Preprint
Review

This version is not peer-reviewed.

A Semi-Systematic Global Review to Understand the Key Components Essential for Advancing the Actual Design, Planning and Implementation of Blue–Green Infrastructure in Indian Cities

A peer-reviewed version of this preprint was published in:
Land 2025, 14(11), 2287. https://doi.org/10.3390/land14112287

Submitted:

03 July 2025

Posted:

03 July 2025

You are already at the latest version

Abstract
Cities in developing nations like India have undergone unregulated growth and uneven urbanization, fostering economic expansion while exacerbating spatial, social, and economic inequalities. This urbanization has significantly degraded water bodies and green spaces, affecting human health and well-being. Blue-Green Infrastructure (BGI) emerges as a promising solution to address environmental challenges, stormwater management, social well-being, and urban heat mitigation. However, developing countries lack adequate knowledge on its design, planning, and implementation under specific local conditions. This study employs a semi-systematic literature review to identify essential components for BGI implementation in developing nations, with contextual references to India. Among 797 studies reviewed in total, only 26% focused on developing countries like China, with none addressing India specifically. Further, this review has discussed global city and country cases across the global-south and global-north to attain pertinent information from its empirical applications worldwide. In total 32 country cases have been analysed globally comprising an even larger number of city cases respectively. The findings highlight eight thematic areas critical for BGI implementation: spatial configuration, plans and policies, best practices, BGI features and components, stakeholder perceptions, barriers to adoption, local government capacity, and scientific research. Each thematic area is analysed in relation to stormwater management functions. The study emphasizes that these areas can guide urban planners and researchers in designing effective BGI strategies tailored to specific contexts. By bridging the knowledge gap in India’s development journey, this research underscores the importance of integrating BGI into urban planning to achieve sustainable development goals and address the adverse effects of rapid urbanization.
Keywords: 
;  ;  ;  ;  ;  

1. Introduction and Rationale

The awareness of urbanization processes has now become a key aspect of citizen knowledge globally in the past two decades, particularly in developing countries. According to the UN Habitat, “global city population share doubled from 25 percent in 1950 to 50 percent in 2020 and is expected to gradually rise to over 58 percent in the next 50 years” UN Habitat (2022). Low income and lower middle-income countries will experience the greatest growth in the city land area. Urbanization is driven by two processes: (i) natural growth in the city population through increases in birth rates and (ii) migration activities from rural to urban areas, as noted by Sadashivam & Tabassu (2016). In developing countries, urbanization was mostly not supported by urban planning and development policies. As reviewed by Selod & Shilpi, (2021), “rural to urban migration is driven by several factors such as from seeking better opportunities to forced migration from one’s native region due to climate shocks, conflicts and wars. While the returns of migration are large, it is also equally challenged by the costs.” Their paper highlighted that “migration barriers, particularly as a result of policy failures, prevent labor market adjustment and hinder structural transformation, potentially leading to serious negative economic consequences in terms of growth and aggregate welfare for migrants, leading to undesirable outcomes”. As a result, cities in developing countries have experienced serious impacts from dysfunctional urbanization and faulty urban planning.
In India, as discussed by Jayasawal & Saha (2014) after the enactment of economic liberation policies in 1990, class-I cities such as Mumbai, Delhi, Kolkata and Chennai experienced problems with housing, the expansion of slums, poor quality transportation, a lack of city-wide water supply and sanitation, water and air pollution and inadequate provision of social infrastructure such as schools and hospitals to absorb rural migrants. Additionally, they have undergone rapid real estate development, resulting in the growth of high-rise residential complexes alongside the formation of informal settlements, a lack of access to basic urban services and social polarization. According to the 2011 census, “63% of the towns in India reported the prevalence of settlements characterized as slums”, as summarized by Shaban et al. (2020). Additionally, Sun et al. (2020) examined the uneven trends of urbanization at different economic levels by analyzing 841 large cities globally. They reported that while China experienced the largest increase in the built-up area (BUA) at 47.5% in the period from 2001 to 2018, India ranked fourth globally at 3.6% and ranked tenth in terms of the green BUA at 1.3%, whereas China had the highest increase at 32%.
Currently, developing countries such as India find themselves in a crucial time in their development journey where urbanization presents both opportunities and challenges together. “While urbanization has contributed to improving standard of living for many by offering employment opportunities and better public services, it has not taken place in a socially and environmentally inclusive manner” (United Nations Conference on Trade and Development, 2015). For example, India has a large number of growing cities that are experiencing intense economic activity, uneven urbanization and a lack of urban planning, resulting in an unequal distribution of basic urban services. Indian cities contribute substantially to the overall economic growth rate of the country but face serious challenges of long-term sustainability in urban areas due to deficiencies in urban planning. To sustain economic activity and satisfy the needs of urbanization, the availability and quality of basic urban services, planning mechanisms and assets will play a crucial role in determining the long-term sustainability of Indian cities and, likewise, cities in other developing countries across the globe.
In recent years, numerous scientific studies, such as that of Venkataramanan et al. (2019), have stressed the linkages among urban environments, human health and well-being. Bai et al. (2012) noted the following: “Globally, the health status in urban areas is better than that in rural areas due to higher quality of life and better health services. However, recent studies have shown that the health benefits of urban areas can be eroded due to poor urban environments.” Riveros et al. (2021) added that “Urban greenery, green areas and blue-green spaces are important elements of the urban infrastructure that contribute to the well-being of city residents. Urbanization, development pressures and poor urban planning can affect urban environments and human well-being. The urban planning profession is thus faced with a challenging situation in addressing such needs.” Turaga et al. (2019) further indicated that “Declining environmental quality among other factors has raised concerns in Indian cities in relation to loss of green cover over the past several years. Increasing demands of urbanization have highlighted the severe need for housing, public infrastructure, industry and commercial space resulting in decline of green and open spaces and degradation of water bodies. Urban green space planning and accompanied land allocation has been marred with challenges in the country where land management and urban planning decisions are dictated by economic interests and related political motivations.”
A. Das & M. Das (2023) explored the relationship between quality of living (QLI) and green spaces (GSs) in Indian cities. The authors asserted that in developing countries, the deterioration of the environment happens in parallel with urban, infrastructure and socioeconomic development and prosperity. Given this, they reported that most urban centers around the Kolkata Metropolitan Region (KMR) present high to very high QLI in comparison with low to very low GSs, highlighting the low prevalence of green infrastructure (GI) features in terms of GSs in major Indian cities. This is indicative of the fact that the provision of GSs is an indicator of better socioeconomic development, which, in Indian cities, is lacking despite improvements in the socioeconomic status of citizens. “The Government of India in the past decade has formulated various policies, frameworks and country development plans for the provision and upgradation of green open spaces which has been followed by civil society and citizen activism but hindered by institutional bottlenecks,” as noted by Mankikar (2020)
The blue–green infrastructure (BGI) has been strongly advocated within the scientific and urban development community globally as a crucial mechanism to address the challenges associated with stormwater management, ecological protection and urban heat mitigation. However, according to Araaf & Hoferdy (2018), developing countries have little strategic and technical expertise in the planning and implementation of such infrastructure. To understand the prevailing knowledge across science globally, the author conducted a preliminary Scopus document search on “Reviews” and “Green Infrastructure”, which provided extant information on the nature of the scientific literature on BGI. By evaluating the content of the top 40 articles, a wide range of information was obtained on the nature of reviews undertaken on BGI. Twelve percent of the reviews focused on obtaining information on heat-related aspects of GI, such as building thermally resilient communities and enhancing the thermal comfort and cooling effects of urban green infrastructure (UGI), whereas 25% of the reviews focused on various dimensions of water infrastructure in association with GI, such as engineering approaches, local water security enhancement, planning principles of GI to improve stormwater management, water quality functions of GI, stormwater GI modeling and GI functions in flood management. Additionally, 12% of the studies reviewed stakeholders, governance, implementation barriers, the roles of nongovernmental actors and asset management perspectives. Ten percent of the reviews discussed numeric and quantitative aspects of GI, such as the simulation and quantification of its benefits, whereas only 5% discussed GI and its impact on human health, well-being and stress resilience. Finally, the remaining 33% of studies comprised a variety of reviews on topics such as the types of GI, performance and lifecycle perspectives, ecosystem services (ES) provided by GI and the multifunctional nature of GI. This background reveals that various aspects associated with GI have been extensively and independently covered as part of reviews in the global scientific literature.
From the perspective of the South Asian region, Gupta & De (2024), in their review article, which was a systematic study of urban BGI in the South Asian region, highlighted that while there is significant variation in the distribution of BGI across countries in South Asia, a greater amount of research has been emerging from India than from other countries in the region. However, most of the articles focused on the aspects of GSs in comparison to the aspects of BGI. Additionally, they highlighted the lack of knowledge on governance challenges in the actual implementation and design of a BGI network and argued that the holistic methodology used to implement BGI is limited. They also emphasized the need for an integrated framework for combining BGI with existing gray infrastructure planning.
Given this background, there is a need to comprehensively collate and integrate knowledge that is essential for planning, designing and implementing BGI in Indian cities by reviewing and bringing together various types of information that are prevalent independently across the scientific literature. At the same time, attaining knowledge across varied geographic contexts and its association with the dimensions of gray stormwater infrastructure can provide practical information on challenges, solutions and already applied approaches, particularly in developed countries, which can be useful for the planning of BGI in developing countries such as India. To develop appropriate policy prescriptions, there is a need to attain an integrated understanding encompassing technical knowledge in terms of BGI planning and design as well as governance mechanisms to foster effective implementation. In particular, metropolitan Indian cities in the past decade have been characterized by a growing provision of GSs in private developments in comparison to the lack of adequate and quality public GSs. Additionally, socioeconomic disparities such as housing types, i.e., residential buildings vs. informal settlements, and diverse socioeconomic statuses hinder equitable access to GSs across city residents. To address such contextual challenges, attaining a comprehensive understanding of the design, planning and implementation of BGI is necessary to meet the demands of urbanization and quality BGI for all Indian cities.

2. Research Question

On the basis of a global literature review, this article aims to answer the following question: what are the key aspects essential to advance planning, design and implementation of blue–green infrastructure (BGI) in the urban areas of developing countries such as India?

Objectives

The objectives of this study are (i) to synthesize and analyze the body of research on the topic of BGI planning and implementation by articulating the key concepts and knowledge on the topic; (ii) to gain valuable insights into the topic in relation to specific variables associated with BGI in terms of spatial and urban planning, its role in water management, challenges in governance and institutional aspects and knowledge on stakeholder perceptions; (iii) to extract relevant data, knowledge and information from a wide range of country and city cases globally on the topic; and (iv) to highlight the knowledge and research gaps on the topic for practitioners and researchers in the field alike.

3. Methods

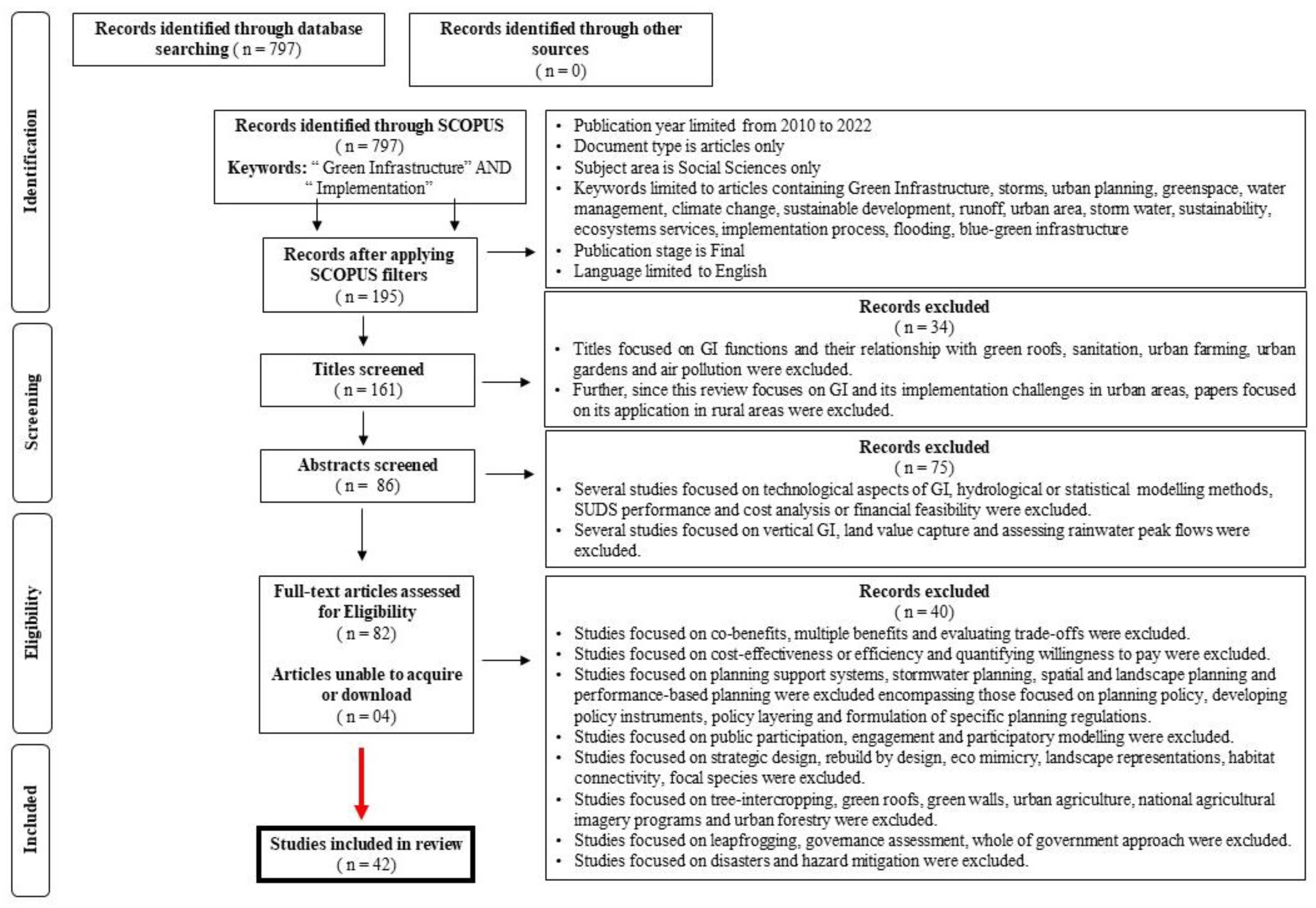
The literature review applied the Preferred Reporting Items for Systematic Reviews and Meta-Analysis (PRISMA) statement (Page et al., 2021) to select, appraise and report the findings from the scientific literature. A keyword-based search was undertaken to select relevant scientific articles, leading to the selection of a final set of articles to be included in the literature review on the basis of a four-step framework: identification, screening, eligibility and inclusion.

