Submitted:
10 March 2025
Posted:
10 March 2025
You are already at the latest version
Abstract
Keywords:
1. Introduction
2. Materials and Methods
2.1. Adherence to Guidelines and Ethical Considerations
2.2. Patient Selection and Data Collection
2.3. CT Imaging Protocol
2.4. Image Segmentation
2.5. Pre-Processing
2.6. Feature Extraction and Analysis
2.7. Feature Stability and Selection
2.8. Model Evaluation and Statistical Analysis
3. Results
3.1. Patient Characteristics
3.2. Segmentation Results
3.3. Radiomic Feature Selection
3.4. Comparative Evaluation
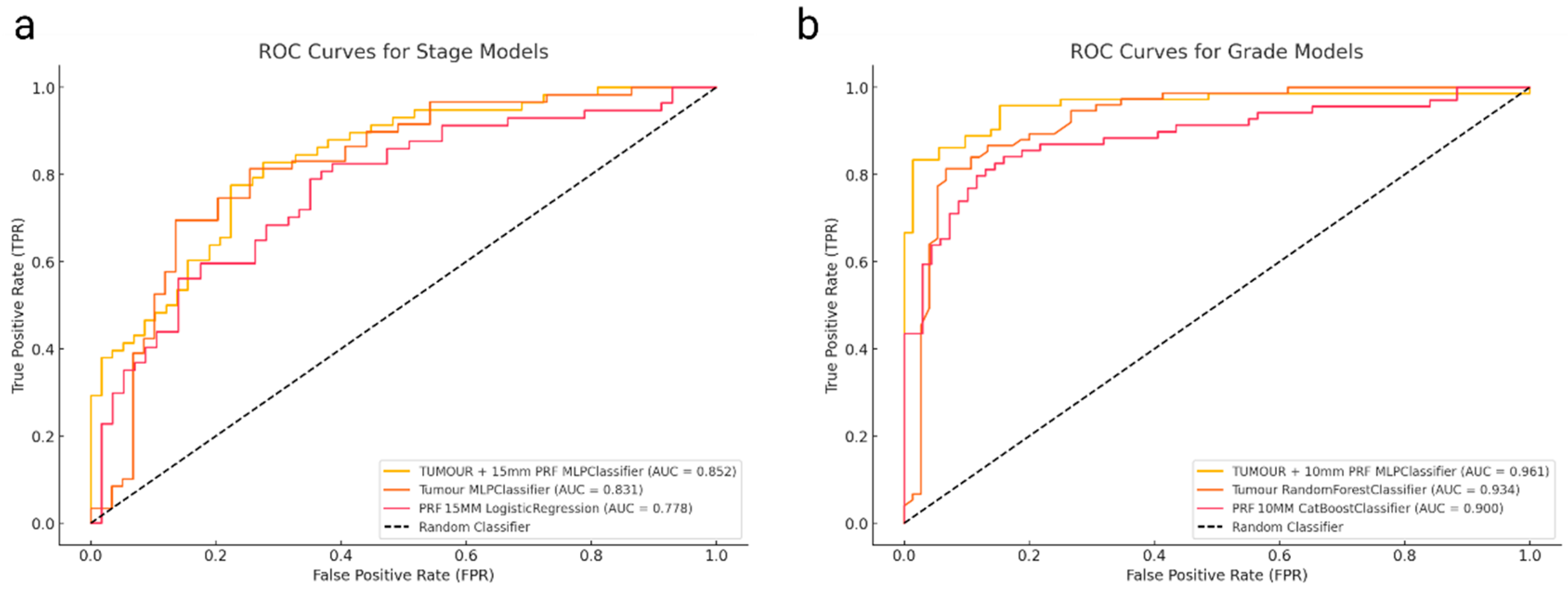
3.5. Tumour Grade Prediction
3.6. Tumour Stage Prediction
4. Discussion
5. Conclusions
Supplementary Materials
Author Contributions
Funding
Institutional Review Board Statement
Informed Consent Statement
Data Availability Statement
Acknowledgments
Conflicts of Interest
References
- Rouprêt, M.; Babjuk, M.; Burger, M.; Capoun, O.; Cohen, D.; Compérat, E.M.; Cowan, N.C.; Dominguez-Escrig, J.L.; Gontero, P.; Hugh Mostafid, A.; et al. European Association of Urology Guidelines on Upper Urinary Tract Urothelial Carcinoma: 2020 Update. Eur Urol 2021, 79, 62–79. [Google Scholar] [CrossRef]
- Mbeutcha, A.; Rouprêt, M.; Kamat, A.M.; Karakiewicz, P.I.; Lawrentschuk, N.; Novara, G.; Raman, J.D.; Seitz, C.; Xylinas, E.; Shariat, S.F. Prognostic Factors and Predictive Tools for Upper Tract Urothelial Carcinoma: A Systematic Review. World J Urol 2017, 35, 337–353. [Google Scholar] [CrossRef] [PubMed]
- Seisen, T.; Peyronnet, B.; Dominguez-Escrig, J.L.; Bruins, H.M.; Yuan, C.Y.; Babjuk, M.; Böhle, A.; Burger, M.; Compérat, E.M.; Cowan, N.C.; et al. Oncologic Outcomes of Kidney-Sparing Surgery Versus Radical Nephroureterectomy for Upper Tract Urothelial Carcinoma: A Systematic Review by the EAU Non-Muscle Invasive Bladder Cancer Guidelines Panel. Eur Urol 2016, 70, 1052–1068. [Google Scholar] [CrossRef]
- Leow, J.J.; Orsola, A.; Chang, S.L.; Bellmunt, J. A Contemporary Review of Management and Prognostic Factors of Upper Tract Urothelial Carcinoma. Cancer Treat Rev 2015, 41, 310–319. [Google Scholar] [CrossRef]
- Favaretto, R.L.; Shariat, S.F.; Savage, C.; Godoy, G.; Chade, D.C.; Kaag, M.; Bochner, B.H.; Coleman, J.; Dalbagni, G. Combining Imaging and Ureteroscopy Variables in a Preoperative Multivariable Model for Prediction of Muscle-Invasive and Non-Organ Confined Disease in Patients with Upper Tract Urothelial Carcinoma. BJU Int 2012, 109, 77–82. [Google Scholar] [CrossRef]
