Submitted:
23 June 2025
Posted:
25 June 2025
You are already at the latest version
Abstract
Keywords:
1. Introduction
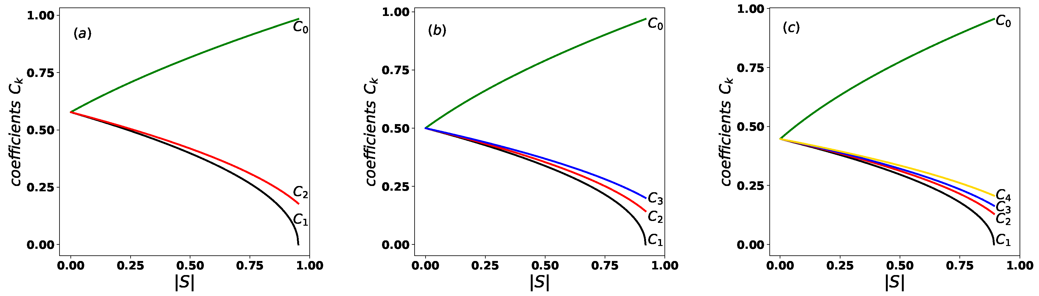
2. Equidistant States
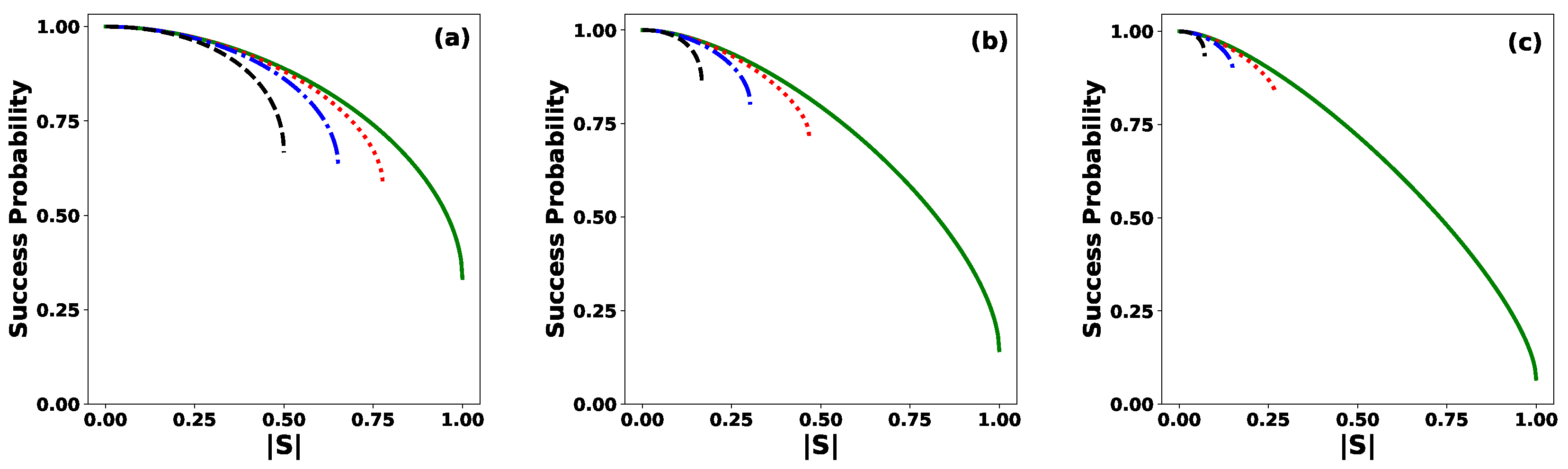
3. Minimum Error Discrimination
4. Quantum Coherence
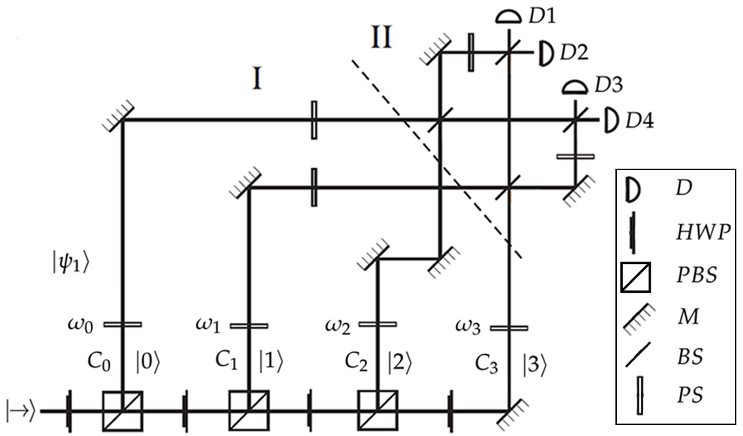
5. Channel Without Entanglement
6. Classical Correlations and Quantum Discord
7. Conclusions
Author Contributions
Funding
Conflicts of Interest
References
- Gisin, N.; Thew, R. Quantum communication. Nature Photon 2007, 1, 165–171. [Google Scholar] [CrossRef]
- Vallone, G.; Bacco, D.; Dequal, D.; Gaiarin, S.; Luceri, V.; Bianco, G.; Villoresi, P. Experimental Satellite Quantum Communications. Phys. Rev. Lett. 2015, 115, 040502. [Google Scholar] [CrossRef] [PubMed]
- Bergou, J.; Hillery, M. Introduction to the Theory of Quantum Information Processing; Springer Science + Business Media: New York, NY, USA, 2013. [Google Scholar]
- Barnett, S.M.; Croke, S. Quantum State Discrimination. Adv. Opt. Photon. 2009, 1, 238–278. [Google Scholar] [CrossRef]
- Bennett, C.H.; Brassard, G. Quantum Cryptography: Public Key Distribution and Coin Tossing. Theoretical Computer Science 1984, 560, 175–179. [Google Scholar] [CrossRef]
- Holevo, A. S. Statistical Decision Theory for Quantum Systems. J. Multivariate Anal. 1973, 3, 337–394. [Google Scholar] [CrossRef]
- Yuen, H. P.; Kennedy, R. S.; Lax, M. Optimum testing of multiple hypothesis in quantum detection theory. IEEE Transactions on Information Theory 1975, 21, 125. [Google Scholar] [CrossRef]
- Helstrom, C. W. Quantum Detection and Estimation Theory; Academic Press, 1976. [Google Scholar]
- Dall’Arno, M.; D’Ariano, G. M.; Sacchi, M.F. Informational power of quantum measurements. Phys. Rev. A 2011, 83, 062304. [Google Scholar] [CrossRef]
- Sasaki, M.; Barnett, S.; Jozsa, R.; Osaki, M.; Hirota, O. Accessible information and optimal strategies for real symmetrical quantum sources. Phys. Rev. A 1999, 59, 3325. [Google Scholar] [CrossRef]
- Levitin, L.B. Optimal quantum measurements for two pure and mixed states. In Quantum Communications and Measurement; Belavkin, V.P., Hirota, O., Hudson, R.L., Eds.; Plenum: New York, NY, USA, 1995; pp. 439–448. [Google Scholar]