3.1. Information Sources

The Scopus database was used to select articles by employing a keyword search. Two keywords, “green infrastructure (GI)” and “implementation,” were searched in the Scopus database. The initial number of records identified was 797. No records were found from sources other than the Scopus database.
A total of 195 records were selected after basic criteria for article selection were applied: (i) the publication year was limited to those articles published from 2010 to 2022; (ii) the document types were articles only; (iii) the subject area was social sciences only; (iv) keywords were limited to articles related to GI, storms, urban planning, green spaces, water management, climate change, sustainable development, run-off, urban areas, stormwater, sustainability, ES, and the implementation process and BGI; (v) the publication stage was selected to be final; and (vi) the language was limited to English. The numbers of research articles complying with these criteria and published from 2011 to 2022 are shown in Figure 1.
In accordance with the objectives of this review, specific keyword criteria were employed to exclude articles in the screening process that were not aligned with the aims, objectives and interests of this review. An initial title screening was undertaken where 161 articles were included and 34 were excluded. Titles focused on GI functions and their relationships with green roofs, sanitation, urban farming, urban gardens, and air pollution were excluded.
Furthermore, an abstract screening was performed; 86 articles were included, and 75 were excluded. Several studies were focused on the technological aspects of GI. Studies focused on hydrological or statistical modeling, SUDS performance, cost analyses or financial feasibility were excluded. In addition, several articles that focused on vertical GI, land value capture and the assessment of rainwater peak flows were excluded.

3.2. Eligibility Criteria

On the basis of the results of the abstract screening, 86 full-text articles were assessed for final eligibility and inclusion in the literature review. Ultimately, as the full text of four articles were not available for downloading, 82 full-text articles were finally assessed. The aims and objectives of this review are focused on attaining knowledge of GI in relation to spatial and social science with respect to aspects associated with stormwater management, governance and institutional factors to foster the actual planning, design and implementation of BGI. Studies focusing on the issues listed below were excluded:
  • Cobenefits, multiple benefits and evaluating trade-offs;
  • Cost-effectiveness or efficiency and quantifying willingness to pay;
  • Planning support systems, stormwater planning, spatial and landscape planning and performance-based planning were excluded, encompassing those focused on planning policy, developing policy instruments, policy layering and the formulation of specific planning regulations;
  • Public participation, engagement and participatory modeling;
  • Strategic design, rebuild by design, eco-mimicry, landscape representations, habitat connectivity, and focal species;
  • Tree intercropping, green roofs, green walls, urban agriculture, national agricultural imagery programs and urban forestry;
  • Leapfrogging, governance assessment, and a whole of government approach; and
  • Disaster and hazard mitigation.
This review did not obtain information on aspects such as the benefits of GI, its efficacy, willingness to pay (WTP), performance evaluations or performance-based planning, and green roofs, as outlined below. This review obtained information from country case examples and the scientific literature with practical relevance to developing countries on the basis of the local contextual knowledge of the lead author of this review. Similarly, while most studies on planning support systems and policy instruments were included, some were excluded because of their overall irrelevance to the objectives of this study.
Ultimately, 42 studies were selected for this literature review. Figure 2 provides an overview of the selection process.

4. Search Results

4.1. Regional Reference

Knowledge and in-depth understanding from international case examples and the global scientific literature are needed to incorporate BGI into urban life and reap its benefits in developing countries. In line with the aims and objectives of this review outlined above, this section will identify the nature of the research on GI planning and implementation globally, sort it and organize it in terms of the key topics and conclusions. The authors have organized the findings based on the number of papers discussing a certain topic and the aspects these papers address.
A majority of the reviewed studies focused on developed countries, with limited research from developing countries. A total of 35 out of the 42 studies were case studies. Twenty-two studies focused on developed countries, 11 studies focused on developing countries, and two studies focused on multiple cities. In terms of region-wide distribution, 12 studies focused on cases from North America, 10 from Europe, 5 from Africa, 3 from South America, one from Australia, 2 from multiple regions, 2 from Asia, primarily China, and none from South Asia, including India (see Map 1). In contrast to the number of reviewed articles mentioned above, Figure 3 shows the number of documents after applying the SCOPUS filters, which exhibited a rather similar relative distribution.

4.2. Content Classification

In addition to the data extracted in terms of the case study country, region, global regional focus and case study application status, this review classified the content of the studies into thematic topics. While each study comprised specific subject matter content, the author grouped the studies into specific thematic areas to analyze and gain an in-depth understanding of the key aspects associated with GI planning and implementation. According to the topics of the papers, eight thematic areas emerged, which will be discussed and analyzed below: (i) spatial configuration; (ii) plans and policies; (iii) best practices; (iv) BGI features and components; (v) stakeholder perceptions, knowledge and attitudes; (vi) identified barriers to GI; (vii) local government capacity, roles and partnerships; and (viii) the extent of scientific research. Each of the 42 studies was assigned key words on the basis of their overall content. Papers with common objectives and content were grouped under a single thematic area. For example, the thematic area “spatial configuration” comprised studies covering content such as geospatial analysis, BGI placement and spatial distribution strategies, GIS/remote sensing-based studies, assessments of the quantity, quality and diversity of GI, green space quantification, and spatial differences and analyses.
Additionally, a cluster analysis was conducted to develop word clouds to test whether the articles that were grouped together into specific thematic areas contained the relevant keywords of the intended thematic area (see Figure 4).
The articles were characterized by eight different keywords. Each keyword refers to a varying number of articles. To extract the most significant words for each keyword, we employ the natural language processing (NLP) method, Tf-IDF (https://sckit learn.org/stable/modules/feature_extraction.html), in the Python programming language, the steps for which are given below:
(1)
The entire text from papers for each keyword was extracted and combined to form a “document”.
(2)
Commonly occurring words such as “a”, “the”, “and”, etc., were defined as “stop words”. These “stop words” as well as numerals and symbols were removed from the document.
(3)
Different grammatical forms of the same root word, e.g., walk, walking, walked, were combined into a single word, i.e., “walk”. This process is known as “tokenization”.
The documents for each of the eight keywords then formed a “corpus”.
(4)
TF-IDF is composed of two terms:
a.
Term frequency (TF) measures how frequently a word appears in each document. Mathematically, TF = (no. of times a given word appears in a document)/(total no. of words in a document)
b.
Inverse document frequency (IDF) measures how rarely a word appears in the entire corpus mathematically, IDF = log ((no. of documents in the corpus)/(no. of documents containing a given word))
The TF-IDF was calculated as a product of the two terms, TF and IDF, for each word in each document. Mathematically, the formula is as follows: TFIDF = TF * IDF.
(5)
All the words in a given document were then sorted according to their descending TF-IDF values, and the top 100 words were selected.
(6)
From these lists of 100 words for each document, some words, such as “urban”, “green”, “city”, “road”, etc., were removed. The remaining words were used to create a word cloud for each of the eight keywords, as shown in the figure below.
The preparation of the word clouds was an iterative exercise to test the kind of words that emerge for each of the eight thematic areas and explore whether the words that emerge align with the proposed interest of each of the eight thematic areas. We found that the keywords that emerged highlight the goals of each of the eight thematic areas rather well.

4.3. Definition of GI

No single definition of GI emerged from this review, although most of the papers outlined a definition and the interpretation and concept of its application in the urban context. Therefore, this section provides a brief understanding of the concept and terminologies of BGI that are relevant to this study and that are useful for discussing each of the eight overarching thematic areas below; hence, this section is placed before we review each of the thematic areas.
Matsler et al. (2021) comprehensively discussed the differences in the understanding of the GI concept and its definitions and terminologies that impact its planning and appropriate implementation to achieve the desired results of multifunctionality. They argued that the differences in definitions and metrics across contexts can impact implementation efforts and the outcomes of GI, highlighting the various manifestations of GI. Developing countries such as India, which are at the crucial stage of upgrading their city infrastructures, require a clear understanding of the differences in the understanding and implementation of GI concepts to formulate appropriate, integrated, contextual and holistic GI solutions in line with prevailing urban development policies and projects in their cities. GI has been found to cut across three overarching ideas: (i) the concept of green space planning, (ii) the concept of water/stormwater management, and (iii) the concept of urban ecology. The differences in the GI concept can impact its planning, implementation and, ultimately, the desired outcomes. Hence, understanding the various GI-related terminologies is crucial. Similarly, Xu et al. (2018) defined the differences in the understanding of GI across applied variables, such as a stormwater management approach with many economic and human health benefits, including flood mitigation, erosion control, and improved surface and groundwater quality, to highlight the multifunctional characteristics of GI.
As part of this review, only eight studies defined the concept of GI. The understanding of GI is divided into its conceptual or functional focus and its technical application in urban planning. The two overarching definitions that have emerged are (i) “actions to protect, sustainably manage and restore natural or modified ecosystems that address societal challenges by providing human well-being and biodiversity benefits” (Neumann & Hack, 2019) and (ii) an “interconnected network of landscape components, both natural and designed open, green spaces and water bodies designed to manage biodiversity and enhance ecosystem services” (Deely et al., 2020). This review largely uses the terms GI and BGI in the various sections according to the content analyzed, clarifying the specific terminologies used in each section. However, the broader conceptual focus of its definition is based on the two definitions mentioned above. Starting with spatial configuration, the following sections will review and discuss each of the thematic areas.

