, K., Ed.; Springer Japan: Tokyo, 2016; pp. pp 1–11. [Google Scholar]
- Takeo, M.; Lee, W.; Ito, M. Wound healing and skin regeneration. Cold Spring Harb. Perspect. Med. 2015, 5, a023267. [Google Scholar] [CrossRef]
- Nestle, F. O.; Di Meglio, P.; Qin, J. Z.; Nickoloff, B. J. Skin immune sentinels in health and disease. Nat. Rev. Immunol. 2009, 9, 679–691. [Google Scholar] [CrossRef] [PubMed]
- Negut, I.; Grumezescu, V.; Grumezescu, A. M. Treatment Strategies for Infected Wounds. Molecules 2018, 23, 9. [Google Scholar] [CrossRef]
- Gurtner, G. C.; Werner, S.; Barrandon, Y.; Longaker, M. T. Wound repair and regeneration. Nature 2008, 453, 314–321. [Google Scholar] [CrossRef]
- Calvanese, L.; Brun, P.; Messina, G. M. L.; Russo, T.; Zamuner, A.; Falcigno, L.; D'Auria, G.; Gloria, A.; Vitagliano, L.; Marletta, G.; Dettin, M. EAK Hydrogels Cross-Linked by Disulfide Bonds: Cys Number and Position Are Matched to Performances. ACS Biomater. Sci. Eng. 2020, 6, 1154–1164. [Google Scholar] [CrossRef]
- Manso Silván, M.; Messina, G. M. L.; Montero, I.; Satriano, C.; Ruiz, J. P. G.; Marletta, G. Aminofunctionalization and sub-micrometer patterning on silicon through silane doped agarose hydrogels. J. Mater. Chem. 2009, 19, 5226–5233. [Google Scholar] [CrossRef]
- Farahani, M.; Shafiee, A. Wound Healing: From Passive to Smart Dressings. Adv. Healthc. Mater. 2021, 10, e2100477. [Google Scholar] [CrossRef]
- Memic, A.; Abudula, T.; Mohammed, H. S.; Joshi Navare, K.; Colombani, T.; Bencherif, S. A. Latest Progress in Electrospun Nanofibers for Wound Healing Applications. ACS Appl. Bio Mater. 2019, 2, 952–969. [Google Scholar] [CrossRef]
- Haik, J.; Kornhaber, R.; Blal, B.; Harats, M. The Feasibility of a Handheld Electrospinning Device for the Application of Nanofibrous Wound Dressings. Adv Wound Care (New Rochelle) 2017, 6, 166–174. [Google Scholar] [CrossRef] [PubMed]
- Abrigo, M.; McArthur, S. L.; Kingshott, P. Electrospun nanofibers as dressings for chronic wound care: advances, challenges, and future prospects. Macromol. Biosci. 2014, 14, 772–792. [Google Scholar] [CrossRef]
- Graca, M. F. P.; de Melo-Diogo, D.; Correia, I. J.; Moreira, A. F. Electrospun Asymmetric Membranes as Promising Wound Dressings: A Review. Pharmaceutics 2021, 13((2)). [Google Scholar] [CrossRef]
- Mousavi, S. M.; Zarei, M.; Hashemi, S. A.; Ramakrishna, S.; Chiang, W.-H.; Lai, C. W.; Gholami, A.; Omidifar, N.; Shokripour, M. Asymmetric Membranes: A Potential Scaffold for Wound Healing Applications. Symmetry 2020, 12, 1100. [Google Scholar] [CrossRef]
- Zhang, T.; Xu, H.; Zhang, Y.; Zhang, S.; Yang, X.; Wei, Y.; Huang, D.; Lian, X. Fabrication and characterization of double-layer asymmetric dressing through electrostatic spinning and 3D printing for skin wound repair. Mater. Des. 2022, 218, 110711. [Google Scholar] [CrossRef]
- Yu, B.; He, C.; Wang, W.; Ren, Y.; Yang, J.; Guo, S.; Zheng, Y.; Shi, X. Asymmetric Wettable Composite Wound Dressing Prepared by Electrospinning with Bioinspired Micropatterning Enhances Diabetic Wound Healing. ACS Appl. Bio Mater. 2020, 3, 5383–5394. [Google Scholar] [CrossRef] [PubMed]
