Submitted:
23 June 2025
Posted:
24 June 2025
You are already at the latest version
Abstract
Keywords:
1. Introduction
1.1. Discourse Functions of Filled Pauses Uh and Um
1.2. Children Who Are Hard of Hearing
1.3. The Current Study
- Do CHH and their peers with typical hearing differ in their use of um and uh?
- 2.
- Will children differ in the use of um and uh depending on discourse contexts?
- 3.
- Is variation in the use of filled pauses associated with language ability in CTH and CHH?
2. Materials and Methods
2.1. Participants
2.2. Procedures
2.3. Audiologic Assessment and Hearing Aid Verification
2.4. Language Sample
2.5. Statistical Analyses
3. Results
3.1. Effects of Hearing Status and Language Discourse Context on Filled Pauses
3.2. Associations Between Filled Pauses and Language Abilities
4. Discussion
4.1. Effect of Hearing Status on the Rate of Filled Pauses
4.2. Effect of Language Context on the Rate of Filled Pauses
4.3. Individual Differences in Filled Pauses
4.4. Limitations
5. Conclusions
Author Contributions
Funding
Institutional Review Board Statement
Informed Consent Statement
Data Availability Statement
Acknowledgments
Conflicts of Interest
Abbreviations
| CHH | Children who are hard of hearing |
| CTH | Children with typical hearing |
Appendix A
- Do you have any pets at home? (if yes) Tell me about your pets.
- Do you have a favorite TV show or movie? Tell me about it.
- Do you like to read books or magazines? (if yes) Which ones?
- Now do you want to ask me anything? (allow 1-2 quick questions)
References
- ANSI. (1997). S3.5-1997 R-2007, American National Standards methods for the calculation of the Articulation Index. American National Standards Institute.
- ANSI (2003). S3.22–2003. Specifications of Hearing Aid Characteristics. New York, NY: American National Standards Institute.
- Arnold, J. E., Fagnano, M., & Tanenhaus, M. K. (2003). Disfluencies signal theee, um, new information. Journal of Psycholinguistic Research, 32, 25-36.
- Bagatto, M.; Moodie, S.; Brown, C.; Malandrino, A.; Richert, F.; Clench, D.; Scollie, S. Prescribing and Verifying Hearing Aids Applying the American Academy of Audiology Pediatric Amplification Guideline: Protocols and Outcomes from the Ontario Infant Hearing Program. J. Am. Acad. Audiol. 2016, 27, 188–203. [Google Scholar] [CrossRef]
- Bagatto, M.; Moodie, S.; Scollie, S.; Seewald, R.; Pumford, J.; Liu, K.P.R. Clinical Protocols for Hearing Instrument Fitting in the Desired Sensation Level Method. Trends Amplif. 2005, 9, 199–226. [Google Scholar] [CrossRef] [PubMed]
- Bailey, K. G. , & Ferreira, F. (2003). Disfluencies Affect the Parsing of Garden-Path Sentences. Journal of Memory and Language, 49(2), 183-200.
- Bortfeld, H.; Leon, S.D.; Bloom, J.E.; Schober, M.F.; Brennan, S.E. Disfluency Rates in Conversation: Effects of Age, Relationship, Topic, Role, and Gender. Lang. Speech 2001, 44, 123–147. [Google Scholar] [CrossRef]
- Brennan, S.; Williams, M. The Feeling of Another′s Knowing: Prosody and Filled Pauses as Cues to Listeners about the Metacognitive States of Speakers. J. Mem. Lang. 1995, 34, 383–398. [Google Scholar] [CrossRef]
- Brennan, S.E.; Schober, M.F. How Listeners Compensate for Disfluencies in Spontaneous Speech. J. Mem. Lang. 2001, 44, 274–296. [Google Scholar] [CrossRef]
- Centers for Disease Control and Prevention. (2020). Data and statistics about hearing loss in children. Retrieved from https://www.cdc.gov/ncbddd/hearingloss/data.html.
- Ching, T. Y. , Dillon, H., Marnane, V., Hou, S., Day, J., Seeto, M.,... & Yeh, A. (2013). Outcomes of Early-and Late-Identified Children at 3 Years of Age: Findings From a Prospective Population-Based Study. Ear and Hearing, 34(5), 535-552.
- Clark, H. H. , & Fox Tree (2002). Using Uh and Um in Spontaneous Speaking. Cognition, 84(1), 73-111.
- Cox R. M., McDaniel D. M. (1989). Development of the speech intelligibility rating (SIR) test for hearing aid comparisons. Journal of Speech, Language, and Hearing Research, 32, 347–352.