5. Thematic Areas

5.1. Spatial Configuration

In total, six studies focused on aspects associated with the spatial analysis and configuration of GI in urban areas, applying a case study approach. Four of them were from developed countries: one focused on cities in the United States (US), another focused-on Paris, one focused on the Norwegian context, and the last focused on the Swiss context. The remaining two studies were from cities in developing countries: one from San Jose in Costa Rica and the other from Mexico City. The overall analysis of studies in this section revealed common themes related to spatial configuration and analysis as key attributes for the development and implementation of GI, with a focus on the assessment and identification of the location; the diversity of the GI features and typologies; their placement, design and distribution; the quantity, quality and specific geometries; and a methodology for classifying and identifying urban surface parameters. The discussion in this section refers to the terminologies and concepts of GI, such as urban green space (UGS) in Liu et al., (2022), urban green infrastructure (UGI) in Fluhrer et al., (2021) and the contribution of GI to foster urban ecosystem services (UES) in Calderón-Contreras & Quiroz-Rosas, (2017).
This section commences with the overall understanding that spatial information is key to attaining varied knowledge related to GI planning. The authors distinguish the role of spatial science into information assessment, planning approaches, urban infrastructure design, and ideation. Thus, it is necessary to attain a global perspective on the knowledge and approaches already implemented.
From the viewpoint of developing countries, Fluhrer et al. (2021) argued that UGI has been gaining rapid uptake and promotion in the Global North, whereas in the Global South, its promotion and implementation are substantially more limited. They emphasized that given the contexts in the Global South in relation to infrastructure development and informal settlements, the demands and constraints differ. Given this, it is necessary to specifically understand such conditions and limitations for the development of UGI in the Global South. Additionally, Calderón-Contreras & Quiroz-Rosas (2017) argued that the systemic conditions and complexities of cities transformed greatly from 1990 to 2010. They highlighted that two challenges have emerged: (i) a tension between urban expansion and conservation and (ii) the need to reconnect cities with their natural inhabitants and systems that support them. Thus, they argued that GI can support a decrease in the urban footprint, reduce reliance on externally produced services and enhance the ESs that are locally produced. Owing to this background, both authors have evaluated the planning and implementation potential of UGI in the context of cities in developing countries, i.e., San Jose, Costa Rica and Mexico City, to gain an understanding of the location, placement, distribution, quantity and quality of GI. The efforts made, challenges faced and approaches undertaken in developed countries can help countries such as India obtain information on how to spatially plan BGI. Fluhrer et al. (2021) noted that “in developing countries, governments and public authorities have not yet adopted nature-based solutions.” They argued that in most cases, urban development has occurred unplanned, resulting in problems associated with poor drainage, lack of wastewater treatment and green open spaces.
The potential multifunctionality of UGI has been proven in many U.S. and European cities. In contrast, studies that address the physical limitations of UGI development and potential multifunctionality in developing countries are scarce. At the same time, UGI can play a crucial role in stormwater management; hence, its specific design, geometry and spatial distribution are important factors in achieving multifunctionality and thereby improving residential areas. Fluhrer et al. (2021) proposed a methodology to achieve multifunctionality through a specific UGI placement strategy and used it in a study of an urban residential setting in San Jose, Costa Rica. They investigated the multifunctional design criteria and the availability of space and spatial possibilities for varied UGI features to determine the placement, spatial distribution and geometry. The methodology was developed to maintain the multifunctional dimensions based on hydrological, ecological and social criteria for run-off control, biodiversity enhancement and accessibility, with each development leading to improvements in the respective areas. To achieve such objectives, strategies to integrate the whole stormwater management system as well as decentralization with runoff infiltration were pursued for the hydrological dimension through indicators such as the storage capacity and potential run-off reduction percentage. For the ecological dimension, approaches to connecting green spaces, creating larger ecological networks, and increasing the ecological value of green spaces were pursued by increasing the green space percentage and the lengths of roadside greenery and creating new habitat types. For the social dimension, UGI was implemented to reduce traffic and increase walkability and the physical connection between green spaces by changing the lengths of road types and converting them to greener strips. Thus, using this methodology, Fluhrer et al. (2021) asserted that such a methodology can help local-level planners and decision-makers undertake UGI implementation at the neighborhood scale. Understanding local preconditions, multifunctional benefits and the development of multicriteria tools can aid in the selection of appropriate measures. However, they argued that to foster multifunctionality, there is a need to develop UGI guidelines for respective data situations for cities in developing countries. Such guidelines are currently applied mostly in developed countries. They concluded that although engineered and spatial solutions could allow UGI to address many environmental and social challenges in the Global South, there is a need for local responsibility, involvement of the population, social acceptance, the creation of local knowledge and an available budget for successful UGI planning and implementation. This understanding can contribute to making UGI an indispensable part of spatial and territorial planning.
Similarly, Calderón-Contreras & Quiroz-Rosas (2017) used Mexico City as a case study to understand the quantity, quality and diversity aspects of GI that contribute to the production of urban ecosystem services (UESs) to increase urban resilience. They classified the different settings of GI as service providing units (SPUs) and identify their provision of UESs in terms of regulating, provisioning and cultural services using remote sensing techniques. Their study revealed that the majority of GI was of low quality, hindering the provision of the UESs required for building city resilience. They concluded that the quantity of GI must be accompanied by functionality in terms of current and future GI. They found that although GI is evenly distributed, quality remains an issue. To achieve the goals of improving the efficient regulation and provision of culturally relevant ESs for the urban population, it will be necessary to reduce the pressure of urban development and population growth over SPUs.
The Mexican case is focused on assessing the existing condition of GI by examining the quantity, quality and functionality to improve the performance of GI in terms of SPUs for urban areas. In the case of Costa Rica, multifunctional design criteria have been assessed to plan and determine the placement, spatial distribution and geometry of UGI. It is necessary that such research be replicated in other developing countries, such as India, where such assessments in terms of evaluating existing UGI and the planning, design and placement of future UGI are essential for attaining context-specific understanding.
Xu et al. (2018) stressed the importance of the green stormwater inventory (GSI) for analyzing the status of GSI implementation and identifying gaps for future planning, with a focus on location identification and underrepresented GSI types. They stated that “GSI refers to a range of green stormwater infrastructure such as rain barrels/cisterns, bioretention cells, rain gardens, dry/wet gardens, dry/wet ponds, constructed wetlands, infiltration basins, infiltration trenches, permeable pavements and similar such applicative assets for BGI”. The authors highlighted the project-based tendencies of GSI implementation as opposed to a system-level analysis for simply mitigating local stormwater run-off; they also noted the lack of performance improvement in the entire stormwater network at the watershed scale, emphasizing the importance of GSI to facilitate system-level analyses. On mapping 89 GSI features in the study areas in Tampa, Florida, the authors found that most GSI is defined as ‘green space’, with no consideration of its unique features. Additionally, they reported that in most cases where gray infrastructure was used primarily for stormwater management, less flooding was found in areas that implemented GSI. GSI has not been primarily linked to flood reduction, but a combination of factors such as the characteristics of the drainage system, the interest of people in reporting issues and GSI together contribute to effective flood mitigation.
In contrast, with the aim of highlighting the importance of modeling tools in quantifying, mapping and exploring the impacts of possible land-use decisions, Liu et al. (2022) highlighted that ES modeling tools support the conversion of UGS data into accessible and actionable information by identifying the placement, quantity and typology of UGSs that should be developed for the implementation of UGS policies. They developed an easy-to-use software tool with flexible data requirements that assesses recreational UGS supply and demand. This study demonstrated the incorporation of recreational services in UGS planning on the basis of a case study in Paris. Similarly, Thiis et al. (2018) formulated a methodology to classify urban surface parameters crucial for understanding and simulating urban flooding. They conducted an aerial survey at the Norwegian University of Life Sciences in As, Norway, to determine various types of surface cover, such as asphalt, concrete, gravel, vegetation and water. They applied various spatial techniques to determine the surface parameters and drainage attributes crucial to improving simulations of urban flooding.
For local governments and key stakeholders in developing countries, a combination of the abovementioned approaches and methods must be adopted in the planning and implementation of BGI. The case examples from developed countries cited above provide guidance for developing countries. The creation of ES modeling tools supports the attainment of diverse empirical information on UGS data, and spatial study approaches, such as assessing urban surface parameters, serve as examples that can be carried out in any developing city context to design, plan and implement BGI. Collaboratively or singularly, local governments, universities and research institutes can steer such projects. This, combined with knowledge of the GSI inventory and its potential application and integration within existing stormwater, ecological and drainage networks in local contexts, as discussed by Xu et al. (2018), can serve as foundational frameworks for spatial planning and implementing BGI.
Eggimann (2022) discussed innovative approaches such as potential superblocks as a neighborhood transformation strategy with the aim of transforming street space into UGSs. “A superblock model was introduced in the 2000s in Barcelona comprising four road junctions in a grid of nine apartment blocks. The model is suitable for urban areas that have a grid-like system with adequate population densities equal to Barcelona. The superblocks comprise conditions for sustainable mobility such as basic roads, vehicular speed limits, prioritizing people and cyclists and green space provisions” (Nieuwenhuijsen et al., 2024). Eggimann (2022) highlighted that while the original idea of superblocks was to address urban mobility, the revision of adding green corridors and improving urban biodiversity has been included in their repeated implementation. Eggimann (2022) evaluated the superblocks in nine major Swiss cities and quantified all potential superblocks to evaluate the overall UGS quantity. His analysis revealed distinct differences in superblock opportunities and UGSs between different cities and opportunities for expanding UGSs. He concluded that nine Swiss cities had between 3% and 18% of the current street network potentially suitable for superblock implementation for the creation of UGSs. The characteristics of urban areas, neighborhood settings and urban densities in developing countries such as India are different from those in the European cities of Switzerland and Spain; however, the knowledge attained from approaches and techniques such as those applied for superblocks can be contextually ideated for cities in India. Additionally, applying such techniques to obtain contextual and spatial information on the potential for UGS planning along street networks and neighborhood scales can be explored to improve UGSs.

5.2. Plans and Policies

In total, eight studies focused on aspects of local-level city-wide plans and policies covering thematic areas of plan quality evaluation, local-level plan assessments, policy evaluations, document analysis/interviews and discussions, and stakeholder mapping. All included documentation and investigation in a case study context. Five of these studies provided information from developed countries: three from the US, including two cases from coastal Texas, and the remaining two were from Stockholm city in Sweden and Poznan city in Poland. Two other studies documented scenarios from developing countries focused on cases from Costa Rica and Addis Ababa, with the latter comprising China.
Key studies documenting cases from Costa Rica, coastal Texas and Poznan emphasized the evaluation of local-level comprehensive plans as crucial instruments to guide GI planning and implementation. Most studies highlighted the importance of local-level comprehensive plans and the role of local governments in preparing green infrastructure planning and policy. This is seen as a significant precondition for green infrastructure inclusion in cities with the aim of assessing GI inclusion in plans and policies and gaining an understanding of the planning capacity at the local level. Kim & Tran (2018) noted the narrow understanding of the preparation and implementation of GI planning in practice at the local government level. Using content analysis, their study examined comprehensive plans regarding sustainable GI in 60 municipalities of the US to assess variance in plan quality. They emphasized that communities in the U.S. have continuously invested in building green roofs, rain gardens, trees, and parks as well as managing green open spaces. Through these investments, water resources and floods have been managed, energy efficiency has been improved, and sustainable and compact development has been pursued. However, their study revealed that GI principles such as the promotion of natural resources and green open spaces, efficient and compact development patterns and infill, the evaluation of design aspects and GI stormwater management were not fully integrated into the prevailing sampled plans. Furthermore, Kim & Tran (2018) argued that quality plans comprise a vision, the identification of the objectives and goals, the incorporation of the results from public engagement responses, assessments of present and future conditions, prioritization of development proposals, investment, policy changes and an agenda for evaluating implementation. Interestingly, their analysis revealed that plan quality was marginally higher in counties than in cities, whereas detailed policies, actions, strategies and implementation tactics could significantly improve the plan quality in both areas. The overarching conclusion from their study emphasized the incorporation of detailed GI principles whenever local planners adopt or amend regional plans.
Similarly, Woodruff et al. (2021) firmly argued on the guiding strengths of comprehensive plans to determine when, how and where development occurs by defining them as important vehicles for implementing GI. The authors interchangeably used land-use and comprehensive plans with the same objective, outlining their significance, functions and purpose and emphasizing their role in a long-term vision for a community’s development. They asserted that as a “principal policy document of local governments, comprehensive plans mostly address land use, transportation, housing, the environment and economic development”. Given this background, to understand the extent to which local comprehensive plans integrate GI, they evaluated 38 city and county plans in coastal Texas and reported that comprehensive plans do not effectively incorporate GI. They found that the sentiment within communities to protect open spaces is strong even though they may not use the term “GI”. However, in contrast, the authors found that the plans lack information to model GI and utilize a limited group of approaches. They clarified the narrow focus related to the U.S. Environmental Protection Agency’s emphasis on stormwater run-off and that while managing stormwater is important, it does not address the multiple benefits of GI, such as attenuating storm surge, improving water quality, providing recreation and supporting biodiversity. Hence, recognizing the various benefits of GI provides a stronger case for coastal ecosystems in the face of rapid population growth. In conclusion, the key message conveyed by the authors is that comprehensive plans are primary policy documents for local governments, which must document future land use, environmentally sensitive areas, and critical issues such as population and land use changes in addition to aid in the effective planning and implementation of GI. In contrast, interestingly, in a separate study, Woodruff et al. (2022) hypothesized that local land use plans are crucial tools for protecting GI and related services. The authors also tested the relationship between comprehensive planning and plan quality to understand how it is related to the GI landscape configuration from 2008 to 2016 in cities on the Texas coast. Interestingly, they reported that comprehensive planning and the plan quality are negatively associated with the quantity and landscape pattern of GI. They asserted that in Texas, urban planning is reactive. Development pressures and environmental degradation both contribute to the loss of GI and city adoption of comprehensive plans. These contexts resemble the context in developing countries, such as in cities such as Mumbai, India. They concluded that local land use plans are important tools for encouraging the protection of open spaces and other capacity-building activities. Such information from tested findings in developed countries provides valuable insights for developing countries to examine their own comparative local contexts.
Furthermore, both Zwierzchowska et al. (2019) and Brokking et al. (2021), through case studies of Poznan city in Poland and the Stockholm region in Sweden, respectively, investigated the extent of GI and nature-based solutions (NBSs) in urban policy and the planning, implementation and intended contribution to regional GI. On the basis of document studies and interviews, Zwierzchowska et al. (2019) reported that in the case of Poznan city in Poland, while the creation of new green spaces was planned, climate change adaptation was regarded as low priority alongside the limited recognition of the economic potential of GI. Including GI in the local urban agenda is a crucial step. Additionally, Brokking et al. (2021) asserted that in the case of Stockholm, Sweden, private and public green spaces were promoted in numerous cases. Legal frameworks and landownership determine planning processes and can impact the ability to enhance social and ecological qualities. The decentralized nature of the Swedish planning system provides planning authority to municipalities that utilize land ownership to facilitate urban development, wherein public property is sold to private developers for the creation of housing through land allocation. The authors argued that in such cases, municipalities can enforce conditions for land transfer that have mandatory requirements in civil agreements. Municipalities can place demands on developers to create green spaces with ecological and social qualities on building plots. Land ownership policies alongside norms toward the inclusion of NBSs with private developers can increase the sustainability targets of cities beyond the detailed development plan. The authors concluded that the evaluation of urban policy documents can serve as a guideline for identifying gaps and the potential for NBS inclusion. Urban planning plays a key role in actualizing NBSs. However, the processes of urban planning and development entail the balancing of interests, which are not always in favor of NBSs.
Finally, three case studies included in this section focused on developing countries. The cases of Costa Rica (Neumann & Hack, 2019) and the Sponge-city initiative in China (Qiao et al., 2020) both highlighted the importance of nature-based solutions in achieving stormwater sustainability to address rapid urbanization challenges. The case of Costa Rica explored the replicability of the New York City GI Plan as an urban experiment by testing it in the case of the Llorente district in the Municipality of Florence, which has experienced stormwater and rapid urbanization problems. For the Sponge-city initiative, the authors examined the interpretation and implementation of the national policy in three case study cities through document and policy analysis as well as discussions with local government officials. The overarching results from both studies highlight key areas essential to planning and implementing GI by emphasizing stakeholder participation, community involvement and technical knowledge as essential elements for its success. In contrast, a lack of space, documented GI efficiency, sufficient resources such as knowledge and time and quantifiable objectives are roadblocks to successful implementation. Finally, Eshetu et al. (2021), in their case study of Adis Ababa, evaluated its green space planning, policies and implementation strategies. They found that green space-related policies have a position within the constitution with two to three key policies at the national level, which are understood to be actions for green space development. The 10th Masterplan of the city, covering from 2017 to 2027, included the planning principles of connectivity, multifunctionality and social inclusiveness. Despite this, while policies for urban green development are well modulated, regulations and directives are unclear, and the enforcement of green spaces lacks poor implementation of master plans, poor communication across sectoral organizations and frequent organizational reshuffling and restructuring. The authors emphasized that green spaces are a common problem across urban centers, as they are not equally accessible by all social groups. These findings have particular relevance to developing countries such as India.