- Clarke, R. B. M.; Kendon, V. M.; Chefles, A.; Barnett, S. M.; Riis, E.; Sasaki, M. Experimental realization of optimal detection strategies for overcomplete states. Phys. Rev. A 2001, 64, 012303. [Google Scholar] [CrossRef]
- Nakahira, K.; Kato, K.; Usuda, T.S. Generalized quantum state discrimination problems. Phys. Rev. A 2015, 91, 052304. [Google Scholar] [CrossRef]
- Jiménez, O.; Solís-Prosser, M.A.; Neves, L.; Delgado, A. Quantum Discord, Thermal Discord, and Entropy Generation in the Minimum Error Discrimination Strategy. Entropy 2019, 21, 263. [Google Scholar] [CrossRef]
- Jiménez, O.; Solís-Prosser, M.A.; Neves, L.; Delgado, A. Mutual Information and Quantum Discord in Quantum State Discrimination with a Fixed Rate of Inconclusive Outcomes. Entropy 2021, 23, 76. [Google Scholar] [CrossRef] [PubMed]
- Suzuki, J.; Assad, S.M.; Englert, B. Accessible information about quantum states: An open optimization problem. In Mathematics of Quantum Computation and Quantum Technology, 1st ed.; Chapman and Hall/CRC, 2007. [Google Scholar]
- Ban, M.; Kurokawa, K.; Momose, R.; Hirota, O. Optimun Measurements for Discrimination Among Symmetric Quantum States and Parameter Estimation. International Journal of Theoretical Physics 1997, 36. [Google Scholar] [CrossRef]
- Barnett, S. Minimum-error discrimination between multiply symmetric states. Phys. Rev. A, 2001, 64, 030303(R). [Google Scholar] [CrossRef]
- Chou, C.L.; Hsu, L.Y. Minimum-error discrimination between symmetric mixed quantum states. Phys. Rev. A 2003, 68, 042305. [Google Scholar] [CrossRef]
- Jafarizadeh, M.A.; Sufiani, R.; Khiavi, Y.M. Minimum error discrimination between similarity-transformed quantum states. Phys. Rev. A 2011, 84, 012102. [Google Scholar] [CrossRef]
- Bae, J. Structure of minimum-error quantum state discrimination. New J. Phys. 2013, 15, 073037. [Google Scholar] [CrossRef]
- Varga, A.; Adam, P.; Bergou, J. A. Maximum information measurement for qubit states. Scientifec Reports 2024, 14, 11888. [Google Scholar] [CrossRef]
- Shor, P. On the number of elements needed in a POVM attaining the accessible information (2000) quant-ph/0009077.
