Submitted:
11 April 2025
Posted:
14 April 2025
You are already at the latest version
Abstract
Keywords:
1. Introduction
2. Materials and Methods
2.1. Sample Preparation and Experiment
2.2. Mathematical Models of Heat Transfer in Test and Reference Samples
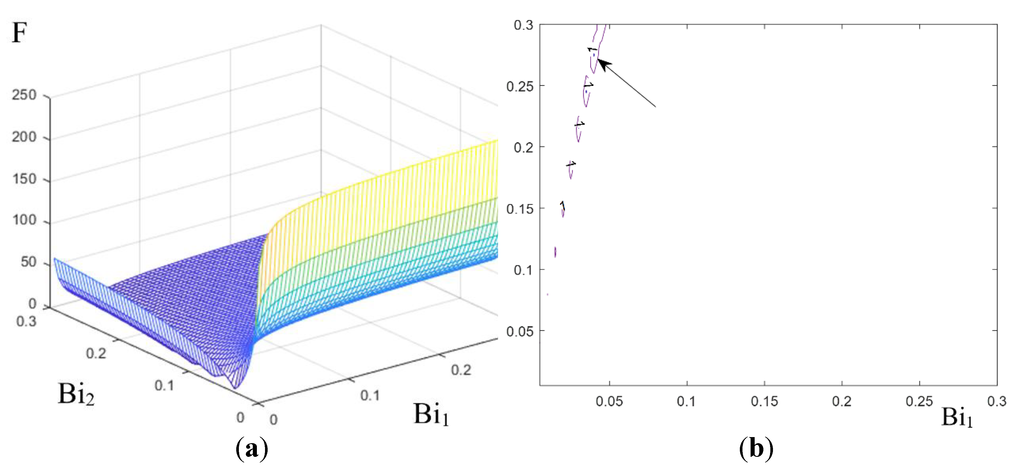
3. Results
4. Conclusions
Author Contributions
Funding
Data Availability Statement
Conflicts of Interest
References
- Heshmati, M. K.; Khiavi, H. D.; Dehghanny, J.; Baghban, H. 3D simulation of momentum, heat and mass transfer in potato cubes during intermittent microwave-convective hot air drying. Heat Mass Transf. Und Stoffuebertragung 2023, 59, 345–363. [Google Scholar] [CrossRef]
- Lamberg, I.; Hallström, B. Thermal properties of potatoes and a computer simulation of a blanching process. Int. J. Food Sci. Technol. 2007, 21, 577–585. [Google Scholar] [CrossRef]
- Costa, R. M.; Oliveira, F. A.; Delaney, O.; Gekas, V. Analysis of the heat transfer coefficient during potato frying. J. Food Eng. 1999, 39, 293–299. [Google Scholar] [CrossRef]
- Öztürk, E.; Taşkın, P. The effect of long term storage on physical and chemical properties of potato. Turk. J. Field Crops 2016, 21, 218–223. [Google Scholar] [CrossRef]
- Balabanov, P.; Egorov, A.; Divin, A.; Ponomarev, S.; et al. Mathematical Modeling of the Heat Transfer Process in Spherical Objects with Flat, Cylindrical and Spherical Defects. Computation 2024, 12, 148. [Google Scholar] [CrossRef]
- Yüksel, N. The Review of Some Commonly Used Methods and Techniques to Measure the Thermal Conductivity of Insulation Materials; Insulation Materials in Context of Sustainability, 2016; pp. 113–140. [Google Scholar] [CrossRef]
- Giedd, R.; Giedd, G. Thermal Conduction Measurements of Materials using Microwave Energy. MRS Proc. 1990, 189, 55–60. [Google Scholar] [CrossRef]
- Buyel, J.F.; Gruchow, H.M.; Tödter, N.; Wehner, M. Determination of the thermal properties of leaves by non-invasive contact-free laser probing. J. Biotechnol. 2016, 217, 100–108. [Google Scholar] [CrossRef] [PubMed]
- Jannot, Y.; Remy, B.; Degiovanni, A. Measurement of thermal conductivity and thermal resistance with a tiny hot plate. High Temp. -High Press. 2010, 39, 11–31. [Google Scholar]
- Matteis, P.; Campagnoli, E.; Firrao, D.; Ruscica, G. Thermal diffusivity measurements of metastable austenite during continuous cooling. Int. J. Therm. Sci. 2008, 47, 695–708. [Google Scholar] [CrossRef]
- Albrecht, H.; Fiorani, F.; Pieruschka, R.; Müller-Linow, M.; et al. Quantitative Estimation of Leaf Heat Transfer Coefficients by Active Thermography at Varying Boundary Layer Conditions. Front. Plant Sci. 2020, 10, 1684. [Google Scholar] [CrossRef] [PubMed]
- Zhang, J.; Kaiser, E.; Zhang, H.; et al. A simple new method to determine leaf specific heat capacity. Plant Methods 2025, 21, 1–13. [Google Scholar] [CrossRef] [PubMed]
- Wang, L.; Jin, Y.; Wang, J. A simple and low-cost experimental method to determine the thermal diffusivity of various types of foods. Am. J. Phys. 2022, 90, 568–572. [Google Scholar] [CrossRef]
- Lykov, A.V. Teoriya teploprovodnosti [Theory of thermal conductivity]; (in Russ.); Vysshaya shkola: Moscow, 1967. [Google Scholar]
- Farinu, A.; Baik, O.-D. Thermal Properties of Sweet Potato with its Moisture Content and Temperature. Int. J. Food Prop. 2007, 10, 703–719. [Google Scholar] [CrossRef]







Disclaimer/Publisher’s Note: The statements, opinions and data contained in all publications are solely those of the individual author(s) and contributor(s) and not of MDPI and/or the editor(s). MDPI and/or the editor(s) disclaim responsibility for any injury to people or property resulting from any ideas, methods, instructions or products referred to in the content. |
© 2025 by the authors. Licensee MDPI, Basel, Switzerland. This article is an open access article distributed under the terms and conditions of the Creative Commons Attribution (CC BY) license (http://creativecommons.org/licenses/by/4.0/).