5.3. Best Practices

This section reviews the findings of three studies: the first focused on evaluating GI-based urban water management practices for five cities globally; the second focused on the surface water management of GI in an urban catchment in the UK; and the third focused on GI experiments focused on enhancing the green stormwater infrastructure. All three studies focused on GI and its role in water management aimed at establishing best practices. The cities of Singapore, Berlin, Philadelphia, Melbourne and Sino-Singapore-Tianjin were evaluated. Li & Bergen (2018) identified GI as an increasingly significant tool for urban water management. On the basis of interviews, city plans and discussions with city managers, their study shared best practices for sustainable urban water management and the role of GI. The function and application of GI differed in each of the cases, as the development targets of each city differed. Despite this, GI played a role only in supplementing conventional water infrastructures. In all the cases, a top-down approach was undertaken, accompanied by a strong mindset of the city leadership toward planning and implementing GI. Common challenges across all five cities included space and cost constraints in addition to barriers to intersectoral and stakeholder collaboration, limiting city-wide upscaling and full realization of its benefits. The authors emphasized that for a transition toward sustainable urban water management, there is a need for a change in the cognitive, normative and regulative conditions for GI, which can be fostered through both top-down and bottom-up approaches. All five cities utilized a range of tools to make GI-based transitions, such as pivotal green solutions, city-wide strategies and guidelines, pilot project programs, regulations and incentives.
While this section articulates the results of three studies focused on establishing best practices from select case study areas, studying best practices themselves is essential for developing countries to gather knowledge from already planned and implemented measures in developed countries. Concepts such as BGI, which have already been in place in developed countries, are important to understand through the use of best practices for establishing context-specific solutions for developing countries.

5.4. BGI Features and Components

This section reviews the findings of two studies focused on assessing BGI solutions in shaping urban public spaces on the basis of spatial, functional, environmental and social aspects. The studies identified specific BGI solutions in terms of their actual components and features that can be planned, designed and applied to attain the most efficient outcomes in BGI planning for urban areas. Kimic & Ostrysz (2021) identified 19 BGI solutions to improve the functioning and attractiveness of urban areas by evaluating their potential by scoring and segregating them into high, medium and low values. They characterized these as representative of a large group of urban landscape objects (ULOs). They emphasized their function as stormwater retention structures and systems for cities to shape sustainable urban infrastructure by applying them on the surface, underground and above the surface. On the basis of a literature analysis, expert opinions, practical information from catalogs and design guides, and scientific publications, the authors first identified the inventory of BGI solutions and then performed a comparison of 19 solutions to ascertain their similarities and differences. Table 1 provides an account of the BGI solutions for three-dimensional placement sites, i.e., those on the surface, underground and above the surface. They argued that the categorization of BGI elements is based on solutions that are applied at (i) regional or urban scales, such as in agriculture, parks, protected areas, public spaces, wetlands, and retention and detention ponds; (ii) private scales, such as green roofs, private gardens or rainwater containers; or (iii) block scales, such as planters, permeable pavement, water squares and subsurface storage. While the popularity of BGI has increased in recent years, there is a need to understand the complexities in relation to its application in the urban context. Kimic & Ostrysz (2021) argued that there are various types of public areas in cities, such as streets, car parks, squares, green areas, buildings and surroundings, that can be suitable for various sizes of BGI components and can fulfill many functions. In dense urban areas where there is a deficit of public spaces, there is a dominance of impermeable surfaces and a lack of natural features, leading to increased urban heat island effects, and many BGI solutions can be implemented. However, the authors highlighted that this is marred with various technical and biophysical boundary conditions and limitations. The physical dimensions of the available spaces in cities are characterized as built-up land, incorporating various infrastructural and non-infrastructural elements, and displaying sloped land and limited ground space availability. In terms of flood protection, many barriers are found in the systems of urban areas under both flooding and non-flooding conditions. In general, the authors argued that flood protection infrastructures such as dams, dikes, and water storage and transport infrastructures impact the availability of space for other non-gray flood protection infrastructures, such as green areas and biodiversity improvements. This lack of space for the introduction of new BGI elements results in challenges for the application and development of sustainable solutions, as BGI elements require more land coverage than traditional drainage approaches do. Hence, the design challenges in terms of spatial considerations and the integration of BGI elements with prevailing infrastructures above the ground and below the ground for flood protection and water management need to be carefully considered.
McPhillips & Matsler (2018) discussed how stormwater control measures (SCMs) have gained popularity in recent years as a result of their ecological and technological components. These authors highlighted that in terms of ecological components, the benefits of SCMs have been identified through green spaces in cities. In addition to the wastewater treatment industry, hybrid ecological stormwater management solutions provide similar benefits in terms of water purification and treatment. They argued that BGI features such as constructed wetlands can be implemented instead of wastewater facilities. Through their study, McPhillips & Matsler (2018) identified several factors that impact the implementation of green stormwater infrastructure (GSI). With a focus on the U.S., a detailed examination of the temporal changes in GSI implementation in relation to specific types of SCMs was undertaken. They found that the development of SCMs has not been undertaken uniformly across cities in the U.S. and comprises a wide range of implementation strategies. Hence, the authors documented the variety of SCMs across an ecological to technological spectrum, describing it as a green to gray infrastructure spectrum, also referred to as the eco-techno spectrum. The authors firmly stated that in recent years, there has been a transition to landscape-level planning and spatial implementation of stormwater management in the U.S. Owing to this, the authors investigated the inventory of portfolios related to GSI across cities in the U.S. to determine the type of GSI implemented. They emphasized that different types of GSI portfolios can substantially impact the services they provide and the functions they undertake. GSI such as bioretention basins can reduce the total quantity of stormwater entering downstream water bodies, whereas retention ponds provide different types of functions. Hence, their study investigated GSI types under varied climatic settings, sewer system types and development trajectories to understand the regulatory factors that impact GSI implementation, understand the ratio of different GSI in relation to differing contexts and understand the implications of GSI portfolios for environmental performance. The cities of Baltimore, Maryland and Portland in the U.S. were investigated. Through a cross-cutting analysis of all three cities, the results of their study highlighted that Portland has the largest number and density of SCMs, whereas Baltimore has a diverse range of SCM types with infrastructure that spans the eco-techno spectrum. The population increase in Portland has contributed to SCM implementation through new development, whereas SCM development has occurred in private development through local regulations. Baltimore has the most diverse range of GSI types, covering the entire eco-techno spectrum, such as basins, infiltration facilities, swales, green roofs, porous pavements, bioretention or filtration facilities, underground filters and rainwater harvesting techniques. The authors argued that different types of SCM and GSI provide varying hydrological, ecological and cultural benefits. In the case of Phoenix, the authors stated that their findings reveal that infiltration facilities are dominant. In addition to large infiltration basins, Phoenix has also implemented types of ground cover, such as grass, gravel and xeriscape, which are considered infiltration facilities. Thus, understanding the variance of the GSI types implemented in different cities in countries where BGI is implemented is helpful for understanding the facility types across cities and predicting the performance of GSI.
This section introduces the concept of BGI features and components and the boundary conditions under which these features and components can be planned, implemented and fitted in urban areas. In addition, understanding how BGI features and component types have been implemented across city cases provides a practical understanding of the knowledge and skills needed for actual planning and implementation at the onsite and city-wide scales.

5.5. Stakeholder Perceptions, Knowledge and Attitudes

In total, ten studies focused on aspects of stakeholder perceptions, knowledge and attitudes in relation to GI. All papers used the case study approach from both the developing and developed country contexts. Six studies focused on developed countries, whereas the remaining four focused on developing countries. The developed country papers focused on cities in Italy, France, the U.S., the UK and the Netherlands, with four studies reporting the results of cases from the U.S. Three cases from developing countries focused on Africa, whereas one case was from China. The overall analysis in this section focused on understanding stakeholders’ perceptions, knowledge and attitudes toward GI and ESs, implementation strategies and related aspects. The aim of these studies varied from first understanding the level of knowledge among selected stakeholders to attaining an empirical understanding of the barriers to their integration in urban planning as well as challenges in planning and management from the perspective of governance. Willingness to pay (WTP), willingness to implement (WTI) and willingness to participate (WTPA) are key topics of investigation for understanding the sentiment of citizens as well as other stakeholders. A key goal of three studies was to understand the environmental knowledge (EK) and worldviews of stakeholders. Similarly, a previous study investigated the motivations of residents to implement GI. Studies aimed at obtaining such information in the context of publicly and privately owned land were selected. Most studies analyzed questions related to GI in relation to stormwater management and its function in mitigating flood risks in urban areas, with a single study also focused on heat risks.
At the outset, this section emphasizes the crucial importance of cooperation among various stakeholders across the public and private sectors, academia and citizens for the planning and implementation of BGI in any local or regional context. Piacentini & Rossetto (2020) and Donnell et al. (2021) investigated the role of BGI in regulating urban drainage mechanisms in cities by emphasizing the actual attitudes and behaviors of different stakeholders to understand their limitations and barriers to the implementation of water-related GI (WrGIs) and sustainable urban drainage systems (SuDSs) and improve the uptake of BGI solutions. Piacentini & Rossetto (2020) argued that despite the efficacy of WrGIs and SuDSs in managing stormwater and other benefits, such as the purification of water and storage, there is limited understanding of them among qualified technical stakeholders. They posed 71 questions to qualified technical stakeholders across three Italian provinces (Tuscany, Liguria and Sardinia) in addition to the French region of Provence-Alpes-Cote d’Azur in the northwestern Mediterranean. These questions were posed to persons working in managing stormwater and climate-related aspects and those involved in water resource management, such as academics, practitioners, local authority persons, civil society persons, chartered professionals and private sector companies associated with stormwater management activities. The authors reported that the absence of knowledge with respect to these BGI solutions in combination with a lack of information on their design, construction and maintenance costs and a favorable regulatory framework has hampered their implementation. Furthermore, older and dated norms and regulations do not provide an adequate regulatory environment for the integration of these solutions into ongoing local authority practices. Similarly, Donnell et al. (2021) investigated the perceptions of professional stakeholders in four cities: Newcastle (UK), Ningbo (China), Portland (US) and Rotterdam (Netherlands). They found that while the challenges of pluvial and fluvial flood risks drive urban agendas, these vary considerably across each city, reflecting their varied local, regional and national priorities.
In addition, Pierce et al. (2021) argued that an individual’s WTP can lead to pathways to fund GI implementation in the context of U.S. local agencies’ investments dependency on taxes and fees to support infrastructure interventions. Similarly, Baptiste (2014) asserted that people’s environmental knowledge (EK) and WTI can accelerate GI implementation. The authors investigated a sample of citizens in the U.S. in California and New York, respectively. Pierce et al. (2021) surveyed 868 University of California students and staff to understand their stormwater knowledge, WTP and willingness to support (WTS) public fund allocation for GI. The authors found that preexisting environmental attitudes drive people’s WTS and WTP but not demographic factors. They asserted that an environmental attitude is necessary for the WTP for environmental goods. Baptiste (2014) examined the receptivity of citizens in three neighborhoods in Syracuse, NY, to assess EK and WTI for specific components of GI, such as rain barrels, porous pavements, rain gardens, trees, curb side extensions, etc. The author reported that the respondents had high knowledge of GI as a measure of stormwater management, which translated into strong EK and WTI. In this study, the author did not find that sociodemographic variables other than age had any effect on EK or WTI. Additionally, Yu et al. (2019), taking the case of Shanghai, China, tested the WTPA in GI implementation on the basis of spatial and locational differences within the city. On the basis of semi structured interviews, GIS and statistical analysis, they assessed the WTPA of residents in public and private spaces. Yu et al. (2019) found that residents prefer GI implementation in public spaces over private spaces. The WTPA for private spaces is greater in inner-city areas and lower in suburban areas. Such spatial and locational differences were insignificant for public spaces. However, in contrast, in their study, the deterministic factors for GI participation were sex, education level, floor of the private space, and building age for public spaces. In addition, common factors such as free time, cognition of GI, and perception of pluvial flood risk were supportive and environmental factors that could influence both private and public space GI participation.
Taking the cases of Veneto in Italy and Arizona in the U.S., Pagliacci et al. (2020) and Meerow et al. (2021) investigated the main factors that drive WTI on private land/properties. In the case of Veneto, the authors found that WTI toward gray stormwater infrastructure is driven by perceived threat and the amount of past fluvial flooding damage, whereas green stormwater infrastructure is driven by factors such as age and education level. They asserted that a lack of knowledge hinders the implementation of both gray and green stormwater infrastructures on private properties. In the case of Arizona, the authors analyzed spatial data and household surveys with a focus not only on flooding but also heat risks. They found that residents were largely aware of the risks and hazards but that doing so did not result in greater WTI for GI. They reported that prior flooding led to the implementation of stormwater infrastructure, but heat risks did not lead to the planting of more trees. They concluded that variables such as income, home ownership, social norms, and parcel size all impacted resident WTI for GI on private land/property. Awareness of the benefits of GI planning and consideration of ESs in urban areas in terms of improvements in quality of life, human health and well-being have only recently gained interest in developing countries. Scientific studies on these topics have only begun, but there has been a lack of empirical evidence related to their inclusion and integration into ongoing urban planning and development practices (Venkataramanan et al., 2019). Finally, this section focuses on three studies in developing countries with the aim of attaining knowledge of case examples from the African context. Zyl et al. (2021) investigated knowledge of and WTI in relation to ecological considerations by interviewing a sample of South African urban planners to understand these considerations in urban planning practices. They found that low knowledge of GI, ESs and multifunctionality prevented their integration with low context-based understanding. While South Africa has led in scientific development in relation to ecological planning in comparison to other developing countries in the Global South, it has struggled with social, economic and environmental inequalities as a result of its apartheid history and a lack of well-distributed public and private green spaces termed “green apartheid”. However, environmentally minded policies have guided development toward more sustainable outcomes at the national and local levels. The authors argued that to improve GI application, there is a need to alleviate misconceptions due to a lack of education on GI in the South African urban planning curriculum. Additionally, in South Africa, “incorrect environmental worldviews” did not affect GI planning, but a lack of implementation strategies and challenges in financial instruments due to a lack of knowledge led to poor incorporation of these strategies in urban planning practices. In contrast, in the Ethiopian case, Ayele et al. (2021) investigated the planning and management of GI on the basis of governance approaches. They assessed expert perceptions in relation to GI principles, policies, planning themes, land use regulations and implementation. They reported that in the Ethiopian context, an authoritarian model of institutional arrangements, a sectoral approach and uncoordinated land use have led to weak UGI governance in addition to political interference and limited regional and national policies, where little attention has been given to UGI development. This finding emphasizes the challenges faced by planners in incorporating UGI in a particular political context. The authors concluded that GI needs to be included in planning, environmental and land management policies for its future development. Finally, Guenat et al. (2019) investigated stakeholder perceptions in relation to services and disservices provided by greenspaces in two fast-growing cities, Sunyani and Techiman, in Ghana. They found that while ESs are generally valued, differences in viewpoints remain among stakeholder categories, and there is a lack of consensus on specific ESs. Thus, they argued that recognizing shared viewpoints and areas of disagreement may increase the acceptability of measures to implement greenspaces, highlighting that the disservices caused by the degradation of greenspaces.
This section provides an exhaustive review of the aspects of stakeholder perceptions, knowledge and attitudes related to GI planning and implementation across the social, environmental and spatial dimensions. Stakeholder understanding across qualified stakeholders and citizens is crucial for the planning and implementation of GI. Hence, the insights and knowledge attained from this section can not only support the development of similar stakeholder analysis frameworks in developing countries but also provide information on which variables are crucial for the development of multistakeholder policies.