- Xing, J.; Zhang, M.; Liu, X.; Wang, C.; Xu, N.; Xing, D. Multi-material electrospinning: from methods to biomedical applications. Mater. Today Bio 2023, 21, 100710. [Google Scholar] [CrossRef] [PubMed]
- Graca, M. F. P.; Miguel, S. P.; Cabral, C. S. D.; Correia, I. J. Hyaluronic acid-Based wound dressings: A review. Carbohydr. Polym. 2020, 241, 116364. [Google Scholar] [CrossRef] [PubMed]
- Frenkel, J. S. The role of hyaluronan in wound healing. Int. Wound J. 2014, 11, 159–163. [Google Scholar] [CrossRef]
- Chen, W. Y. J. FUNCTIONS OF HYALURONAN IN WOUND REPAIR; Hyaluronan, Kennedy, J. F., Phillips, G. O., Williams, P. A., Eds.; Woodhead Publishing, 2002; pp. pp 147–156. [Google Scholar]
- Voigt, J.; Driver, V. R. Hyaluronic acid derivatives and their healing effect on burns, epithelial surgical wounds, and chronic wounds: a systematic review and meta-analysis of randomized controlled trials. Wound Repair Regen. 2012, 20, 317–331. [Google Scholar] [CrossRef]
- Hintze, V.; Schnabelrauch, M.; Rother, S. Chemical Modification of Hyaluronan and Their Biomedical Applications. Front. Chem. 2022, 10, 830671. [Google Scholar] [CrossRef]
- Pepe, A.; Laezza, A.; Armiento, F.; Bochicchio, B. Chemical Modifications in Hyaluronic Acid-Based Electrospun Scaffolds. Chempluschem 2024, 89, e202300599. [Google Scholar] [CrossRef]
- Chanda, A.; Adhikari, J.; Ghosh, A.; Chowdhury, S. R.; Thomas, S.; Datta, P.; Saha, P. Electrospun chitosan/polycaprolactone-hyaluronic acid bilayered scaffold for potential wound healing applications. Int. J. Biol. Macromol. 2018, 116, 774–785. [Google Scholar] [CrossRef]
- Ebrahimi-Hosseinzadeh, B.; Pedram, M.; Hatamian-Zarmi, A.; Salahshour-Kordestani, S.; Rasti, M.; Mokhtari-Hosseini, Z. B.; Mir-Derikvand, M. In vivo evaluation of gelatin/hyaluronic acid nanofiber as Burn-wound healing and its comparison with ChitoHeal gel. Fibers Polym. 2016, 17, 820–826. [Google Scholar] [CrossRef]
- Ielo, I.; Bauso, L. V.; Laezza, A.; Campione, P.; Fabiano, L.; Pastorello, M.; Marino, A.; Laurita, A.; Pepe, A.; Bochicchio, B.; De Luca, G.; Messina, G. M. L.; Calabrese, G. In Vitro Assessment of Electrospun PVP+AgNPs Scaffolds for Bioactive Medical Use. Int. J. Mol. Sci. 2025, 26, 18. [Google Scholar] [CrossRef] [PubMed]
- Kurakula, M.; Koteswara Rao, G. S. N. Moving polyvinyl pyrrolidone electrospun nanofibers and bioprinted scaffolds toward multidisciplinary biomedical applications. Eur. Polym. J. 2020, 136, 109919. [Google Scholar] [CrossRef]
- Schanté, C. E.; Zuber, G.; Herlin, C.; Vandamme, T. F. Improvement of hyaluronic acid enzymatic stability by the grafting of amino-acids. Carbohydr. Polym. 2012, 87, 2211–2216. [Google Scholar] [CrossRef]
- Schanté, C. E.; Zuber, G.; Herlin, C.; Vandamme, T. F. Chemical modifications of hyaluronic acid for the synthesis of derivatives for a broad range of biomedical applications. Carbohydr. Polym. 2011, 85, 469–489. [Google Scholar] [CrossRef]
- Adhikari, J.; Dasgupta, S.; Das, P.; Gouripriya, D. A.; Barui, A.; Basak, P.; Ghosh, M.; Saha, P. Bilayer regenerated cellulose/quaternized chitosan-hyaluronic acid/collagen electrospun scaffold for potential wound healing applications. Int. J. Biol. Macromol. 2024, 261, 129661. [Google Scholar] [CrossRef]
