Submitted:
24 March 2025
Posted:
25 March 2025
You are already at the latest version
Abstract
Keywords:
1. Introduction
2. Complete Mathematical Model for Four-link Manipulator Arm
3. Robust and Tracking Controller Design of the FLMA System
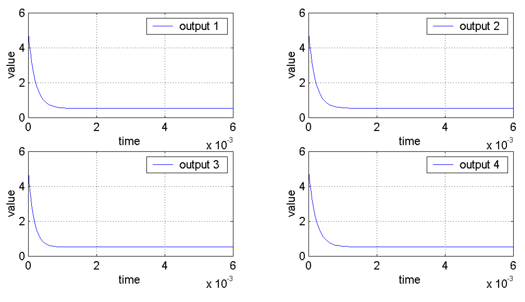
4. Simulations of the FLMA System
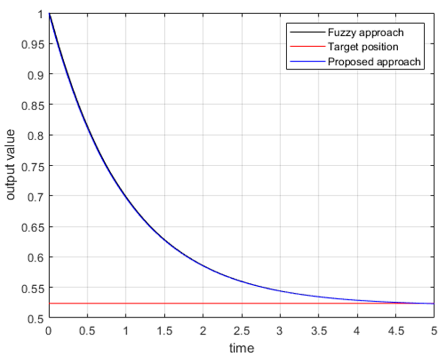
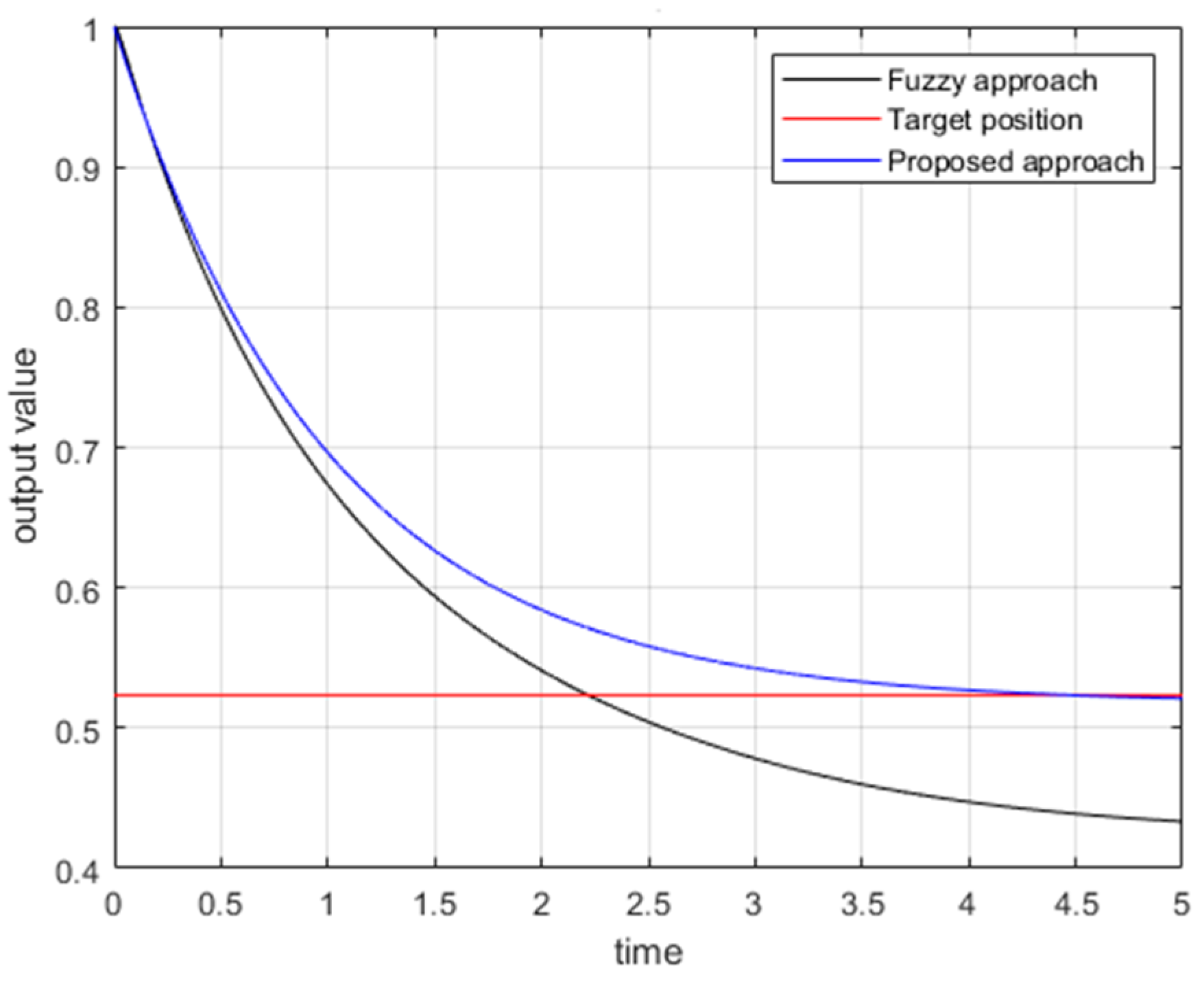