5.6. Identified Barriers to GI

In this section, four studies are reviewed. Two focused on cases from developed countries (the UK and the U.S.), whereas the other two provided a theoretical understanding of aspects associated with barriers to GI implementation.
First, Deely et al. (2020) developed a barrier framework to highlight the threats to BGI planning, maintenance and efficiency. They argued that by understanding the nature of difficulties across projects, the likely success of BGI solutions can be assessed. Similarly, Donnell et al. (2017), taking the case of Newcastle in the UK, identified 17 barriers as a result of semi structured interviews with professional stakeholders. They highlighted that while BGI can meet the goals of various urban local bodies, strong context-specific business cases that include context-specific barrier identification and monetized evidence of the benefits and interagency cooperation play a key role. Additionally, taking the case of Portland in the U.S., Thorne et al. (2018) reported that scientific barriers in relation to physical processes that impact performance and service provision, in addition to sociopolitical barriers, which expose a lack of trust in sociopolitical arrangements and public preferences, are key aspects hindering BGI planning and implementation. They firmly stressed that sociopolitical barriers have a paramount negative impact on BGI decision-making and can greatly influence its positive development.
When the barriers recognized by both Deely et al., (2020) and Donnell et al., (2017) were compared, approximately 20 common barriers emerged. Donnell et al. (2017) categorized the barriers into sociopolitical barriers, biophysical barriers and a combination of both. Deely et al. (2020) more concretely categorized the barriers as institutional & governance, sociocultural, knowledge, technical & biophysical and funding & market. Both studies identified negative past experiences, low priority, competing priorities, political leadership, responsibilities, ownership, institutional capacity, expertise, behaviors and culture, legislation, regulations and governance, funding and costs, partnership issues, lack of communication and lack of knowledge, education and awareness to be common sociopolitical barriers and/or sociocultural or institutional & governance barriers. In addition, Deely et al. (2020) listed a range of barriers, such as the need for changes in policy support, the promotion of interagency working practices, the use of climate science in policy formulation, unclear roles, the willingness to pay, poor community and landowner buy-in, technocratic path dependencies, a lack of awareness of BGI multifunctionality, future land use, and who pays as barriers.
Studies such as those of Deely et al. (2020) and Donnell et al. (2017) have identified barriers and articulated a framework for the planning and implementation of BGI. Deely et al. (2020) argued that the planners involved in the implementation of BGI often lack knowledge and guidance. They also stated that the concepts of blue infrastructure (BI), GI and BGI differ, and in their study, they considered all three, highlighting that the barriers that affect BI and GI also affect BGI but that BGI independently may also have additional barriers that are not applicable to BI or GI. Likewise, they argued that in the scientific literature, certain types of infrastructures that are BGI are referred to as GI; hence, this makes it difficult to present the complete knowledge on the barriers facing infrastructure development for BGI. Additionally, the results of the stakeholder interviews in Newcastle strongly suggested that sociopolitical barriers impact BGI implementation more than biophysical barriers do. Support for novel approaches, changes in practices and a lack of knowledge, education and awareness have been found to be the major barriers impacting BGI implementation. It is equally important to understand how such barriers can be applied to accelerate BGI planning and implementation.
Furthermore, Zuniga-Teran et al. (2019) presented five key challenges to BGI implementation 1. design standards, 2. regulatory pathways, 3. socioeconomic considerations, 4. financing ability and 5. innovation. The authors first argued that highlighting how technological barriers in terms of design indicate deficiencies in data, insufficient technical knowledge, and experiences requires guidelines that address local conditions. The physical and environmental performance of GI needs to be coupled with understanding the benefits to society and harnessing public support. Standardized design processes are necessary to formulate technical guidelines that are specific to local conditions. Similarly, they stressed that regulatory environments are necessary to provide the appropriate legal position for GI in the planning and development of cities. The authors further discussed that in the Netherlands, despite being considered a leader in GI, no legal arrangements are in place to provide water authorities with confidence in the longer-term benefits of the measures of resilience that GI provides. The lack of appropriate inclusion of regulatory bodies in a governance system that fully understands the multifunctional benefits of urban GI has remained a major challenge, as often separate regulatory bodies see GI only in terms of their regulatory remits or merely as having water benefits. Additionally, while the technical and hydrological benefits of GI are recognized, climate adaptation often has a low priority in regulatory frameworks. Furthermore, in terms of the socioeconomic dimension, Zuniga-Teran et al. (2019) argued that income disparities equally result in disparities in green spaces. Across the world, sociodemographic variables such as income, age, religion, density, caste and education can induce marginality in GI. Likewise, public and privately distributed GI, along with its quality, should be considered important. When cities often shift from gray infrastructure to green infrastructure, wealthier neighborhoods are prioritized first and receive benefits first, whereas poorer areas lag behind. Thus, cities in southern China, where weak, inappropriate or absent planning persists along with population growth and poverty, have a greater need for the provision of equitable GI. Finally, the economic gains from GI as a result of flood reduction benefits need to be concretely understood. Flood events cause significant economic damage as a result of damage to urban infrastructure. Owing to the fact that flood reduction via GI may contribute to economic gains for city governments, the cost and benefits of GI technology are not adequately known. Equally, there is a need to understand the cost‒benefit scenarios to develop appropriate models for financing to fund operational and maintenance costs. In conclusion, GI implementation requires innovation to achieve the goal of resilience. Innovation helps cities colearn, reduce risks and identify opportunities.

5.7. Local Government Capacity, Roles and Partnerships

This section covers five studies that focused on the significance of government entities and their roles in GI implementation. Four studies focused on case examples from developed nations, including a partial focus of a study from China.
This section articulates the key concepts related to governance mechanisms for BGI, highlighting the pivotal role of the local government as a driver, coordinator and capacity builder for the planning and implementation of BGI, as stated by Harrington & Hsu (2018). This is in combination with nongovernmental actors, and approaches toward public‒private partnerships can enhance the effectiveness of BGI on the basis of contextual needs. Furthermore, this section debates and discusses global cases focused on municipality-led initiatives to integrate BGI through pilot projects, mainstreaming techniques into municipal planning and the development of tools to assess BGI. This section strongly emphasizes the role of the local government as a key enabler and manager of BGI to address critical urban sustainability challenges in cities globally.
In the case of the US, Harrington & Hsu (2018) stated that the leadership of the government at the national and local levels is crucial to implementing GI for stormwater management. After interviewing 40 local, regional and federal staff members in the U.S. to understand their motivations for implementing GI and collating them with the literature on environmental governance and water management, they found that government and nongovernmental actors play different roles. The government plays a central role in formulating GI policies, gathering political support and coordinating implementation, whereas nongovernmental actors undertake information sharing. Both government and nongovernmental actors contribute to strengthening local community support and participation. The authors highlighted that government actors serve as drivers, coordinators and capacity builders of BGI by formulating regulatory requirements and local political support; articulating common definitions of BGI among government entities; collating best practices; undertaking monitoring and evaluations; and garnering local-level collaborations and partnerships. Governments from the national to the local level play a predominant role in leading stormwater agency and staff implementation. After interviewing 25 to 30 water agency staff, they concluded that regulations, such as regulatory compliance, permitting, or mandatory planning, are key factors for GI as a prerequisite before other motivations for GI. In addition, they emphasized that local political support is needed in addition to regulatory requirements, as BGI is driven primarily by political action. Only when BGI and stormwater management are integrated into municipal initiatives, with the active interest of politicians, can positive infrastructure development influence BGI-based transformations in cities. Thus, local politicians should direct local governments to align broader regulatory goals with ongoing initiatives in local communities.
While the government has been identified as the primary enabler of public BGI, Jakaitis & Paliulis (2013) advocated that the public–private partnership (PPP) model has emerged as a potentially promising approach within various debates globally in the urban development communities on its contribution to developing urban and social infrastructures as well as improving the quality of residential areas. They distinguished the role of the government and private sector in terms of the government arranging detailed plans and land consolidation and addressing issues related to construction, whereas the private sector is responsible for investment, project management and service provision. Importantly, they argued that poor information and awareness with respect to PPPs has often been misunderstood, as the privatization of state property has led to unnecessary distrust from the public. Society often fears losing the provision and availability of certain public services or an increase in prices for services provided as well as limited access to public spaces such as green areas. Contrary to these beliefs, the authors strongly argued that PPPs allow for the efficient use of private and state funds for the development of infrastructure and public services. In the PPP format, the public sector delegates responsibilities to third parties to improve the efficiency of operations. Jakaitis & Paliulis (2013) emphasized that such private firms in fact are committed to providing high standards of public services in accordance with standard specifications, the financial costs of operating state properties, the construction of new infrastructure and the assumption of financial or other such technical risks. They highlighted that PPPs assume a middle ground between traditional public infrastructure and privatization. When there are limited financial and public service capabilities in comparison to the increasing demands for public services and quality infrastructure, PPPs can be pursued. These actions require consistent implementation, and society must cooperate and be involved in the process of expanding social and green infrastructures. The authors provided examples from western European countries where PPPs have achieved great effects, particularly in the areas of healthcare and education, with 80% of infrastructure projects in Britain being implemented with PPP principles, accounting for 60% of all projects in the EU.
Hence, scientists must not only publish more but also collaborate with journalists to disseminate the results of their findings to the general public, planners and policymakers. Finally, to build fruitful investments and their outcomes, the inclusion of the private sector is essential.
Municipal-level projects and plans play crucial roles in the planning and implementation of BGI and environmental protection measures. In their study, Liu et al. (2019) discussed how BGI was utilized in the planning and design of municipal-level projects in Beijing and Copenhagen. They highlighted that while at the national and international levels, responses to climate change have not been adequate, this makes the local level increasingly important for addressing challenges with respect to sustainability. Liu et al. (2019) asserted that local governments play a highly important role in formulating responses to climate change through adaptation efforts in development plans, policies and infrastructure investments. Given this, their study evaluated how BGI was used in the planning and design of municipal-level pilot projects on the basis of lessons learned from six municipality-led pilot projects in Beijing and Copenhagen. Although the principles of BGI are well known within the development community, knowledge of BGI for stormwater management is lacking. Hence, the municipalities of Beijing and Copenhagen have initiated the potential of BGI to accelerate sustainable urban stormwater management. To address the gaps persisting between the technical aspects of stormwater management and planning/design aspects to achieve the multifunctional objectives of BGI, the authors determined what knowledge should be available during the various stages of a project process toward a sustainable solution to designing and planning BGI projects. These lessons targeted urban planners and landscape architects involved in BGI for SWM projects to reduce the gaps between the technical aspects of urban water management, such as between dominance by environmental and civil engineering practices and the elements of landscape architecture and planning. The results revealed that not all project intentions were implemented. All six projects applied distinct SWM techniques concerning onsite control vs. controlled discharge. The Beijing case demonstrated less integration of SWM design and landscape design. The SWM initiatives were led by water sector professionals, such as engineers, whereas the landscape design was led by landscape designers separately. Thus, the engineers focused more on utility functions than the aesthetic, social or cultural aspects, whereas the landscape designers possessed limited technical expertise in hydrology and hence were unable to integrate SWM functions into landscape form and function. In the Copenhagen case, on the other hand, the landscape designers worked toward devising plans for the integration of SWM into the urban landscape alongside the technical input of engineers. Thus, planning and implementing such municipal-level pilot projects is an effective approach to testing and exploring the potential to introduce BGI in the urban development of cities.
Wamsler et al. (2014) asserted that ES are an effective way to advance sustainable urban planning at the local government level. The authors defined the role of ecosystem-based adaptation to harness the services of ecosystems, buffer communities against extreme weather events and facilitate the impacts of climate change. To determine how ecosystem-based adaptation can be implemented, barriers were investigated within local government bodies in the fields of ES and climate change adaptation. At the outset, the authors argued that a comprehensive mainstream understanding of sustainability issues at the government level was lacking and that there was a need to improve the knowledge of sustainability issues to change the ideas, attitudes and activities of government urban development initiatives. Such efforts can improve transitions toward sustainable development. Wamsler et al. (2014) analyzed the crucial characteristics of local government activities in terms of ecosystem-based adaptation to municipal planning, considering the cases of four municipalities (Malmo, Helsingborg, Lomma and Kristianstad) in southern Sweden. Eleven municipal staff members involved in spatial and environmental planning were interviewed. The results of the study revealed that all four municipalities undertook systematic efforts to mainstream, integrate and include ecosystem-based adaptation in their municipal plans and strategic documents, activities and projects. Attributes such as the (i) integration of ecosystem-based adaptations into strategic, spatial planning and comprehensive plan documents alongside facilitating projects; (ii) collaboration with varied internal, external and international networks to engage in ecosystem-based planning; (iii) the development of tools that substitute the impacts of climate change; and (iv) improved political support for ecosystem-based adaptation have been key common areas of reform across all four municipalities. The municipalities of Helsingborg and Kristianstad additionally have approved the upgrading of local policy documents that incorporate adaptation measures for the restoration and formation of wetlands, nature reserves in coastal zones, green roofs and expanded tree cover, increasing the importance of BGI in ecosystem-based planning practices. Finally, Bush et al. (2021) stated that the use of green factor tools has become an increasingly popular approach for assessing and quantifying the level of green open spaces and a mechanism for assessing urban greenery. These authors stated that several local governments have developed and adopted assessment tools for the planning and design of buildings and green spaces, thereby increasing greenery worldwide. Cities such as Berlin were among the first to introduce such tools to quantify the extent of greenery in new developments in the form of a numerical value, which calculates the ratio between the number of green areas in a particular property in comparison to the built-up areas. Thus, owing to this, the authors documented the development process of the green factor tool for Melbourne, Australia, which involved a collaboration between researchers and practitioners. When local governments adopt such assessment tools, this can foster collaboration between academics and consultancies, which can support local-level efforts to increase green spaces and greenery initiatives on the basis of robust empirical evidence and foster sustainable urban planning strategies.