- Davis, J.M.; Elfenbein, J.; Schum, R.; Bentler, R.A. Effects of Mild and Moderate Hearing Impairments on Language, Educational, and Psychosocial Behavior of Children. J. Speech Hear. Disord. 1986, 51, 53–62. [Google Scholar] [CrossRef] [PubMed]
- de Hoog, B.E.; Langereis, M.C.; van Weerdenburg, M.; Knoors, H.; Verhoeven, L. Lexical access in children with hearing loss or specific language impairment, using the cross-modal picture–word interference paradigm. Res. Dev. Disabil. 2015, 37, 81–94. [Google Scholar] [CrossRef]
- Esbensen, A.; Thomsen, P. Word Retrieval and Lexical Organization in Children With Hearing Loss and Developmental Language Disorder. Commun. Disord. Q. 2020, 42, 238–248. [Google Scholar] [CrossRef]
- Fox Tree, J. E. (2001). Listeners' uses of um and uh in speech comprehension. Memory & Cognition, 29, 320-326.
- Goberis, D.; Beams, D.; Dalpes, M.; Abrisch, A.; Baca, R.; Yoshinaga-Itano, C. The Missing Link in Language Development of Deaf and Hard of Hearing Children: Pragmatic Language Development. Semin. Speech Lang. 2012, 33, 297–309. [Google Scholar] [CrossRef] [PubMed]
- Goodwin, M.H.; Goodwin, C. Gesture and coparticipation in the activity of searching for a word. Semiotica 1986, 62, 51–76. [Google Scholar] [CrossRef]
- Gorman, K., Olson, L., Hill, A. P., Lunsford, R., Heeman, P. A., & van Santen, J. P. (2016). Uh and Um in Children with Autism Spectrum Disorders or Language Impairment. Autism Research, 9(8), 854-865.
- Hadley, P.A. Language Sampling Protocols for Eliciting Text-Level Discourse. Lang. Speech, Hear. Serv. Sch. 1998, 29, 132–147. [Google Scholar] [CrossRef] [PubMed]
- Halliday, L.F.; Tuomainen, O.; Rosen, S. Language Development and Impairment in Children With Mild to Moderate Sensorineural Hearing Loss. J. Speech, Lang. Hear. Res. 2017, 60, 1551–1567. [Google Scholar] [CrossRef]
- Hansson, K.; Sahlén, B.; Mäki-Torkko, E. Can a ‘single hit’ cause limitations in language development? A comparative study of Swedish children with hearing impairment and children with specific language impairment. Int. J. Lang. Commun. Disord. 2007, 42, 307–323. [Google Scholar] [CrossRef]
- Heilmann, J.; Miller, J.F. Systematic Analysis of Language Transcripts Solutions: A Tutorial. Perspect. ASHA Spéc. Interes. Groups 2023, 8, 1–18. [Google Scholar] [CrossRef]
- Heinrichs-Graham, E.; Walker, E.A.; Eastman, J.A.; Frenzel, M.R.; McCreery, R.W. Amount of Hearing Aid Use Impacts Neural Oscillatory Dynamics Underlying Verbal Working Memory Processing for Children With Hearing Loss. Ear Hear. 2021, 43, 408–419. [Google Scholar] [CrossRef]
- Humes, L. Audiograms and Prevalence of Hearing Loss in U.S. Children and Adolescents 6–19 Years of Age. J. Speech, Lang. Hear. Res. 2024, 67, 3178–3200. [Google Scholar] [CrossRef]
- Irvine, C.A.; Eigsti, I.-M.; Fein, D.A. Uh, Um, and Autism: Filler Disfluencies as Pragmatic Markers in Adolescents with Optimal Outcomes from Autism Spectrum Disorder. J. Autism Dev. Disord. 2015, 46, 1061–1070. [Google Scholar] [CrossRef]
- Jerger, S.; Martin, R.C.; Damian, M.F. Semantic and phonological influences on picture naming by children and teenagers. J. Mem. Lang. 2002, 47, 229–249. [Google Scholar] [CrossRef]
- Jerger, S.; Tye-Murray, N.; Damian, M.F.; Abdi, H. Effect of Hearing Loss on Semantic Access by Auditory and Audiovisual Speech in Children. Ear Hear. 2013, 34, 753–762. [Google Scholar] [CrossRef]
- Kidd, C.; White, K.S.; Aslin, R.N. Toddlers use speech disfluencies to predict speakers’ referential intentions. Dev. Sci. 2011, 14, 925–934. [Google Scholar] [CrossRef] [PubMed]
- Klein, K.E.; Walker, E.A.; McMurray, B. Delayed Lexical Access and Cascading Effects on Spreading Semantic Activation During Spoken Word Recognition in Children With Hearing Aids and Cochlear Implants: Evidence From Eye-Tracking. Ear Hear. 2022, 44, 338–357. [Google Scholar] [CrossRef]
- Lake, J.K.; Humphreys, K.R.; Cardy, S. Listener vs. speaker-oriented aspects of speech: Studying the disfluencies of individuals with autism spectrum disorders. Psychon. Bull. Rev. 2010, 18, 135–140. [Google Scholar] [CrossRef]
- Liang, K.-Y., and Zeger, S. L. (1986). Longitudinal Data Analysis Using Generalized Linear Models. Biometrika, 73, 13–22.