- Petrova, V. A.; Chernyakov, D. D.; Poshina, D. N.; Gofman, I. V.; Romanov, D. P.; Mishanin, A. I.; Golovkin, A. S.; Skorik, Y. A. Electrospun Bilayer Chitosan/Hyaluronan Material and Its Compatibility with Mesenchymal Stem Cells. Materials 2019, 12. [Google Scholar] [CrossRef]
- Arnal-Pastor, M.; Martínez Ramos, C.; Pérez Garnés, M.; Monleón Pradas, M.; Vallés Lluch, A. Electrospun adherent–antiadherent bilayered membranes based on cross-linked hyaluronic acid for advanced tissue engineering applications. Mat. Sci. Eng. C 2013, 33, 4086–4093. [Google Scholar] [CrossRef]
- Mohan, T.; Gürer, F.; Bračič, D.; Lackner, F.; Nagaraj, C.; Maver, U.; Gradišnik, L.; Finšgar, M.; Kargl, R.; Kleinschek, K. S. Functionalization of Polycaprolactone 3D Scaffolds with Hyaluronic Acid Glycine-Peptide Conjugates and Endothelial Cell Adhesion. Biomacromolecules 2025, 26, 1771–1787. [Google Scholar] [CrossRef]
- Laezza, A.; Pepe, A.; Solimando, N.; Armiento, F.; Oszust, F.; Duca, L.; Bochicchio, B. A Study on Thiol-Michael Addition to Semi-Synthetic Elastin-Hyaluronan Material for Electrospun Scaffolds. Chempluschem 2024, 89, e202300662. [Google Scholar] [CrossRef] [PubMed]
- Laezza, A.; Pepe, A.; Bochicchio, B. Elastin-Hyaluronan Bioconjugate as Bioactive Component in Electrospun Scaffolds. Chem. Eur. J. 2022, 28, e202201959. [Google Scholar] [CrossRef]
- Tan, X.; Jain, E.; Barcellona, M. N.; Morris, E.; Neal, S.; Gupta, M. C.; Buchowski, J. M.; Kelly, M.; Setton, L. A.; Huebsch, N. Integrin and syndecan binding peptide-conjugated alginate hydrogel for modulation of nucleus pulposus cell phenotype. Biomaterials 2021, 277, 121113. [Google Scholar] [CrossRef] [PubMed]
- Sader, J. E.; Chon, J. W. M.; Mulvaney, P. Calibration of rectangular atomic force microscope cantilevers. Rev. Sci. Instrum. 1999, 70, 3967–3969. [Google Scholar] [CrossRef]
- Derjaguin, B. V.; Muller, V. M.; Toporov, Y. P. Effect of contact deformations on the adhesion of particles. J. of Coll. Interface Sci. 1975, 53, 314–326. [Google Scholar] [CrossRef]
- Tüfekci, M.; Durak, S. G.; Pir, İ.; Acar, T. O.; Demirkol, G. T.; Tüfekci, N. Manufacturing, Characterisation and Mechanical Analysis of Polyacrylonitrile Membranes. Polymers-Basel 2020, 12, 2378. [Google Scholar] [CrossRef]
- Bruno, T. J. L.; D.R., Jr. CRC Handbook of Chemistry and Physics, 95th ed ed.; CRC Press: Boca Raton, FL, USA, 2014. [Google Scholar]
- D’Amora, U.; Ronca, A.; Scialla, S.; Soriente, A.; Manini, P.; Phua, J. W.; Ottenheim, C.; Pezzella, A.; Calabrese, G.; Raucci, M. G.; Ambrosio, L. Bioactive Composite Methacrylated Gellan Gum for 3D-Printed Bone Tissue-Engineered Scaffolds. Nanomaterials 2023, 13, 772. [Google Scholar] [CrossRef]
- Szychlinska, M. A.; Calabrese, G.; Ravalli, S.; Parrinello, N. L.; Forte, S.; Castrogiovanni, P.; Pricoco, E.; Imbesi, R.; Castorina, S.; Leonardi, R.; Di Rosa, M.; Musumeci, G. Cycloastragenol as an Exogenous Enhancer of Chondrogenic Differentiation of Human Adipose-Derived Mesenchymal Stem Cells. A Morphological Study. Cells 2020, 9, 347. [Google Scholar] [CrossRef]