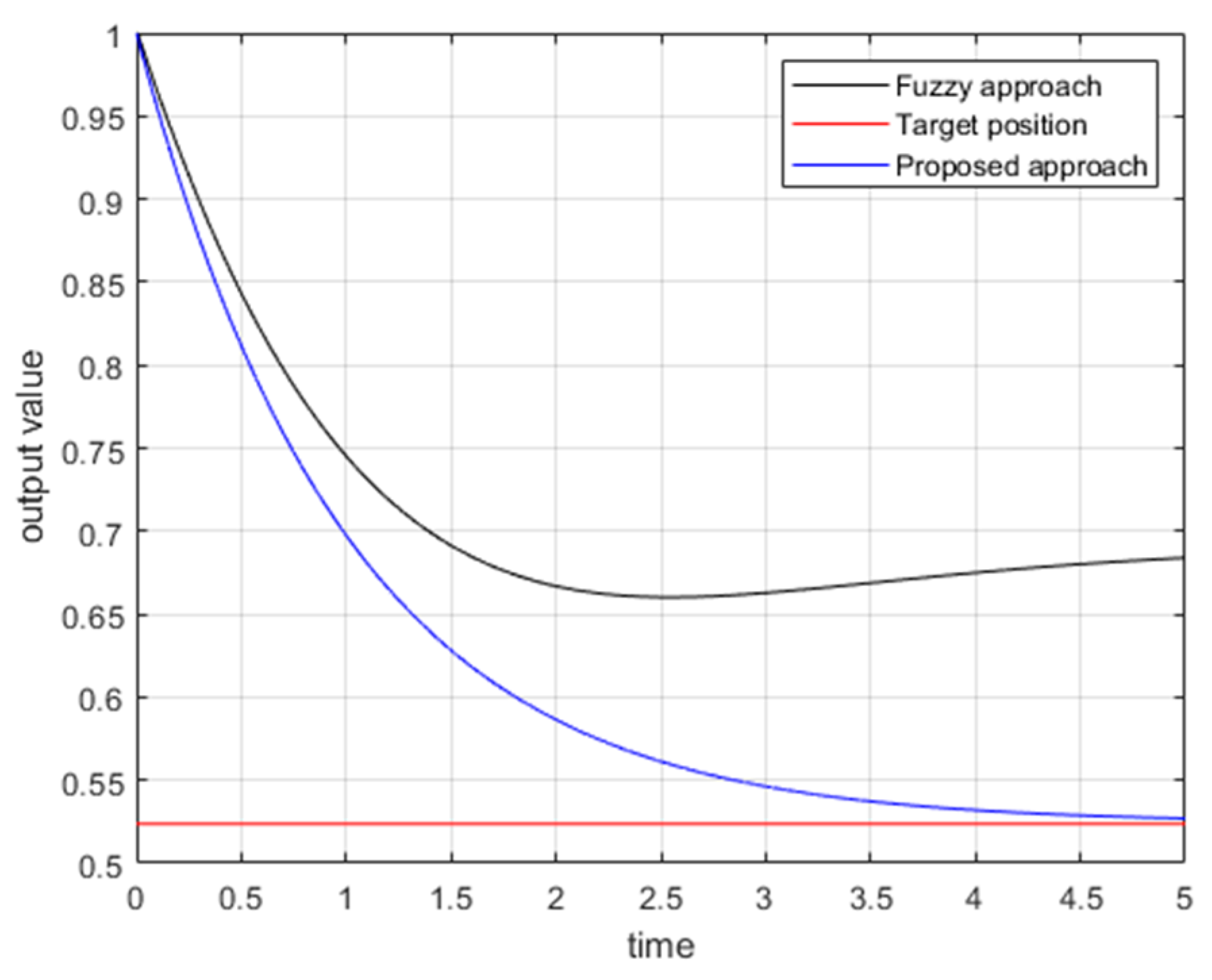
5. Comparisons to Traditional Approaches
6. Conclusion
Author Contributions
Data Availability Statement
Conflicts of Interest
Appendix A
References
- S. A. Marinovic, M. T. Torriti and F. A. Cheein, “General dynamic model for skid-steer mobile manipulators with wheel-ground interactions,” IEEE/ASME Trans. Mechatronics, vol. 22, no. 1, pp. 433–444, Feb. 2017.