- MacFarlane, H.; Gorman, K.; Ingham, R.; Hill, A.P.; Papadakis, K.; Kiss, G.; van Santen, J.; Ito, E. Quantitative analysis of disfluency in children with autism spectrum disorder or language impairment. PLOS ONE 2017, 12, e0173936. [Google Scholar] [CrossRef] [PubMed]
- Maclay, H.; Osgood, C.E. Hesitation Phenomena in Spontaneous English Speech. WORD 1959, 15, 19–44. [Google Scholar] [CrossRef]
- Marshall, C.R.; Jones, A.; Fastelli, A.; Atkinson, J.; Botting, N.; Morgan, G. Semantic fluency in deaf children who use spoken and signed language in comparison with hearing peers. Int. J. Lang. Commun. Disord. 2017, 53, 157–170. [Google Scholar] [CrossRef]
- Martin, J.G.; Strange, W. The perception of hesitation in spontaneous speech. Percept. Psychophys. 1968, 3, 427–438. [Google Scholar] [CrossRef]
- McCreery, R.W.; Walker, E.A. Variation in Auditory Experience Affects Language and Executive Function Skills in Children Who Are Hard of Hearing. Ear Hear. 2021, 43, 347–360. [Google Scholar] [CrossRef] [PubMed]
- McGregor, K. K. , & Hadden, R. R. (2020). Brief Report: "Um” Fillers Distinguish Children With and Without ASD. Journal of Autism and Developmental Disorders, 50, 1816-1821.
- Nippold, M. A. (2013). Explaining Complex Matters: How Knowledge of a Domain Drives Language. In Expository Discourse in Children, Adolescents, and Adults (pp. 41-61). Psychology Press.
- Nittrouer, S.; Lowenstein, J.H. When language outgrows them: Comprehension of ambiguous sentences in children with normal hearing and children with hearing loss. Int. J. Pediatr. Otorhinolaryngol. 2021, 141, 110514–110514. [Google Scholar] [CrossRef] [PubMed]
- Parish-Morris, J.; Liberman, M.Y.; Cieri, C.; Herrington, J.D.; Yerys, B.E.; Bateman, L.; Donaher, J.; Ferguson, E.; Pandey, J.; Schultz, R.T. Linguistic camouflage in girls with autism spectrum disorder. Mol. Autism 2017, 8, 48. [Google Scholar] [CrossRef]
- Paul, R.; Orlovski, S.M.; Marcinko, H.C.; Volkmar, F. Conversational Behaviors in Youth with High-functioning ASD and Asperger Syndrome. J. Autism Dev. Disord. 2008, 39, 115–125. [Google Scholar] [CrossRef]
- Prutting, C.A.; Kittchner, D.M. A Clinical Appraisal of the Pragmatic Aspects of Language. J. Speech Hear. Disord. 1987, 52, 105–119. [Google Scholar] [CrossRef] [PubMed]
