Submitted:
01 April 2025
Posted:
02 April 2025
You are already at the latest version
Abstract
Keywords:
1. Introduction
2. Thomas-Fermi Model
2.1. Thermodynamic Properties
3. Numerical Scheme
3.1. Thermodynamic Quantities
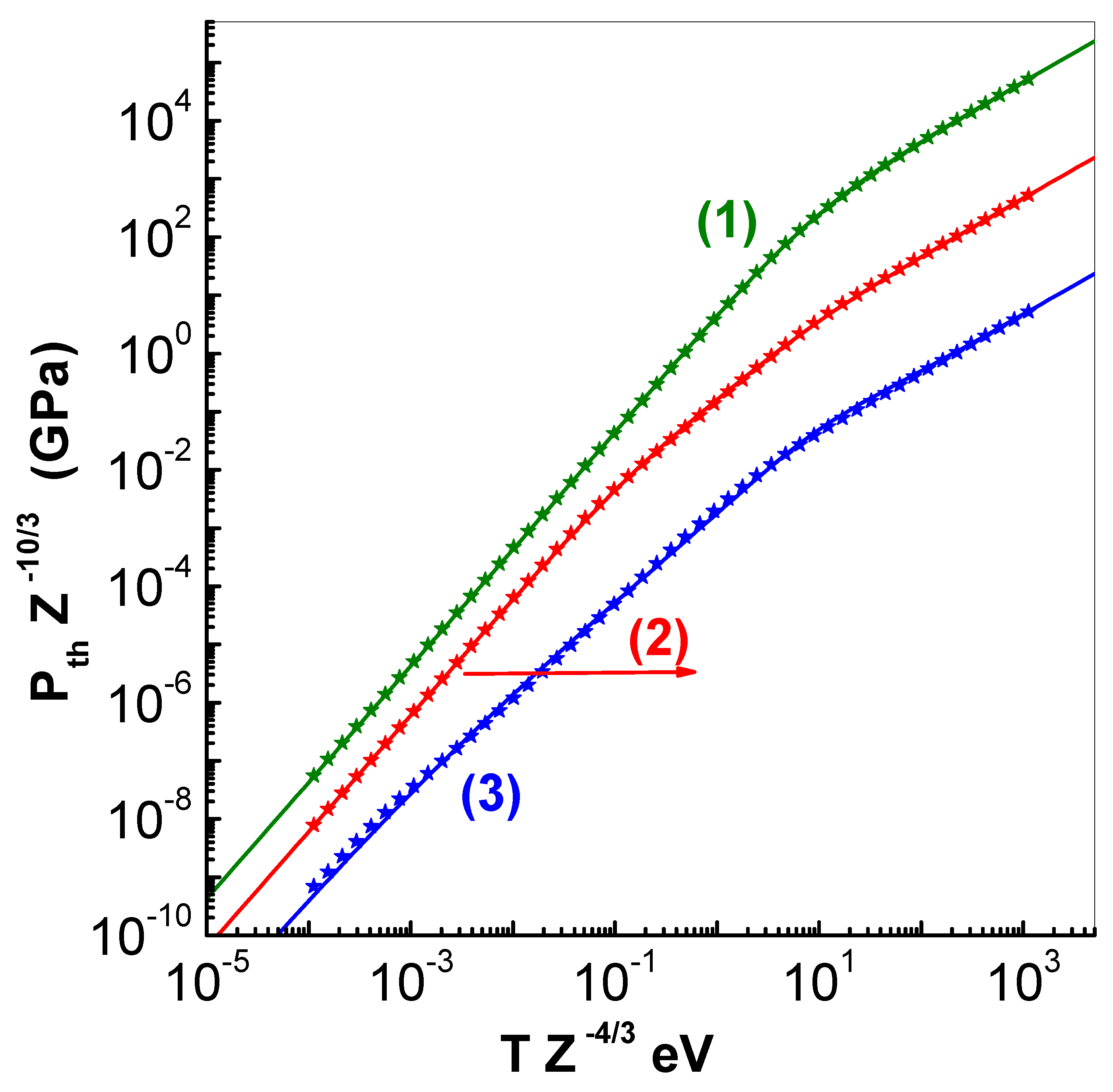
4. Analytical Representations
5. Applications
5.1. Electron Hugoniot
5.2. Hugoniot of Cu
6. Summary
References
- Thomas, L. H. The calculation of atomic fields. Proc. Cambridge Phil. Soc. 1927, 23, 542. [Google Scholar] [CrossRef]
- Fermi, E. A statistical method of determining some properties of the atom and applying it to the theory of the periodic table of elements. Z. Physik 1928, 48, 73. [Google Scholar] [CrossRef]
- R.P. Feynman, N. Metropolis ans E. Teller. Equation of state of elements based on the generalized Fermi-Thomas theory. Phys. Rev. 1949; 75, 1561.