- Z. Li and S. S. Ge, Fundamentals in modeling and control of mobile manipulators. Boca Raton, FL, USA: CRC Press, 2013.
- J. Wu, J. Gao, R. Song, R. Li, Y. Li and L. Jiang,“The design and control of a 3 DOF lower limb rehabilitation robot”, Mechatronics, vol. 33, pp. 13-22, 2016. [CrossRef]
- X. Wang, H. Zeng and H. Zhou, " A spatial four-link 4R biped walking mechanism," in 2019 IEEE 9th Annual International Conference on CYBER Technology in Automation, Control, and Intelligent Systems, Suzhou, China, July, 2019, pp. 203-208.
- M. U. Masood, M. Mujtaba, M. A. Sami, N. Rashid and J. Iqbal, "Design and experimental testing of an in-parallel actuated 3 DOF serial robotic manipulator for unmanned ground vehicle," in 2018 3rd Asia-Pacific Conference on Intelligent Robot Systems (ACIRS), Singapore, Singapore, July, 2018, pp. 45-49.
- F. Leborne, V. Creuze, A. Chemori, L. Brignone and J. Iqbal,"Dynamic modeling and identification of an heterogeneously actuated underwater manipulator arm," in 2018 IEEE International Conference on Robotics and Automation (ICRA), Brisbane, Australia, May, 2018, pp. 4955-4960.
- M. Reyhanoglu, A. van der Schaft, N. H. Mcclamroch and I. Kolmanovsky, "Dynamics and control of a class of underactuated mechanical systems," IEEE Transactions on Automatic Control, vol.44, no. 9, pp. 1663 – 1671, 1999. [CrossRef]
- X. Lai, Y, Wangm, M. Wu and W. Cao, “Stable Control Strategy for Planar Three-Link Underactuated Mechanical System,” IEEE/ASME Transactions on Mechatronics, vol. 21, no., 3, pp. 1345 – 1356, 2016. [CrossRef]
- X. Z. Lai, A. C. Zhang, J. H. She, and M. Wu, “Motion control of underactuated three-link gymnast robot based on combination of energy and posture,” IET Control Theory Appl., vol. 5, no. 13, pp. 1484–1492, 2011. [CrossRef]
- M. R. Thompson, M. T. Torriti, F. A. Auat Cheeina and G. Troni, “H∞-Based Terrain Disturbance Rejection for Hydraulically Actuated Mobile Manipulators With a Nonrigid Link,” IEEE/ASME Transactions on Mechatronics, vol. 25, no. 5, pp. 2523 - 2533, 2020.
- S. C. Brown and K. M. Passino, “Intelligent control for an acrobat,” J. Intell. Robot. Syst., vol. 18, no. 3, pp. 209–248, 1997.