- Oreshkov, O.; Calsamiglia, J.; Muñoz-Tapia, R.; Bagan, E. Optimal signal states for quantum detectors. New J. Phys. 2011, 13, 073032. [Google Scholar] [CrossRef]
- Ban, M.; Osaki, M.; Hirota, O. Upper bound of the accessible information and lower bound of the Bayes cost in quantum signal-detection processes. Phys. Rev. A 1996, 54, 2718. [Google Scholar] [CrossRef]
- Fuchs, C. A.; Caves, C.M. Ensamble-Dependent Bounds for Accessible Information in Quantum Mechanics. Phys. Rev. Lett. 1994, 73, 3047. [Google Scholar] [CrossRef] [PubMed]
- Roa, L.; Delgado, A.; Fuentes-Guridi, I. Optimal conclusive teleportation of quantum states. Phys. Rev. A 2003, 68, 022310. [Google Scholar] [CrossRef]
- Neves, L.; Solís-Prosser, M. A.; Delgado, A.; Jiménez, O. Quantum teleportation via maximum-confidence quantum measurements. Phys. Rev. A 2012, 85, 062322. [Google Scholar] [CrossRef]
- Delgado, A.; Roa, L.; Retamal, J. C.; Saavedra, C. Entanglement swapping via quantum state discrimination. Phys. Rev. A 2005, 71, 012303. [Google Scholar] [CrossRef]
- Solís-Prosser, M. A.; Delgado, A.; Jiménez, O.; Neves, L. Deterministic and probabilistic entanglement swapping of nonmaximally entangled states assisted by optimal quantum state discrimination. Phys. Rev. A 2014, 89, 012337. [Google Scholar] [CrossRef]
- Phoenix, S. J. D.; Barnett, S. M.; Chefles, A. Three-state quantum cryptography. J. Mod. Opt. 2000, 47, 507. [Google Scholar] [CrossRef]
- Pati, A. K.; Parashar, P.; Agrawal, P. Probabilistic superdense coding. Phys. Rev. A 2005, 72, 012329. [Google Scholar] [CrossRef]
- Barnett, S. M.; Riis, E. Experimental demonstration of polarization discrimination at the Helstrom bound. J. Mod. Opt. 1997, 44, 1061. [Google Scholar] [CrossRef]
- Waldherr, G.; Dada, A. C.; Neumann, P.; Jelezko, F.; Andersson, E.; Wrachtrup, J. Distinguishing between Nonorthogonal Quantum States of a Single Nuclear Spin. Phys. Rev. Lett. 2012, 109, 180501. [Google Scholar] [CrossRef]
- Solís-Prosser, M.A.; Fernandes, M.F.; Jiménez, O.; Delgado, A.; Neves, L. Experimental Minimum-Error Quantum-State Discrimination in High Dimensions. Phys. Rev. Lett. 2017, 118, 100501. [Google Scholar] [CrossRef]
- Roa, L.; Hermann-Avigliano, C.; Salazar, R.; Klimov, A. B. Conclusive discrimination among N equidistant pure states. Phys. Rev. A 2011, 84, 014302. [Google Scholar] [CrossRef]
- Paiva-Sánchez, C.; Burgos-Inostroza, E.; Jiménez, O.; Delgado, A. Quantum tomography via equidistant states. Phys. Rev. A 2010, 82, 032115. [Google Scholar] [CrossRef]
- Jiménez, O.; Roa, L.; Delgado, A. Probabilistic cloning of equidistant states. Phys. Rev. A 2010, 82, 022328. [Google Scholar] [CrossRef]
- Raynal, P.; Lütkenhaus, N.; Van Enk, S.J. Reduction theorems for optimal unambiguous state discrimination of density matrices. Phys. Rev. A 2003, 68, 022308. [Google Scholar] [CrossRef]
- Jiménez, O.; Sánchez-Lozano, X.; Burgos-Inostroza, E.; Delgado, A. , Saavedra, C. Experimental scheme for unambiguous discrimination of linearly independent symmetric states. Phys. Rev. A. 2007, 76, 062107. [Google Scholar] [CrossRef]