- Rush, O.; Werfel, K.L.; Lund, E. Lexical–Semantic Organization as Measured by Repeated Word Association in Children Who Are Deaf and Hard of Hearing Who Use Spoken Language. J. Speech, Lang. Hear. Res. 2023, 66, 3925–3939. [Google Scholar] [CrossRef]
- Spencer, T.D.; Tolentino, T.J.; Foster, M.E. Impact of Discourse Type and Elicitation Task on Language Sampling Outcomes. Am. J. Speech-Language Pathol. 2023, 32, 1–19. [Google Scholar] [CrossRef]
- Stiles, D.J.; Bentler, R.A.; McGregor, K.K. The Speech Intelligibility Index and the Pure-Tone Average as Predictors of Lexical Ability in Children Fit With Hearing Aids. J. Speech, Lang. Hear. Res. 2012, 55, 764–778. [Google Scholar] [CrossRef]
- Sun, Y.; Ding, H. Pausing patterns in English school-age children with a history of late talking: Frequent pauses and prolonged response delays. J. Commun. Disord. 2025, 115, 106514. [Google Scholar] [CrossRef]
- Swerts, M. Filled pauses as markers of discourse structure. J. Pragmat. 1998, 30, 485–496. [Google Scholar] [CrossRef]
- Tomblin, J.B.; Harrison, M.; Ambrose, S.E.; Walker, E.A.; Oleson, J.J.; Moeller, M.P. Language Outcomes in Young Children with Mild to Severe Hearing Loss. Ear Hear. 2015, 36, 76S–91S. [Google Scholar] [CrossRef] [PubMed]
- Tomblin, J.B.; Oleson, J.; Ambrose, S.E.; Walker, E.A.; McCreery, R.W.; Moeller, M.P. Aided Hearing Moderates the Academic Outcomes of Children With Mild to Severe Hearing Loss. Ear Hear. 2020, 41, 775–789. [Google Scholar] [CrossRef] [PubMed]
- Tomblin, J.B.; Oleson, J.; Ambrose, S.E.; Walker, E.A.; Moeller, M.P. Early Literacy Predictors and Second-Grade Outcomes in Children Who Are Hard of Hearing. Child Dev. 2018, 91, E179–E197. [Google Scholar] [CrossRef] [PubMed]
- Vachio, M.; Lund, E.; Werfel, K.L. An Analysis of Mental State Verb and Complex Syntax Use in Children Who Are Deaf and Hard of Hearing. Lang. Speech, Hear. Serv. Sch. 2023, 54, 1282–1294. [Google Scholar] [CrossRef]
- Walker, E.A.; Redfern, A.; Oleson, J.J. Linear Mixed-Model Analysis to Examine Longitudinal Trajectories in Vocabulary Depth and Breadth in Children Who Are Hard of Hearing. J. Speech, Lang. Hear. Res. 2019, 62, 525–542. [Google Scholar] [CrossRef]
- Wehrle, S.; Grice, M.; Vogeley, K. Filled Pauses Produced by Autistic Adults Differ in Prosodic Realisation, but not Rate or Lexical Type. J. Autism Dev. Disord. 2023, 54, 2513–2525. [Google Scholar] [CrossRef]