- X. Z. Lai, A. C. Zhang, J. H. She, and M. Wu, “Motion control of underactuated three-link gymnast robot based on combination of energy and posture,” IET Control Theory Appl., vol. 5, no.13, pp. 1484–1493, 2011. [CrossRef]
- Fantoni, R. Lozano, and M. W. Spong, “Energy-based control of the pendubot,” IEEE Trans. Autom. Control, vol. 45, no. 4, pp. 725–729, 2002.
- B. Anditio, A. D. Andrini and Y. Y. Nazaruddin, " Integrating PSO Optimized LQR Controller with Virtual Sensor for Quadrotor Position Control," in 2018 IEEE Conference on Control Technology and Applications, Copenhagen, Denmark, August, 2018, pp. 1603-1607.
- J. Yang and Z. Ding, "Global output regulation for a class of lower triangular nonlinear systems: A feedback domination approach," Automatica, vol.76, pp. 65-69, 2017. [CrossRef]
- J. Wu, H. Zhou, Z. Liu and M. Gu, “Ride comfort optimization via speed planning and preview semi-active suspension control for autonomous vehicles on uneven roads,” IEEE Transactions on Vehicular Technology, vol. 69, no. 8, pp. 8343-8355, 2020. [CrossRef]
- M. Liu, Y. Li, X. Rong, S. Zhang and Y. Yin, “Semi-Active Suspension Control Based on Deep Reinforcement Learning,” IEEE Access, vol. 8, pp. 9978 - 9986, 2020.
- H. Chen, P. Y. Sun and K.-H. Guo, " A multi-objective control design for active suspensions with hard constraints," in 2003 Proc. Amer. Control Conf., 2003 pp. 4371–4376.
- J. S. Lin and C. J. Huang, “Nonlinear backstepping active suspension design applied to a half-car model,” Veh. Syst. Dyn., vol. 42, pp. 373–393, 2004. [CrossRef]
- C. Gohrle, A. Schindler, A. Wagner and O. Sawodny, “Design and vehicle implementation of preview active suspension controllers,” IEEE Trans. Control Syst. Technol., vol. 22, no. 3, pp. 1135–1142, 2014. [CrossRef]
- L. Tang, D. Ma and J. Zhao, “Adaptive neural control for switched non-linear systems with multiple tracking error constraints,” IET Signal Processing, vol. 13, no. 3, pp. 330 - 337, 2019. [CrossRef]
- L. Liu, Y. L. Liu, D. Li, S. Tong and Z. Wang, “Barrier Lyapunov function-based adaptive fuzzy FTC for switched systems and its applications to resistance–inductance–capacitance circuit system,” IEEE Transactions on Cybernetics, vol. 50, no. 8, pp. 3491 - 3502, 2020. [CrossRef]
- R. Cui, C. Yang, Y. Li and S. Sharma, “Adaptive neural network control of AUVs with control input nonlinearities using reinforcement learning,” IEEE Trans. Syst., Man, Cybern., Syst., vol. 47, no. 6, pp. 1019–1029, 2017. [CrossRef]
- D. Y. Wang and H.Wang, “Control method of vehicle semi active suspen-sions based on variable universe fuzzy control,” China Mech. Eng., vol. 28, no. 3, pp. 366-372, 2017.
- H. Li, Y. H. Feng and L. Su, “Vehicle active suspension vibration control based on robust neural network,” Chin. J. Construct. Mach., vol. 15, no. 4, pp. 324-337, 2017.
- Y. Y. Nazaruddin and P. Astuti, “Development of intelligent controller with virtual sensing”, ITB J. Eng. Sci , vol. 41, no. 1, pp.17-36, 2009. [CrossRef]
- M. Reyhanoglu, A. Schaft, and N. H. Clamroch, " Dynamics and control of a class of underactuated mechanical systems," IEEE Trans. Autom. Control. vol. 44, no. 9, pp. 1663–1671, 1999. [CrossRef]
- D. Luca, R. Mattone, and G. Oriolo, “Stabilization of an underactuated planar 2R manipulator,” Int. J. Robust Nonlinear Control, vol. 10, no. 4, pp. 181–1812, 2000.
- T. Yoshikawa, K. Kobayashi, and T. Watanabe, “Design of a desirable trajectory and convergent control for 3-DOF manipulator with a nonholonomic constraint,” in Proc. IEEE Int. Conf. Robot. Autom., San Francisco, , USA, 2000, vol. 2, no. 4, pp. 1805–18052.