5.8. Extent of the Scientific Research

In this section, three studies are reviewed, with one case study of a developed country, namely, Australia, by Lin et al. (2018). This section discusses the extent and nature of the scientific research on GI. Two studies emphasized the research–implementation gap by identifying the priorities to address and improve GI research and the factors that are needed to strengthen its understanding, as noted by Lin et al. (2018). Similarly, another study, Shackleton et al. (2017), described the extent of the research on GI and its importance in planning and implementation. Finally, the understanding of GI in science and practice and its definition, terminology and concept was highlighted by Mell (2013) as an important element of inquiry as to how this affects investments and policy priorities as it relates to the core understanding of the term green infrastructure, which is found to cause confusion in terms of its appearance or function.
Shackleton et al. (2017) acknowledged the strides that have been made in research, knowledge development, policy formulation and implementation of natural resource management (NRM) and investments in ecological GI globally. Knowledge about ESs has improved globally, with more than 2000 papers published annually related to this topic, following the general trend of a drastic increase in scientific publications over the last decade. However, despite strong policies, implementation has been challenged by poor financial resources, red tape, lengthy political time frames and incorrect indicators. Often, good policies result in poor implementation, which is common all around the world, in developing and developed countries alike. In South Africa, capacity building has accelerated as a result of scientific research contributing to NRM investments. For example, authors have cited the Working for Water (WfW) program, which has grown from the implementation of 10 projects in 6 provinces in 1996 to over 300 projects in all nine provinces of South Africa in 2015. They also have argued that this has helped to upgrade practical skillsets to thousands of unskilled workers and has created jobs. It has also added to the development of environmental modules and awareness within the country. Despite this enormous amount of research, authors have asserted that there are still gaps. Furthermore, Lin et al. (2018) discussed the results of a workshop where multisectoral participants from industry, academia and government voiced the following key research priorities in GI in Australia: 1. attitudes, knowledge and perceptions; 2. increasing biodiversity through GI; 3. optimizing spatial configurations and composition; 4. economic valuation of GI; 5. metrics, models and tools for benchmarking GI assessments; and 6. turning research into policy and implementation. The participants reported that the science of decision-making did not automatically translate into institutional collaborations; moreover, perceptions and attitudes toward GI across cultural and sociodemographic variables provided additional information on the potential to scale GI at the local or national level. Finally, Mell (2013) argued that great ambiguity remains in the understanding of GI across the scientific literature in relation to its strategies in planning and understanding its defining characteristics in terms of whether these are only the elements that are green. He highlighted the debates on ‘practitioner’ selectivity in interpreting GI planning, whether it means solely the physical characteristics or also includes the function of an investment. They provided examples of a cold steel rail vs. a green field, stating that both serve green functions but that their appearances differ. Mell (2013) argued that practitioners often utilize the vagueness of GI to guide investments, whereas assessments of GI focus on nature, function and benefits. They provided multiple examples in their study, wherein in actuality, this is not the case, as various planning professionals, practitioners and the public interpret GI to be visually green or as a piece of infrastructure with green functions. They highlighted that such systematic selectivity in landscape planning may become the norm unless planning experts clearly define what GI is and how it should be implemented. This implies a lack of value assessment of GI with respect to environmental resilience, community resilience and economic mandates; therefore, more knowledge must be generated in this regard in science. Furthermore, understanding what constitutes green and gray infrastructures in scientific discourse needs to be understood to lower the selectivity of institutions and increase the value of GI to the public, economy and environment. It has already been established that varied definitions of GI persist in scientific discourse and, similarly, studies such as that of Mell (2013) have noted that such use of varied terminologies in relation to GI in research and practice may lead to variance in its understanding. To meet the hydrological, ecological, social and economic functions of GI, there is a need for practitioners in the public and private sectors to obtain a clear understanding of the definition of GI to foster its integrated planning and implementation.

6. Discussion and Conclusions

This review focused on the challenges faced by cities in developing countries as a result of urbanization, leading to the degradation of green and open spaces and highlighting that these challenges could erode the benefits that healthy urban environments provide. Urban greenery and blue‒green space networks are important elements of urban infrastructure and contribute to the well-being of urban residents. Accelerated processes of urbanization have resulted in environmental problems. Urban green space planning and land allocation have been challenging issues where land management and urban planning decisions are constrained by economic interests and related political motivations in fast-growing economies. Hence, urban planners in developing countries face challenges in addressing the needs of human well-being in cities. Given this background, the aim of this review was to obtain a succinct understanding of the key aspects essential to advance the design, planning and implementation of blue–green infrastructure in the urban areas of developing countries.
To undertake a systematic global literature review, the key findings of the review outlined eight key thematic areas: (i) spatial configuration; (ii) plans and policies; (iii) best practices; (iv) BGI features and components; (v) stakeholder perceptions, knowledge and attitudes; (vi) identified barriers to GI; (vii) local government capacity, roles and partnerships; and (viii) the extent of the scientific research, which can serve as tenets and principles for urban planning researchers and practitioners to guide BGI planning in any context. Furthermore, in each of these sections, we comprehensively discussed the knowledge attained from this review, which combines the knowledge and approaches required for the actual design, planning and implementation of BGI. Additionally, these results provide valuable understanding of the disparities in scientific research between developed and developing countries, providing a detailed picture of the regions, countries and cities of the world where BGI research, planning and implementation have been concentrated. The results from the various sections provide insights into different BGI contexts including North America, countries in Europe, Africa, China, and South America, but none of the studies were from India. Hence, we highlight the steep dearth of scientific understanding of BGI in India, which is the most populated country in the world, is the largest democracy and is among the fastest growing major economies. All of these characteristics point toward an urgent need to attain a strong contextual understanding of Indian cities to address their problems in terms of social, environmental and green infrastructure alongside other developing countries.
In this review, we identified the relationship between BGI and stormwater management. The function of stormwater management is important across all areas, such as spatial information related to surface-level parameters of urban flooding, drainage attributes and the formulation of specific designs, geometries and spatial distributions, to achieve multifunctional benefits from BGI. Our review highlights that the role of nature-based solutions in achieving stormwater sustainability must be well identified in local comprehensive plans. The results from the thematic area of local government capacity, roles and partnerships argue that such nature-based solutions must be attained in combination with the roles of national to local government officers in leading stormwater agencies, and the knowledge of qualified personnel in BGI-based stormwater management has been found to be a solid strategy to deliver holistic BGI solutions. The perception and knowledge of the various functions of BGI in addressing stormwater challenges, water purification and water storage are also roadblocks, highlighting that citizen perceptions and WTI are driven by perceived threats, past experiences with fluvial damage, education levels and age. Thus, sound knowledge is required for the implementation of both gray and green infrastructure for stormwater management, thereby transitioning to a sustainable stormwater management regime. Although this review does not extensively elaborate on urban heat mitigation and social well-being outcomes of BGI in cities, we emphasize that the impact of effective BGI lies in the multitude of benefits from the combined achievement of stormwater management, urban heat mitigation and social well-being outcomes.
In recent years, as discussed in the introduction of this article, BGI-related discussions have gained momentum within the research, expert and practitioner communities in developing countries and through the advocacy of international organizations. Regardless, there has been a lack of understanding of the actual planning and implementation of such infrastructure for experts and practitioners within developing countries. Through this review, we address key areas and knowledge that are essential for such planning. Modeling tools, assessments of demand‒supply gaps, classifications of urban surface parameters, UGI placement, distribution and geometry and specific UGI guidelines can provide guidance for attaining a spatial and quantitative understanding of BGI in terms of existing and future infrastructure development. While such information is being documented through evidence-based research in the Global North, as highlighted by Fluhrer et al. (2021), there is a dearth of such research being undertaken in the Global South. There is a critical need to build capacity to obtain spatial information and analyze and apply it to the actual design and planning of BGI in urban areas globally. In addition, taking inspiration from examples from country case study contexts and project strategies such as the Barcelona superblocks, Eggimann (2022) stated that transforming an inventory of BGI features and components in line with site suitability is needed to modify urban elements into BGI. The integrated package of plans, policies, stakeholder perceptions, knowledge and attitudes alongside local government capacity, roles and public‒private partnerships are necessary to create a concrete governance regime for the sustainable and systemic planning and implementation of BGI. We assert that local-level comprehensive plans are crucial documents for local governments to formulate BGI as a permanent infrastructure asset in cities in developing countries. Similarly, the role of governments from the national to the local level and the contributions of nongovernmental actors are essential, and it is important to understand each of their roles accurately. Cooperation between the private sector and PPP mechanisms is needed to develop sustainable BGI in developing countries. Ultimately, the perceptions, knowledge and attitudes of qualified stakeholders in relation to BGI within the government, private sector and academia, along with citizen perceptions, are important for developing technically, functionally and aesthetically sound BGI across public and private spaces. In this review, on multiple occasions, the importance of public and private BGI has been asserted across various areas, such as their quantifiable information through spatial analysis and stakeholder perceptions with respect to their implementation in public and private space aspects and the need for the promotion of BGI at the government level, particularly the local government level, through public‒private BGI partnerships. In this review, we provide examples of challenges faced in the implementation of BGI across public‒private spaces, which has timely relevance to contexts in developing countries. For example, in major cities of India, quality infrastructure services are concentrated in private developments creating disparities and inequities in access to quality infrastructure and widening socioeconomic gaps among citizens. Hence, the recurring emphasis on the equitable distribution of public and private BGI in this review is essential for conditioning the mindset of the expert community. Finally, this review has cited a range of country case study examples that provide not only a technical understanding of the planning and implementation of BGI but also information on its geographic extent and distribution. Citing examples from the U.S., Europe and China, the differences in geographical regions influence the differences in the understanding of GI concepts and their practical implementation in urban areas. In the U.S., the focus is on decentralized stormwater management in GI planning in line with federal-level regulations, whereas in Europe, GI is focused on the socioeconomic functions of green spaces, and in China, GI is utilized to improve aesthetics and real estate value in line with the government’s ‘sponge cities’ program. Developing countries such as India find themselves at a pivotal time and position where such information is useful for formulating a thorough, integrated and comprehensive BGI planning and implementation strategy.
As a way forward, the scientific research on BGI from developing countries is still at the nascent stage. While this review has brought together and presented the essential pillars that are needed for the planning and implementation of BGI, there is a need to undertake in-depth research on each of the thematic areas, particularly in the context of India and developing countries, to generate knowledge for the successful planning and implementation of BGI. Furthermore, BGI requires financing, operation and maintenance for its long-term sustainability. At the same time, at the local government level, competent urban master planning abilities are required for its integration. Hence, there is a need for qualified urban planners, engineers, researchers and practitioners across all arms of the government, as well as in the private sector, to obtain knowledge on the planning and implementation of BGI, supplemented by regular monitoring and evaluation of urban plans. Such contextual and scientific information needs to be documented to concretely develop a robust BGI regime in developing countries. There has been a lack of scientific understanding of BGI in relation to its inclusion and integration in ongoing urban planning and development practices in developing countries. Likewise, the differences between gray and green infrastructure must be clearly understood to reduce institutional selectivity and increase the value of GI to the public, economy and environment, as clearly stated previously in this review; hence, concrete evidence on its value assessment is needed. Moreover, a robust understanding of its sociopolitical barriers and the development of PPP projects is needed. Examples from Western European countries and the UK, as cited earlier in this review article, related to the successful implementation of PPPs in urban infrastructure, healthcare and education have much relevance for developing countries such as India, which have the potential to develop such an environment. Finally, from a technical standpoint, BGI requires a system-level understanding due to its integrated and networked nature in terms of urban planning and hydrological and environmental engineering aspects to attain the highest performance levels. Addressing such topics is out of the scope of this article. Hence, this review has limitations with respect to such aspects and strongly encourages an increase in scientific research outputs, particularly in these areas, along with generally a systematic increase in scientific research on BGI from developing countries. Figure 5 shows the number of city case studies covered per thematic area in this review.