- Werfel, K.L.; Douglas, M. Are We Slipping Them Through the Cracks? The Insufficiency of Norm-Referenced Assessments for Identifying Language Weaknesses in Children With Hearing Loss. Perspect. ASHA Spéc. Interes. Groups 2017, 2, 43–53. [Google Scholar] [CrossRef]
- Werfel, K.L.; Reynolds, G.; Hudgins, S.; Castaldo, M.; Lund, E.A. The Production of Complex Syntax in Spontaneous Language by 4-Year-Old Children With Hearing Loss. Am. J. Speech-Language Pathol. 2021, 30, 609–621. [Google Scholar] [CrossRef]


| Test Variable | CHH Mean (SD) |
CTH Mean (SD) |
Between Group p-values |
|---|---|---|---|
| Age (years) | 10.38 (.34) | 10.33 (.40) | p = .49 |
| Maternal education level (years) | 15.79 (2.65) | 16.58 (3.27) | p = .21 |
| WJTA-III Picture Vocabulary SS | 99.48 (16.42) | 114.80 (13.55) | p =.04* |
| CELF-5 Formulated Sentences SS | 48.59 (11.04) | 56.66 (9.66) | p = .04* |
| Better-ear PTA (dB HL) | 45.36 (15.26) | <20 | NA |
| Better-Ear Aided SII | 78.72 (.13) | NA | NA |
| Age at HL confirmation (months) | 20.09 (21.56) | NA | NA |
| Age at HA fit (months) | 23.55 (22.36) | NA | NA |
| CDHH | CTH | |||||
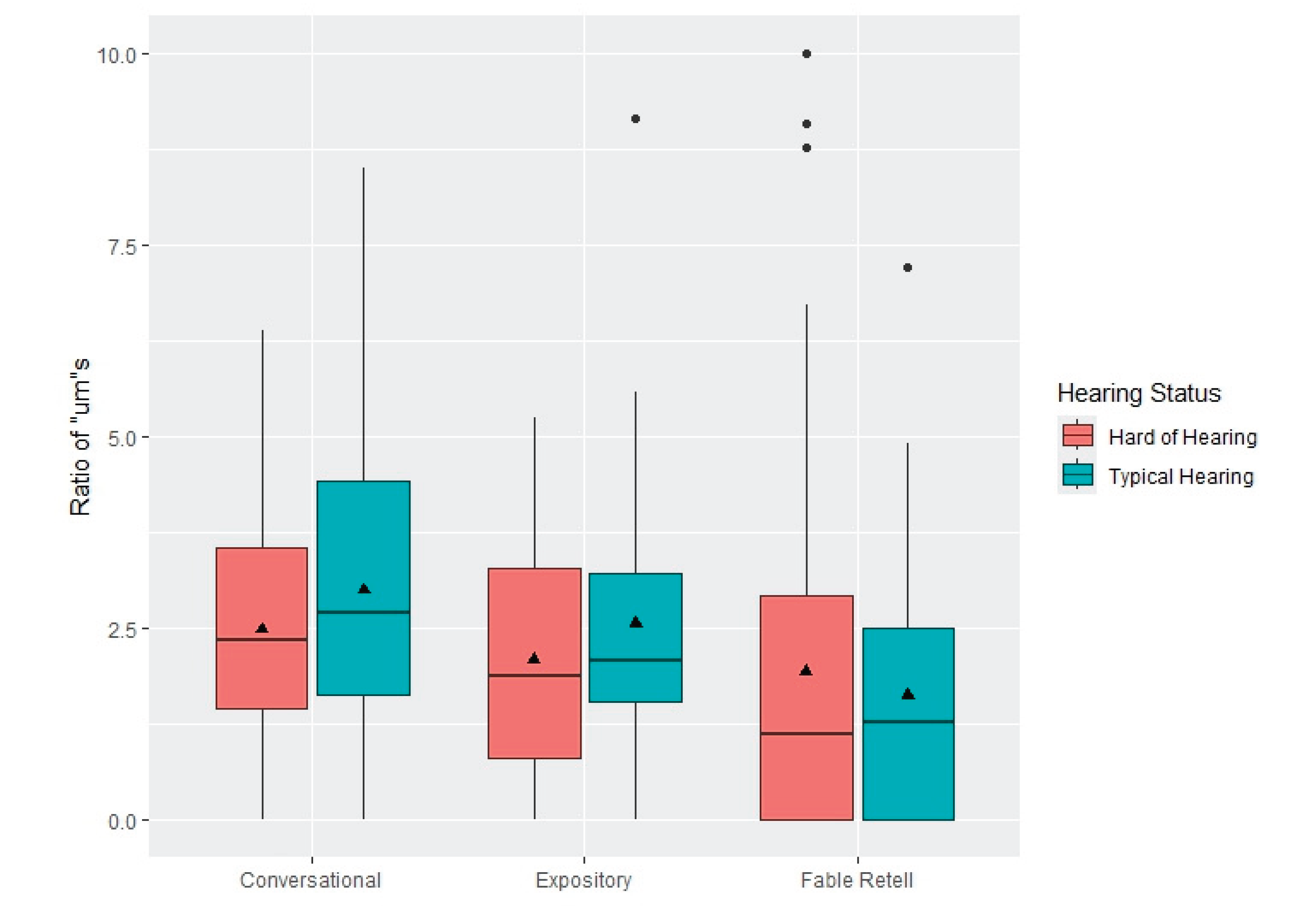
| Test Variable | Median | Mean | SD | Median | Mean | SD |
| Conversational uh ratio | 0.31 | 0.58 | 0.73 | 0.24 | 0.36 | 0.36 |
| Conversational um ratio | 2.35 | 2.49 | 1.54 | 2.70 | 3.00 | 1.88 |
| Expository uh ratio | 0.23 | 0.46 | 0.67 | 0.00 | 0.21 | 0.34 |
| Expository um ratio | 1.87 | 2.09 | 1.51 | 2.08 | 2.55 | 1.75 |
| Fable retell uh ratio | 0.00 | 0.49 | 0.99 | 0.00 | 0.26 | 0.53 |
| Fable retell um ratio | 1.13 | 1.94 | 2.51 | 1.28 | 1.62 | 1.83 |
Disclaimer/Publisher’s Note: The statements, opinions and data contained in all publications are solely those of the individual author(s) and contributor(s) and not of MDPI and/or the editor(s). MDPI and/or the editor(s) disclaim responsibility for any injury to people or property resulting from any ideas, methods, instructions or products referred to in the content. |
© 2025 by the authors. Licensee MDPI, Basel, Switzerland. This article is an open access article distributed under the terms and conditions of the Creative Commons Attribution (CC BY) license (http://creativecommons.org/licenses/by/4.0/).