- Nestor, G.; Sandström, C. NMR study of hydroxy and amide protons in hyaluronan polymers. Carbohydr. Polym. 2017, 157, 920–928. [Google Scholar] [CrossRef]
- Blundell, C. D.; DeAngelis, P. L.; Almond, A. Hyaluronan: the absence of amide-carboxylate hydrogen bonds and the chain conformation in aqueous solution are incompatible with stable secondary and tertiary structure models. Biochem. J. 2006, 396, 487–498. [Google Scholar] [CrossRef]
- Dodd, R. J.; Blundell, C. D.; Sattelle, B. M.; Enghild, J. J.; Milner, C. M.; Day, A. J. Chemical modification of hyaluronan oligosaccharides differentially modulates hyaluronan-hyaladherin interactions. J. Biol. Chem. 2024, 300, 107668. [Google Scholar] [CrossRef] [PubMed]
- Otto, K. E.; Hesse, S.; Wassermann, T. N.; Rice, C. A.; Suhm, M. A.; Stafforst, T.; Diederichsen, U. Temperature-dependent intensity anomalies in amino acid esters: weak hydrogen bonds in protected glycine, alanine and valine. Phys. Chem. Chem. Phys. 2011, 13, 14119–14130. [Google Scholar] [CrossRef] [PubMed]
- Morgado, P. I.; Aguiar-Ricardo, A.; Correia, I. J. Asymmetric membranes as ideal wound dressings: An overview on production methods, structure, properties and performance relationship. J. Membr. Sci. 2015, 490, 139–151. [Google Scholar] [CrossRef]
- Grimaudo, M. A.; Concheiro, A.; Alvarez-Lorenzo, C. Crosslinked Hyaluronan Electrospun Nanofibers for Ferulic Acid Ocular Delivery. Pharmaceutics 2020, 12. [Google Scholar] [CrossRef]
- Rnjak-Kovacina, J.; Weiss, A. S. Increasing the pore size of electrospun scaffolds. Tissue Eng. Part. B Rev. 2011, 17, 365–372. [Google Scholar] [CrossRef]
- Schwartz, J. B. Log-Normal Distribution of Tablet Pore Diameters. J. Pharm. Sci. 1974, 63, 774–776. [Google Scholar] [CrossRef]
- Ambekar, R. S.; Kandasubramanian, B. Advancements in nanofibers for wound dressing: A review. Eur. Polym. J. 2019, 117, 304–336. [Google Scholar] [CrossRef]
- Saghazadeh, S.; Rinoldi, C.; Schot, M.; Kashaf, S. S.; Sharifi, F.; Jalilian, E.; Nuutila, K.; Giatsidis, G.; Mostafalu, P.; Derakhshandeh, H.; Yue, K.; Swieszkowski, W.; Memic, A.; Tamayol, A.; Khademhosseini, A. Drug delivery systems and materials for wound healing applications. Adv. Drug Deliv. Rev. 2018, 127, 138–166. [Google Scholar] [CrossRef]
- Kitsara, M.; Blanquer, A.; Murillo, G.; Humblot, V.; De Braganca Vieira, S.; Nogues, C.; Ibanez, E.; Esteve, J.; Barrios, L. Permanently hydrophilic, piezoelectric PVDF nanofibrous scaffolds promoting unaided electromechanical stimulation on osteoblasts. Nanoscale 2019, 11, 8906–8917. [Google Scholar] [CrossRef]
- Piccirillo, G.; Feuerer, N.; Carvajal Berrio, D. A.; Layland, S. L.; Reimer Hinderer, S.; Bochicchio, B.; Schenke-Layland, K. Hyaluronic Acid-Functionalized Hybrid Gelatin–Poly-L-Lactide Scaffolds with Tunable Hydrophilicity. Tissue Eng. Part C: Methods 2021, 27, 589–604. [Google Scholar] [CrossRef]
- Di Mola, A.; Landi, M. R.; Massa, A.; D'Amora, U.; Guarino, V. Hyaluronic Acid in Biomedical Fields: New Trends from Chemistry to Biomaterial Applications. Int. J. Mol. Sci. 2022, 23, 14372. [Google Scholar] [CrossRef]