7. Keywords from this Review for Indian Cities

From 1991 to 2011, the Indian states of Gujarat, Maharashtra, Tamil Nadu and West Bengal experienced consistent increases in the levels of urbanization, as noted by the Handbook of Urban Statistics (2019). The major metropolitan cities in these states are characterized by high urban density living patterns. An assessment of 42 Indian cities revealed the impacts of land use transitions alongside climate change on increased flooding, highlighting that increased built-up and reduced green, blue and open spaces resulted in an increase in flooding scenarios (Avashia & Garg, 2020). “In the case of Mumbai, the city has been characterized by rapid urbanization since the 1990s, followed by a linear and narrow urban form, leading to a space crunch to satisfy the built-up needs of its residents. Dwellings such as residential buildings, chawls (traditional community housing systems in cities) and slum settlements coexist in close proximity with ever-increasing demands for housing. Therefore, the impact of high-density built-up areas with a lack of green and open spaces, urban expansion, a lack of urban greenery and the degradation of water bodies has contributed to an increase in urban heat” (Centre for Science and Environment, 2024).
According to the Census of India, in 1991, there were 23 cities with more than one million inhabitants in India, which increased to 35 in 2001 and 53 in 2011, resulting in changes in employment and demographic scenarios in major metropolitan areas of the country. Many Indian cities characterized by high-density development patterns are experiencing annual flooding events, and increased urban heat phenomena urgently need to integrate BGI into ongoing urban development processes; however, in developing countries, including India, BGI has not been included in the planning and implementation of urban development and city planning initiatives (Gupta & De, 2024). Similarly, the vast magnitude of cities and towns in India presents a critical opportunity for the integration of BGI in urban planning and engineering practices.
Through scientific studies at the global level, knowledge can be attained to understand the factors that are crucial for BGI integration. In this review, eight overarching thematic areas were identified that can be used by national, state and particularly local governments to attain a practical understanding of the planning and implementation of BGI. Together, these eight overarching thematic areas can aid in formulating a BGI planning and implementation framework.
To plan and implement BGI in Indian cities, there is a need to obtain empirical spatial evidence and undertake analyses in relation to the different variables associated with BGI planning. Additionally, there is a need to advocate for the integration of BGI into local-level work plans and policies. Attaining global best practice knowledge is a mechanism to tailor and contextualize global knowledge to local conditions, whereas studies aimed at understanding stakeholder perceptions, knowledge and attitudes will provide an understanding of the areas where concerted capacity building is needed for the planning and implementation of BGI in India’s urban areas.
The pertinent information discussed in this review is helpful for initiating context-specific research. The significance of the GSI inventory has been discussed with the aim of location identification for determining the location, placement, distribution, quantity and quality of GI, highlighting the role of UGI in stormwater management and emphasizing that its specific design, geometry and spatial distribution play important roles in achieving multifunctionality and increasing the degree of BGI in residential areas. Hence, Indian cities will have to obtain such spatial data to understand not only the prevailing quality and quantity of GI and its specific features but also the potential solutions applicable in the spatial context. Spatial information and governance-related challenges need to be understood. There is a need to understand the prevailing knowledge on the spatial characteristics of cities in India in relation to green spaces, open spaces, ecological features and stormwater management. Owing to high urban densities, unplanned urbanization processes and socioeconomic disparities in terms of housing, cities in India have very specific spatial conditions for the equitable placement and distribution of BGI. Empirical research needs to be undertaken to obtain microlevel knowledge on the spatial characteristics of neighborhoods in Indian cities to test BGI solutions to attain multifunctionality. Similarly, knowledge of governance-related challenges and mechanisms also needs to be attained to combine it with spatial science to acquire a holistic perspective. Such knowledge will be helpful in formulating approaches to the planning and implementation of BGI in Indian cities.
In the earlier discussions of this review, we found that the preferences of citizens in China lean toward the implementation of GI in public spaces as opposed to private spaces. This knowledge is equally applicable to the Indian context when planning BGI for cities in India where GI in public spaces is needed (Manish & Ram, 2019) given the socioeconomic disparities in the inequitable distribution of public infrastructure. Additionally, Indian cities have not begun to invest in BGI like cities in the US and other developed countries, which have been implementing it for a long period of time. Hence, comprehensive local-level plans and the role of local governments are important for guiding BGI planning and implementation. The inclusion of detailed GI principles will be necessary whenever local planners revise plans. “Green spaces are a challenge across most cities in India” (Manish & Ram, 2019). The Swedish example has much relevance to India. In Sweden and other developed countries, through our discussions in the earlier parts of this article, we found that public properties are sold to private developers for the creation of housing through land allocation. Similar conditions and mechanisms are already found in Indian cities such as Mumbai, where housing stock is created in a similar way. “In Mumbai, local authorities legally bind private developers to create public parking spaces to address the car-parking needs of the city” (The Times of India, n.d.) Similarly, such conditions can be attached to the creation of public parks in land transfer agreements, which will have far reaching requirements and can increase the sustainability targets of cities in India. Furthermore, the outcomes from this review on stakeholder perceptions, knowledge and attitudes need to be attained in the Indian context. Examples from the review reveal that a lack of implementation strategies and challenges in financial instruments due to a lack of knowledge led to poor incorporation of these strategies and challenges in urban planning practices. Hence, understanding the attitudes and behaviors of different stakeholders, including qualified persons, is essential for understanding drainage systems. The planning and implementation of BGI requires a collaborative effort where the government, citizens and private sector must cooperate effectively to achieve an efficient outcome. While government-level policies, capacities and knowledge are essential for developing BGI in urban areas, securing appropriate public land and undertaking space allocation, the private sector can play a crucial role in the operation and maintenance of such BGI. Similarly, local-level communities and citizens play pivotal roles in managing BGI within their communities. BGI needs to be included in the government’s agenda with an understanding of its limitations and barriers for the implementation of water-related GI, sustainable planning, and environmental and land management policies for future development in cities in India.
Finally, government entities play an important role in the planning and implementation of BGI. The leadership of the Indian government from the national to the local level will play a significant role in implementing BGI for stormwater management. The government must play an important role in leading stormwater management agencies and creating an apt regulatory environment to motivate the implementation of BGI through public and private development endeavors. Furthermore, the integration of the PPP mechanism in Indian cities into the planning and implementation of BGI is crucial. The “Indian real estate sector has been thriving in all major urban centers of India and is playing a key role in the transformation of land uses” (Rathee, 2014). Hence, the inclusion of the private sector through incentive mechanisms and regulatory frameworks can be a crucial motivating factor in accelerating BGI implementation. In combination with legislative structures, sustainable urban space management and financial mechanisms are needed. Moreover, strong context-specific business cases, context-specific barrier identification alongside monetized evidence of BGI’s benefits and interagency cooperation enhance its implementation. Design standards, socioeconomic considerations and innovation are equally needed. “In conclusion, water sensitive, river city concepts and ideas have been making a strong appeal within the Government of India’s recent policies for cities in India, particularly secondary cities” (Ministry of Jal Shakti, n.d.). Given this, the political will to address all urban water-related challenges holistically alongside stakeholder engagement to harness public support, funding and the long-term maintenance and monitoring of BGI will play the most significant role. Furthermore, this review highlights common observations documented in terms of policy-implementation gaps from developed and developing countries alike in terms of good policy structures and poor implementation strategies. Indian cities are at a stage where systematic knowledge, skills and approaches are required not only to raise awareness among various stakeholders in relation to BGI but also to build capacities among government-level system administrators and other stakeholders to develop knowledge and appropriate strategies for the integration of BGI in the urban environment. Thus, systematic and contextual scientific research on Indian cities alongside knowledge management, policy formulation and implementation and due financial investments can foster ecological BGI.

Funding

This material is based upon the funding supported by the Graduate Academy of the Technische Universität Dresden under the Maria Reiche Doctoral Fellowship awarded to the first author of the article.

Acknowledgments

We thank and acknowledge the contribution of Dr. Anand Joshi to develop the Map 1 and Figure 4 for this article. Figures that mention “See Acknowledgements” are intended to acknowledge the contribution.