- Solís-Prosser, M.A.; Delgado, A.; Jiménez, O.; Neves, L. Parametric separation of symmetric pure quantum states. Phys. Rev. A 2016, 93, 012337. [Google Scholar] [CrossRef]
- Bromley, T.R.; Cianciaruso, M.; Adesso, G. Frozen Quantum Coherence. Phys. Rev. Lett. 2015, 114, 210401. [Google Scholar] [CrossRef]
- Streltsov, A.; Adesso, G.; Plenio, M.B. Colloquium: Quantum coherence as a resource. Rev. Mod. Phys. 2017, 89, 041003. [Google Scholar] [CrossRef]
- Baumgratz, T.; Cramer, M.; Plenio, M.B. Quantifying Coherence. Phys. Rev. Lett. 2014, 113, 140401. [Google Scholar] [CrossRef]
- Jiménez, O.; Solís-Prosser, M.A.; Delgado, A.; Neves, L. Quantum resources for assisted optimal state discrimination. Phys. Rev. Research 2024, 6, 043303. [Google Scholar] [CrossRef]
- Melo, L.F.; Jiménez, O.; Neves, L. Coherence based on positive operator-valued measures for standard and concatenated quantum state discrimination with inconclusive results. Phys. Rev. A 2025, 111, 012403. [Google Scholar] [CrossRef]
- Yuan, X.; Zhou, H.; Cao, Z.; Ma, X. Intrinsic randomness as a measure of quantum coherence. Phys. Rev. A. 2015, 92, 022124. [Google Scholar] [CrossRef]
- Bischof, F.; Kampermann, H.; Bruß, D. Quantifying coherence with respect to general quantum measurements. Phys. Rev. A. 2021, 103, 032429. [Google Scholar] [CrossRef]
- Horodecki, M.; Horodecki, P.; Horodecki, R.; Oppenheim, J.; Sen(De), A.; Sen, U.; Synak-Radtke, B. Local versus nonlocal information in quantum-information theory: Formalism and phenomena. Phys. Rev. A 2005, 71, 062307. [Google Scholar] [CrossRef]
- Groisman, B.; Popescu, S.; Winter, A. Quantum, classical, and total amount of correlations in a quantum state. Phys. Rev. A 2005, 72, 032317. [Google Scholar] [CrossRef]
- Ollivier, H.; Zurek, W.H. Quantum Discord: A Measure of the Quantumness of Correlations. Phys. Rev. Lett. 2001, 88, 017901. [Google Scholar] [CrossRef]
- Dahlsten, O.; Renner, R.; Rieper, E.; Vedral, V. Inadequacy of von Neumann entropy for characterizing extractable work. New J. Phys. 2011, 13, 053015. [Google Scholar] [CrossRef]
- Modi, K.; Brodutch, A.; Cable, H.; Paterek, T.; Vedral, V. The classical-quantum boundary for correlations: Discord and related measures. Rev. Mod. Phys. 2012, 84, 1655. [Google Scholar] [CrossRef]
- Zwolak, M.; Zurek, W.H. Complementarity of quantum discord and classically accessible information. Sci. Rep. 2013, 3, 1729. [Google Scholar] [CrossRef]
- Herderson, L.; Vedral, V. Classical, quantum and total correlations. J. Phys. A Math. Gen. 2001, 34, 6899. [Google Scholar] [CrossRef]







Disclaimer/Publisher’s Note: The statements, opinions and data contained in all publications are solely those of the individual author(s) and contributor(s) and not of MDPI and/or the editor(s). MDPI and/or the editor(s) disclaim responsibility for any injury to people or property resulting from any ideas, methods, instructions or products referred to in the content. |
© 2025 by the authors. Licensee MDPI, Basel, Switzerland. This article is an open access article distributed under the terms and conditions of the Creative Commons Attribution (CC BY) license (http://creativecommons.org/licenses/by/4.0/).