- Lewandowska, K.; Szulc, M. Characterisation of Hyaluronic Acid Blends Modified by Poly(N-Vinylpyrrolidone). Molecules 2021, 26, 5233. [Google Scholar] [CrossRef] [PubMed]
- Burdick, J. A.; Prestwich, G. D. Hyaluronic Acid Hydrogels for Biomedical Applications. Adv. Mater. 2011, 23, H41–H56. [Google Scholar] [CrossRef]
- Drobota, M.; Ursache, S.; Aflori, M. Surface Functionalities of Polymers for Biomaterial Applications. Polymers-Basel 2022, 14, 2307. [Google Scholar] [CrossRef] [PubMed]
- Kim, M.; Cha, C. Modulation of functional pendant chains within poly(ethylene glycol) hydrogels for refined control of protein release. Sci. Rep. 2018, 8, 4315. [Google Scholar] [CrossRef] [PubMed]
- Liang, Y.; Li, L.; Scott, R. A.; Kiick, K. L. 50th Anniversary Perspective: Polymeric Biomaterials: Diverse Functions Enabled by Advances in Macromolecular Chemistry. Macromolecules 2017, 50, 483–502. [Google Scholar] [CrossRef]
- Ní Annaidh, A.; Bruyère, K.; Destrade, M.; Gilchrist, M. D.; Otténio, M. Characterization of the anisotropic mechanical properties of excised human skin. J. Mech. Behav. Biomed. Mater. 2012, 5, 139–148. [Google Scholar] [CrossRef]
- Flynn, C.; Taberner, A.; Nielsen, P. Mechanical characterisation of in vivo human skin using a 3D force-sensitive micro-robot and finite element analysis. Biomech. Model. Mechanobiol. 2011, 10, 27–38. [Google Scholar] [CrossRef]
- Joodaki, H.; Panzer, M. B. Skin mechanical properties and modeling: A review. Proc. Inst. Mech. Eng. H 2018, 232, 323–343. [Google Scholar] [CrossRef]
- Chen, H.; Xue, H.; Zeng, H.; Dai, M.; Tang, C.; Liu, L. 3D printed scaffolds based on hyaluronic acid bioinks for tissue engineering: a review. Biomater. Res. 2023, 27, 137. [Google Scholar] [CrossRef]
- Humaira; Raza Bukhari, S. A.; Shakir, H. A.; Khan, M.; Saeed, S.; Ahmad, I.; Muzammil, K.; Franco, M.; Irfan, M.; Li, K. Hyaluronic acid-based nanofibers: Electrospun synthesis and their medical applications; recent developments and future perspective. Front. Chem. 2022, 10, 1092123. [Google Scholar] [CrossRef]
- Petrova, V. A.; Golovkin, A. S.; Mishanin, A. I.; Romanov, D. P.; Chernyakov, D. D.; Poshina, D. N.; Skorik, Y. A. Cytocompatibility of Bilayer Scaffolds Electrospun from Chitosan/Alginate-Chitin Nanowhiskers. Biomedicines 2020, 8, 305. [Google Scholar] [CrossRef]
- Niu, Y.; Galluzzi, M. Hyaluronic Acid/Collagen Nanofiber Tubular Scaffolds Support Endothelial Cell Proliferation, Phenotypic Shape and Endothelialization. Nanomaterials (Basel) 2021, 11, 2334. [Google Scholar] [CrossRef]
- Mohammadalizadeh, Z.; Bahremandi-Toloue, E.; Karbasi, S. Synthetic-based blended electrospun scaffolds in tissue engineering applications. J. Mater. Sci. 2022, 57, 4020–4079. [Google Scholar] [CrossRef]
- Niemczyk-Soczynska, B.; Gradys, A.; Sajkiewicz, P. Hydrophilic Surface Functionalization of Electrospun Nanofibrous Scaffolds in Tissue Engineering. Polymers-Basel 2020, 12, 2636. [Google Scholar] [CrossRef]