References

  1. Das.A., & Das.M. (2023). Exploring the relationship between quality of living and green spaces in cities: Evidence from an Indian megacity region of global south. Land Use Policy, 129. [CrossRef]
  2. Gupta.A. & De.B. (2024). A systematic review on urban blue-green infrastructure in the south Asian region: recent advancements, applications, and challenges. Water Science & Technology. [CrossRef]
  3. Marissa Matsler.A., Meerow.S., Mell. I.C., & Pavao Zuckerman. M.A. (2021). A ‘green’ chameleon: Exploring the many disciplinary definitions, goals, and forms of “green infrastructure.” Landscape and Urban Planning. [CrossRef]
  4. Bai X., Nath, I., Capon A., Hasan N., & Jaron D. (2012). Health and wellbeing in the changing urban environment: complex challenges, scientific responses, and the way forward. Current Opinion in Environmental Sustainability, 4(4), 465–472. [CrossRef]
  5. Baptiste, A. K. (2014). “Experience is a great teacher”: citizens’ reception of a proposal for the implementation of green infrastructure as stormwater management technology. Community Development, 45(4), 337–352. [CrossRef]
  6. Lin.B.B, Meyers. J.A., & Barnett.G.B.. (2018). Establishing Priorities for Urban Green Infrastructure Research in Australia. Urban Policy and Research, 37(1), 30–44. [CrossRef]
  7. Brokking, P., Mörtberg. U., & Balfors. B. (2021). Municipal Practices for Integrated Planning of Nature-Based Solutions in Urban Development in the Stockholm Region. Sustainability, 13(18), 10389. [CrossRef]
  8. Bush. J., Ashley. G., Foster, B., & Hall. G. (2021). Integrating Green Infrastructure into Urban Planning: Developing Melbourne’s Green Factor Tool. Urban Planning, 6(1), 20–31. [CrossRef]
  9. Wamsler.C., Luederitz.C., & Brink.E., (2014). Local levers for change: Mainstreaming ecosystem-based adaptation into municipal planning to foster sustainability transitions. Global Environmental Change, 189–201. [CrossRef]
  10. Calderón-Contreras, R., & Quiroz-Rosas, L. E. (2017). Analysing scale, quality and diversity of green infrastructure and the provision of Urban Ecosystem Services: A case from Mexico City. Ecosystem Services, 23, 127–137. [CrossRef]
  11. Centre for Science and Environment. (2024, May). CSE study tracks heat wave; exposes dangerous trends in India’s biggest cities.
  12. Deely. J., Hynes, S., Barquín. J., Burgess. D., Finney. G., Alvarez-Martínez. J. M., Bailly. D., & Ball´e-B´eganton. J. (2020). Barrier identification framework for the implementation of blue and green infrastructures. Land Use Policy, 99. [CrossRef]
  13. Donnell. E. C. O., Lamond. J. E., & Thorne. C. R. (2017). Recognising barriers to implementation of Blue-Green Infrastructure: a Newcastle case study. Urban Water Journal, 14(9), 964–971. [CrossRef]
  14. Eggimann. S. (2022). Expanding urban green space with superblocks. Land Use Policy, 117, 106111. [CrossRef]
  15. Eshetu. S.B., Yeshitela. K., & Stefan. S. (2021). Urban Green Space Planning, Policy Implementation, and Challenges: The Case of Addis Ababa. Sustainability. [CrossRef]
  16. Fluhrer. T., Chapa, F., & Hack, J. (2021). A Methodology for Assessing the Implementation Potential for Retrofitted and Multifunctional Urban Green Infrastructure in Public Areas of the Global South. Sustainability, 13(1), 384. [CrossRef]
  17. Gupta. A., & De. B. (2024). A systematic review on urban blue-green infrastructure in the south Asian region: recent advancements, applications, and challenges. Water Science & Technology, 89(2), 382–403. [CrossRef]
  18. Handbook of Urban Statistics. (2019).
  19. Harrington. E., & Hsu. D. (2018). Roles for government and other sectors in the governance of green infrastructure in the U.S. Environmental Science & Policy, 88, 104–115. [CrossRef]
  20. Jakaitis. J., & Kazimieras Paliulis. N. (2013). PUBLIC-PRIVATE PARTNERSHIP: IMPROVING LANDSCAPE QUALITY OF MODERN COMMUNITIES. JOURNAL OF ARCHITECTURE AND URBANISM, 37(1), 31–41. [CrossRef]
  21. Jayasawal. N., & Saha. S. (2014). Urbanization in India: An Impact Assessment. International Journal of Applied Sociology, 4(2), 60–65.
  22. Kim, H. W., & Tran. T. (2018). An Evaluation of Local Comprehensive Plans Toward Sustainable Green Infrastructure in US. Sustainability, 10(11), 4143. [CrossRef]
  23. Kimic, K., & Ostrysz. K. (2021). Assessment of Blue and Green Infrastructure Solutions in Shaping Urban Public Spaces—Spatial and Functional, Environmental, and Social Aspects. Sustainability, 13(19), 11041. [CrossRef]
  24. Liu. H., Hamel. P., Tardieu. L., Remme. R. P., Han. B., & Ren. H. (2022). A geospatial model of nature-based recreation for urban planning: Case study of Paris, France. Land Use Policy, 117. [CrossRef]
  25. Liu. L., & Jensen. M. B. (2018). Green infrastructure for sustainable urban water management: Practices of five forerunner cities. Cities, 74, 126–133. [CrossRef]
  26. Liu.L., Fryd.O., & Zhang.S. (2019). Blue-Green Infrastructure for Sustainable Urban Stormwater Management—Lessons from Six Municipality-Led Pilot Projects in Beijing and Copenhagen. Water. [CrossRef]
  27. McPhillips. L. E., & Matsler. A. M. (2018). Temporal Evolution of Green Stormwater Infrastructure Strategies in Three US Cities. Frontiers in Built Environment, 4. [CrossRef]
  28. Meerow. S., Helmrich. A. M., Andrade. R., & Larson. K. L. (2021). How do heat and flood risk drive residential green infrastructure implementation in Phoenix, Arizona? Urban Ecosystems, 24, 989–1000. [CrossRef]
  29. Mell. I. C. (2013). Can you tell a green field from a cold steel rail? Examining the “green” of Green Infrastructure development. Local Environment, 18:2, 152–166. [CrossRef]
  30. Ministry of Jal Shakti, P. R. (n.d.). MCG Launches Global River Cities Alliance at the United Nations Climate Change Conference in Dubai. https://Pib.Gov.in/PressReleaseIframePage.Aspx?PRID=1985500.
  31. Page.M.J., McKenzie.J.E., Bossuyt.P.M., Boutron.L.,.HoffmanT.C., Mulrow.C.D., Shamsheer.L., Tezlaff.J.M., Akl.E.A., Brennan.S.E., Chou.R., Glanville.J., Grimshaw.J,M., Hrobarstsson.A., Lalu.M.M., Li.T., Loder.E:W., Mayo-Wilson.E., McDonald.S., Moher.D.. (2021). The PRISMA 2020 statement: an updated guideline for reporting systematic reviews.
  32. Nieuwenhuijsen. M., de Nazelle. A., Pradas. M. C., Daher. C., Dzhambov. A. M., Echave. C., Gössling. S., Iungman. T., Khreis. H., Kirby. N., Khomenko. S., Leth. U., Lorenz. F., Matkovic. V., Müller. J., Palència. L., Pereira Barboza. E., Pérez. K., Tatah. L., Mueller. N. (2024). The Superblock model: A review of an innovative urban model for sustainability, liveability, health and well-being. Environmental Research, 251, 118550. [CrossRef]
  33. O’Donnell. E., Netusil. N., Chan. F., Dolman. N., & Gosling. S. (2021). International Perceptions of Urban Blue-Green Infrastructure: A Comparison across Four Cities. Water, 13(4), 544. [CrossRef]
  34. Pagliacci. F., Defrancesco. E., Bettella. F., & D’Agostino. V. (2020). Mitigation of Urban Pluvial Flooding: What Drives Residents’ Willingness to Implement Green or Grey Stormwater Infrastructures on Their Property? Water. [CrossRef]
  35. Piacentini. S. M., & Rossetto. R. (2020). Attitude and Actual Behaviour towards Water-Related Green Infrastructures and Sustainable Drainage Systems in Four North-Western Mediterranean Regions of Italy and France. Water, 12(5), 1474. [CrossRef]
  36. Pierce. G., Gmoser-Daskalakis. K., Rippy. M. A., Holden. P. A., Grant. S. B., Feldman, D. L., & Ambrose. R. F. (2021). Environmental Attitudes and Knowledge: Do They Matter for Support and Investment in Local Stormwater Infrastructure? Society & Natural Resources. [CrossRef]
  37. Qiao. X.-J., Liao. K.-H., & Randrup. T. B. (2020). Sustainable stormwater management: A qualitative case study of the Sponge Cities initiative in China. Sustainable Cities and Society, 53, 101963. [CrossRef]
  38. Manish.R., & Ram.A.. (2019). Urban Green Spaces and Their Need in Cities of Rapidly Urbanizing India: A Review. Urban Science, 3(3). [CrossRef]
  39. Rathee. G. (2014). Trends of Land-Use Change in India. In Urbanization in Asia (Vol. 10, Issue 12, pp. 215–238). Springer India. [CrossRef]
  40. Turaga.R.M.R., Thakur.U.J., Chakrabarti.S., & Hossain.D.. (2019). Exploring the role of Urban Green Spaces in “smartening” cities in India. Impact Assessment and Project Appraisal. [CrossRef]
  41. Riveros. R.R., Altamirano.A., La Barrera.F.D., Rozas – Vasquez.D., Vieli.L., & Meli.P. (2021). Linking public urban green spaces and human well-being: A systematic review. Urban Forestry & Urban Greening, 61.
  42. Sadashivam. T., & Tabassu. S. (2016). Trends of urbanization in India: Issues and Challenges in the 21st Century. International Journal of Information Research and Review, 03(05), 2375–2384.
  43. Mankikar.S.D. (2020). Formulating open-space policies for India’s cities: The case of Mumbai.
  44. Selod. H., & Shilpi. F. (2021). Rural-urban migration in developing countries: Lessons from the literature. Regional Science and Urban Economics, 91, 103713. [CrossRef]
  45. Shaban. A., Kourtit. K., & Nijkamp. P. (2020). India’s Urban System: Sustainability and Imbalanced Growth of Cities. Sustainability. [CrossRef]
  46. Shackleton. R. T., Angelstam. P., van der Waal. B., & Elbakidze. M. (2017). Progress made in managing and valuing ecosystem services: a horizon scan of gaps in research, management and governance. Ecosystem Services, 27, 232–241. [CrossRef]
  47. Solène G., Andrew J. D., William E.K., & Martin D. (2019). Untangling the motivations of different stakeholders for urban greenspace conservation in sub-Saharan Africa. Ecosystem Services, 36, 100904. [CrossRef]
  48. Araaf.T.F., & Hoferdy.Z. (2018). Mitigating climate change related floods in urban poor areas: Green infrastructure approach. Journal of Regional and City Planning, 29(2), 98–112.
  49. The Times Of India. (n.d.). Only 9% of public parking spaces build by private developers handed to BMC.
  50. Thiis. T. K., Gaitani. N., Burud. I., & Engan. J. A. (2018). Classification of urban blue green structures with aerial measurements. International Journal of Sustainable Development and Planning, 13(04), 506–515. [CrossRef]
  51. Thorne. C. R., Lawson. E. C., Ozawa. C., Hamlin. S. L., & Smith. L. A. (2018). Overcoming uncertainty and barriers to adoption of Blue-Green Infrastructure for urban flood risk management. Journal of Flood Risk Management, 11(S2), S960–S972. [CrossRef]
  52. UN Habitat. (2022). World Cities Report 2022.
  53. United Nations Conference on Trade and Development. (2015). Science, Technology and Innovation for Sustainable Urbanization.
  54. Van Zy. B., Cilliers. E. J., Lategan. L. G., & Cilliers. S. S. (2021). Closing the Gap Between Urban Planning and Urban Ecology: A South African Perspective. Urban Planning, 6(4), 122–134. [CrossRef]
  55. Avashia.V., & Garg.A.. (2020). Implications of land use transitions and climate change on local flooding in urban areas: An assessment of 42 Indian cities. Land Use Policy, 95. [CrossRef]
  56. Venkataramanan.V., Packman.A., Peters.D.R., Lopez.D., McCuskey.D.J., McDonald.R.I., Miller.W.M, & Young.S.L. (2019). A systematic review of the human health and social well-being outcomes of green infrastructure for stormwater and flood management. Journal of Environmental Management, 246, 868–880. [CrossRef]
  57. Woodruff. S., Bae. J., Sohn. W., Newman. G., Tran. T., Lee. J., Wilkins. C., Van Zandt. S., & Ndubisi. F. (2022). Planning, development pressure, and change in green infrastructure quantity and configuration in coastal Texas. Land Use Policy, 114, 105893. [CrossRef]
  58. Woodruff. S., Tran. T., Lee. J., Wilkins, C., Newman. G., Ndubisi. F., & Van Zandt. S. (2021). Green infrastructure in comprehensive plans in coastal Texas. Journal of Environmental Planning and Management, 64(9), 1578–1598. [CrossRef]
  59. Yirga Ayele. B., Megento. T. L., & Habetemariam. K. Y. (2021). ‘“Governance of green infrastructure planning in Addis Ababa, Ethiopia.”’ Land Use Policy, 111, 105777. [CrossRef]
  60. Yu. Y., Xu. H., Wang. X., Wen. J., Du. S., Zhang. M., & Ke. Q. (2019). Residents’ Willingness to Participate in Green Infrastructure: Spatial Differences and Influence Factors in Shanghai, China. Sustainability. [CrossRef]
  61. Zuniga-Teran, A. A., Staddon, C., Vito, L. de, Gerlak, A. K., Ward, S., Schoeman, Y., Hart, A., & Booth, G. (2019). Challenges of mainstreaming green infrastructure in built environment professions. Journal of Environmental Planning and Management. [CrossRef]
  62. Zwierzchowska, I., Fagiewicz, K., Poniży, L., Lupa, P., & Mizgajski, A. (2019). Introducing nature-based solutions into urban policy – facts and gaps. Case study of Poznań. Land Use Policy, 85, 161–175. [CrossRef]
  63. “ Sckit-learn”. 6.2. Feature Extraction. https://sckit-learn.org/stable/modules/feature_extraction.html.
Figure 1. Rise in research articles on the topics of “GI” and “implementation”, particularly from 2016 onward. Source: Scopus Search Analytics.
Figure 1. Rise in research articles on the topics of “GI” and “implementation”, particularly from 2016 onward. Source: Scopus Search Analytics.
Preprints 166372 g001
Figure 2. Flow diagram of the article search and selection process based on the Preferred Reporting Items for Systematic Reviews and Meta-Analysis (PRISMA) statement (Page et al., 2021)..
Figure 2. Flow diagram of the article search and selection process based on the Preferred Reporting Items for Systematic Reviews and Meta-Analysis (PRISMA) statement (Page et al., 2021)..
Preprints 166372 g002
Map 1. Map showing the worldwide distribution of the country and city cases analyzed in this review across developed and developing countries.
Map 1. Map showing the worldwide distribution of the country and city cases analyzed in this review across developed and developing countries.
Preprints 166372 g003
Figure 3. Documents by country or territory after applying the SCOPUS filters (see Figure 2). Source: Scopus Search Analytics.
Figure 3. Documents by country or territory after applying the SCOPUS filters (see Figure 2). Source: Scopus Search Analytics.
Preprints 166372 g004
Figure 4. Word clouds highlighting the key topics covered under each of the eight thematic areas, created using the Python programming language.
Figure 4. Word clouds highlighting the key topics covered under each of the eight thematic areas, created using the Python programming language.
Preprints 166372 g005
Figure 5. Number of city case studies related to the thematic areas in this review.
Figure 5. Number of city case studies related to the thematic areas in this review.
Preprints 166372 g006
Table 1. Types of BGI solutions for three-dimensional placement sites as listed. Source: Kimic & Ostrysz, (2021).
Table 1. Types of BGI solutions for three-dimensional placement sites as listed. Source: Kimic & Ostrysz, (2021).
Placement Type of BGI Solutions
On the surface Runoff troughs, grassed swales, infiltration trenches, vegetated swales, bio retention basins, grassed retention and infiltration basins, rain gardens, wetland ponds, surface water reservoirs, water squares, permeable pavements
Underground Infiltration wells, infiltration boxes, structural tree-root cells, underground water reservoirs
Above the surface Blue roofs, green roofs, green walls
Disclaimer/Publisher’s Note: The statements, opinions and data contained in all publications are solely those of the individual author(s) and contributor(s) and not of MDPI and/or the editor(s). MDPI and/or the editor(s) disclaim responsibility for any injury to people or property resulting from any ideas, methods, instructions or products referred to in the content.
Copyright: This open access article is published under a Creative Commons CC BY 4.0 license, which permit the free download, distribution, and reuse, provided that the author and preprint are cited in any reuse.
Prerpints.org logo

Preprints.org is a free preprint server supported by MDPI in Basel, Switzerland.

Subscribe

Disclaimer

Terms of Use

Privacy Policy

Privacy Settings

© 2026 MDPI (Basel, Switzerland) unless otherwise stated