- P. Y. Xiong, X. Z. Lai, and M.Wu, “A stable control for second-order nonholonomic planar underactuated mechanical system: Energy attenuation approach,” Int. J. Control, vol. 91, no. 7, pp. 1630–16302, 2018. [CrossRef]
- S. Zapolsky and E. Drumwright, “Inverse dynamics with rigid contact and friction,” Auton. Robots, vol. 41, no. 4, pp. 831–8312, 2017. [CrossRef]
- T. Liu, X. Ma, F. Zhu and M. Fadel, “Reduced-Order Feedback Linearization for Independent Torque Control of a Dual Parallel-PMSM system,” IEEE Access, pp. 1-1, 2021. [CrossRef]
- M. Mehrasa, M. Babaie, M. Sharifzadeh and K. A.Haddad, “An Input-Output Feedback Linearization Control Method Synthesized by Artificial Neural Network (ANN) for Grid-Tied Packed E-Cell Inverter,” IEEE Transactions on Industry Applications, pp. 1-1, 2021. [CrossRef]
- M. Awais, L. Khan, R. Badar, S. Mumtaz, S. Ahmad and S. Ullah, “Wavelet-Hybridized NeuroFuzzy Feedback Linearization based Control Strategy for PHEVs Charging Station in a Smart Microgrid, “ in 2020 International Symposium on Recent Advances in Electrical Engineering & Computer Sciences (RAEE & CS), Pakistan, Islamabad, Oct., 2020, pp. 1-6.
- S. A. Babar, I. Ahmad, I. S. Mughal and S. A. Khan, "Terminal Synergetic and State Feedback Linearization based Controllers for Artificial Pancreas in Type 1 Diabetic Patients," IEEE Access, pp. 1-1, 2021. [CrossRef]
- J. Khazaei, Z. Tu, A. Asrari and W. Liu, “Feedback Linearization Control of Converters with LCL Filter For Weak AC Grid Integration,” IEEE Transactions on Power Systems, pp. 1-1, 2021. [CrossRef]
- R. Marino, W. Respondek and A. J. Van Der Schaft, "Almost disturbance decoupling for single-input single-output nonlinear systems," IEEE Trans. Automat. Contr., vol.34, no. 9, September, pp. 1013-1017, 1989. [CrossRef]
- R. Marino and P. Tomei, "Nonlinear output feedback tracking with almost disturbance decoupling," IEEE Trans. Automat. Contr., vol.44, no. 1, January, pp. 18-28, 1999. [CrossRef]
- Isidori, Nonlinear control system. New York: Springer Verlag, 1989.
- H. K. Khalil, Nonlinear systems, New Jersey: Prentice-Hall, 1996.
- H. S. Dhiman and D. Deb, “Fuzzy TOPSIS and fuzzy COPRAS based multi-criteria decision making for hybrid wind farms,” Energy, vol. 202, pp. 1-10, 117755117755, 2020. [CrossRef]















| NB | NM | NS | ZE | PS | PM | PB | ||
| NB | PB | PB | PB | PB | PM | PS | ZE | |
| NM | PB | PB | PB | PM | PS | ZE | NS | |
| NS | PB | PB | PM | PS | ZE | NS | NM | |
| ZE | PB | PM | PS | ZE | NS | NM | NB | |
| PS | PM | PS | ZE | NS | NM | NB | NB | |
| PM | PS | ZE | NS | NM | NB | NB | NB | |
| PB | ZE | NS | NM | NB | NB | NB | NB | |
Disclaimer/Publisher’s Note: The statements, opinions and data contained in all publications are solely those of the individual author(s) and contributor(s) and not of MDPI and/or the editor(s). MDPI and/or the editor(s) disclaim responsibility for any injury to people or property resulting from any ideas, methods, instructions or products referred to in the content. |
© 2025 by the authors. Licensee MDPI, Basel, Switzerland. This article is an open access article distributed under the terms and conditions of the Creative Commons Attribution (CC BY) license (http://creativecommons.org/licenses/by/4.0/).