- Ruccolo, L.; Evangelista, A.; Benazzo, M.; Conti, B.; Pisani, S. Electrospun Bio-Scaffolds for Mesenchymal Stem Cell-Mediated Neural Differentiation: Systematic Review of Advances and Future Directions. Int. J. Mol. Sci. 2025, 26, 9528. [Google Scholar] [CrossRef]
- El-Ghoul, Y.; Altuwayjiri, A. S.; Alharbi, G. A. Synthesis and characterization of new electrospun medical scaffold-based modified cellulose nanofiber and bioactive natural propolis for potential wound dressing applications. RSC Adv. 2024, 14, 26183–26197. [Google Scholar] [CrossRef] [PubMed]
- Lopérgolo, L. C.; Lugão, A. B.; Catalani, L. H. Direct UV photocrosslinking of poly(N-vinyl-2-pyrrolidone) (PVP) to produce hydrogels. Polymer 2003, 44, 6217–6222. [Google Scholar] [CrossRef]
- Sionkowska, A.; Wisniewski, M.; Skopinska, J.; Vicini, S.; Marsano, E. The influence of UV irradiation on the mechanical properties of chitosan/poly(vinyl pyrrolidone) blends. Polym. Degr. Stab. 2005, 88, 261–267. [Google Scholar] [CrossRef]











| Hydrophobic layer | ||||||
| Scaffold |
PDLLA (% w/V) |
HFP (mL) |
Final volume (mL) |
|||
| PDLLA | 12.0 | 2.0 | 2.0 | |||
| Hydrophilic layer | ||||||
| Scaffold |
PVP (% w/V) |
HA (% w/w) |
HA-Gly-OH (% w/w) |
H2O (mL) |
EtOH (mL) |
Final volume (mL) |
| PVP | 10.0 | - | - | 0.4 | 1.6 | 2.0 |
| PVP-HA 1% | 10.0 | 1.0 | - | 0.4 | 1.6 | 2.0 |
| PVP-HA 3% | 10.0 | 3.0 | - | 0.4 | 1.6 | 2.0 |
| PVP-HA-Gly-OH 1% | 10.0 | - | 1.0 | 0.4 | 1.6 | 2.0 |
| PVP-HA-Gly-OH 3% | 10.0 | 3.0 | 0.4 | 1.6 | 2.0 | |
| Scaffold | Diameter (μm) | Porosity (%) | Pore area(μm2) |
|---|---|---|---|
| PDLLA | 1.23 ± 0.64 | 75 ± 4 | 14.42 ± 3.87 |
| PVP | 1.56 ± 0.79 | 61 ± 9 | 37.6 ± 9.90 |
| PVP-HA 1% | 1.31 ± 0.51 | 69 ± 4 | 21.68 ± 4.86 |
| PVP-HA 3% | 0.95 ± 0.24 | 66 ± 9 | 7.53 ± 3.86 |
| PVP-HA-Gly-OH 1% | 1.44 ± 0.46 | 65 ± 5 | 11.31 ± 4.26 |
| PVP-HA-Gly-OH 3% | 0.79 ± 0.18 | 77 ± 1 | 30.19 ± 3.56 |
| Scaffold |
lPDLLA (μm) |
lPVP (μm) |
lPVP-HA 1% (μm) |
lPVP-HA 3% (μm) |
lPVP-HA-Gly-OH 1% (μm) | lPVP-HA-Gly-OH 3% (μm) |
|---|---|---|---|---|---|---|
| PDLLA/PVP | 241.15 ± 8.51 |
312.26 ± 15.29 |
- | - | - | - |
| PDLLA/PVP-HA 1% | 420.29 ± 15.04 | - | 309.57 ± 31.10 | - | - | - |
| PDLLA/PVP-HA 3% | 526.14 ± 10.59 | - | - | 341.57 ± 32.91 |
- | - |
| PDLLA/PVP-HA-Gly-OH 1% | 168.57 ± 5.91 |
- | - | - | 222.57 ± 13.59 |
- |
| PDLLA/PVP-HA-Gly-OH 3% | 217.86 ± 6.77 |
- | - | - | 85.04 ± 5.18 |
| Scaffold | Sol-fraction (%) | Gel fraction (%) |
|---|---|---|
| PVP | 42 ± 16 | 58 ± 16 |
| PVP-HA 1% | 57 ± 5 | 43 ± 5 |
| PVP-HA-Gly-OH 1% | 30 ± 5 | 71 ± 5 |
Disclaimer/Publisher’s Note: The statements, opinions and data contained in all publications are solely those of the individual author(s) and contributor(s) and not of MDPI and/or the editor(s). MDPI and/or the editor(s) disclaim responsibility for any injury to people or property resulting from any ideas, methods, instructions or products referred to in the content. |
© 2026 by the authors. Licensee MDPI, Basel, Switzerland. This article is an open access article distributed under the terms and conditions of the Creative Commons Attribution (CC BY) license (http://creativecommons.org/licenses/by/4.0/).