- Latter, R. Thermal behavior of Thomas-Fermi statistical model of atoms. Phys. Rev. 1955, 99, 1854. [Google Scholar] [CrossRef]
- Shemyakin, O. P.; Levashov, P. R.; Obruchkova, L. R.; Khishchenko, K. V. Thermal contribution to thermodynamic functions in the Thomas-Fermi model. J. Phys. A: Math. Theor. 2010, 43, 335003. [Google Scholar] [CrossRef]
- Perrot, F. Zero-temperature equation of state of metals in the statistical model with density gradient correction. Physica 1979, A 98, 555. [Google Scholar] [CrossRef]
- Kalitkin, N. N.; Kuz’mina, L. V. Curves of cold compression at high pressures. Sov. Phys. Solid State 1972, 13, 1938. [Google Scholar]
- More, R. M. Quantum-statistical model for high-density matter. Phys. Rev. 1979, A 19, 1234. [Google Scholar] [CrossRef]
- Perrot, F. Gradient correction to the statistical electronic free energy at nonzero temperatures: Application to equation-of-state calculations. Phys. Rev. 1979, A 20, 586. [Google Scholar] [CrossRef]
- Shemyakin, O. P.; Levashov, P. R.; Khishchenko, K. V. Equation of state of Al based on the Thomas-Fermi model Contrib. Plasma Phys. 2012, 52, 37. [Google Scholar]
- Kormer, S. B.; Funtikov, A. I.; Urlin, V. D.; Kolesnikova, A. N. Dynamic compression of porous metals and equation of state with variable specific heat at high temperatures. Sov. Phys. JETP 1962, 15, 477. [Google Scholar]
- McCloskey, D. J. An Analytic Formulation of Equations of State. Memorandum RM-3905-PR; RAND corporation, Santa Monica, California, USA 1964.
- Baker, G. A ; Johnson, J. D. General structure of the Thomas-Fermi equation of state. Phys. Rev. 1991; 44, 2271. [Google Scholar]
- Pert, G. J. Approximations for the rapid evaluation of the Thomas-Fermi equation. J. Phys. B: At. Mol. Opt. Phys. 1999, 32, 272. [Google Scholar] [CrossRef]
- Nikiforov, A. F.; Novikov, V. G.; Uvarov, V. B. Quantum-statistical models of hot dense matter: Methods for computation of opacity and equation of state. In Progress in Mathematical Physics, volume 37, Eds: De Monvel, A.B. ; Kaiser, G. Birkhäuser Verlag, Basel, Switzerland, 2005.
- Brachman, M. Thermodynamic functions on the generalized Fermi-Thomas theory. Phys. Rev. 1951, 84, 1263. [Google Scholar] [CrossRef]
- Antia, H. M. Rational function approximations for Fermi-Dirac integrals. Astrophys. J. Suppl. Series 1993, 84, 101. [Google Scholar] [CrossRef]
- Gilvarry, J. J. Thermodynamics of the Thomas-Fermi atom at low temperature. Phys. Rev. 1954, 96, 934. [Google Scholar] [CrossRef]
- K. E. Atkinson, The numerical solution of integral equations on the second kind Cambridge University Press, Cambridge. 2009.
- K. E. Atkinson, L. F. Shampine, Algorithm 876: Solving Fredholm integral equations of the second kind in Matlab. ACM Trans. Math. Software 2008, 34, 1. [CrossRef]
- Gilvarry, J. J.; March, N. H. Asymptotic solution of the Thomas-Fermi equation for large atom radius. Phys. Rev. 1958, 112, 140. [Google Scholar] [CrossRef]
- Gilvarry, J. J. Thermodynamic functions in the Thomas-fermi atom model. J. Chem. Phys. 1969, 51, 934. [Google Scholar] [CrossRef]
- More, R. M. Pressure Ionization, Resonances, and the Continuity of Bound and Free States. In Advances in Atomic and Molecular Physics, Academic Press, INC. San Diego, USA 1985, 21, 305.
- More R M, Warren K H, Young D A and Zimmerman G B. A new quotidian equation of state (QEOS) for hot dense matter. Phys. Fluid 1988, 31, 3059. [Google Scholar] [CrossRef]
- Menon S V G and Nayak, B. An Equation of State for Metals at High Temperature and Pressure in Compressed and Expanded Volume Regions Condens. Condens. Matter, MDPI 2019, 4, 71. [Google Scholar] [CrossRef]
- Nellis, W. J. Shock compression of a free-electron gas J. Appl. Phys. 2003, 94, 272. [Google Scholar] [CrossRef]
- Vinet P, Smith J R, Ferrante J and Rose J H. Temperature effects on the universal equation of state of solids. Phys. Rev. B 1987, 35, 1945. [Google Scholar] [CrossRef] [PubMed]
- Vinet P, Rose J R, Ferrante J and Smith J R. Universal equation of state for solids. J. Phys: Cond. Matter 1989, 1, 1941.
- Kerley G I User’s Manual for PANDA II- A computer code for calculating equation of state SAND88-229.UC-405 1991.
- Menon S V G Convergence of Coupling-Parameter Expansion-Based Solutions to Ornstein–Zernike Equation in Liquid State Theory Condensed Matter (MDPI)2021, 6, 6.
- Johnson J, D. A generic model for the ionic contribution to the equation of state. High Pressure Research 1991, 6, 277. [Google Scholar] [CrossRef]
- Burakovsky L and Preston D, L. Analytic model of the Grüneisen parameter for all densities. J. Phys. and Chem.of Solids 2004, 65, 1581. [Google Scholar] [CrossRef]
- Peterson J H, Honnell K G, Greeff C, Johnson J D, Boettger J, and Crockett S. Global equation of state for copper AIP Conference Proceedings 1426, 1426, 763.









Disclaimer/Publisher’s Note: The statements, opinions and data contained in all publications are solely those of the individual author(s) and contributor(s) and not of MDPI and/or the editor(s). MDPI and/or the editor(s) disclaim responsibility for any injury to people or property resulting from any ideas, methods, instructions or products referred to in the content. |
© 2025 by the authors. Licensee MDPI, Basel, Switzerland. This article is an open access article distributed under the terms and conditions of the Creative Commons Attribution (CC BY) license (http://creativecommons.org/licenses/by/4.0/).