- Wojcik, E.M.; Kurtycz, D.F.I.; Rosenthal, D.L. We’ll Always Have Paris The Paris System for Reporting Urinary Cytology 2022. J Am Soc Cytopathol 2022, 11, 62–66. [Google Scholar] [CrossRef]
- Brimo, F.; Vollmer, R.T.; Case, B.; Aprikian, A.; Kassouf, W.; Auger, M. Accuracy of Urine Cytology and the Significance of an Atypical Category. Am J Clin Pathol 2009, 132, 785–793. [Google Scholar] [CrossRef]
- Yates, D.R.; Hupertan, V.; Colin, P.; Ouzzane, A.; Descazeaud, A.; Long, J.A.; Pignot, G.; Crouzet, S.; Rozet, F.; Neuzillet, Y.; et al. Cancer-Specific Survival after Radical Nephroureterectomy for Upper Urinary Tract Urothelial Carcinoma: Proposal and Multi-Institutional Validation of a Post-Operative Nomogram. Br J Cancer 2012, 106, 1083–1088. [Google Scholar] [CrossRef]
- Lambin, P.; Leijenaar, R.T.H.; Deist, T.M.; Peerlings, J.; De Jong, E.E.C.; Van Timmeren, J.; Sanduleanu, S.; Larue, R.T.H.M.; Even, A.J.G.; Jochems, A.; et al. Radiomics: The Bridge between Medical Imaging and Personalized Medicine. Nat Rev Clin Oncol 2017, 14, 749–762. [Google Scholar] [CrossRef] [PubMed]
- Lambin, P.; Rios-Velazquez, E.; …, R.L.-E. journal of; 2012, undefined Radiomics: Extracting More Information from Medical Images Using Advanced Feature Analysis. Elsevier.
- Alqahtani, A.; Bhattacharjee, S.; Almopti, A.; Li, C.; Nabi, G. Radiomics-Based Machine Learning Approach for the Prediction of Grade and Stage in Upper Urinary Tract Urothelial Carcinoma: A Step towards Virtual Biopsy. Int J Surg 2024, 110, 3258–3268. [Google Scholar] [CrossRef] [PubMed]
- Hanahan, D.; Weinberg, R.A. Hallmarks of Cancer: The next Generation. Cell 2011, 144, 646–674. [Google Scholar] [CrossRef] [PubMed]
- Quail, D.F.; Joyce, J.A. Microenvironmental Regulation of Tumor Progression and Metastasis. Nat Med 2013, 19, 1423–1437. [Google Scholar] [CrossRef] [PubMed]
- Pottier, C.; Wheatherspoon, A.; Roncarati, P.; Longuespée, R.; Herfs, M.; Duray, A.; Delvenne, P.; Quatresooz, P. The Importance of the Tumor Microenvironment in the Therapeutic Management of Cancer. Expert Rev Anticancer Ther 2015, 15, 943–954. [Google Scholar] [CrossRef]
- Yanagi, M.; Terasaki, M.; Kiriyama, T.; Terasaki, Y.; Akatsuka, J.; Endo, Y.; Nishimura, T.; Shimizu, A.; Kondo, Y. Perirenal Fat Stranding as a Predictor of Disease Progression after Radical Nephroureterectomy for Renal Pelvic Urothelial Carcinoma: A Retrospective Study. Discover oncology 2023, 14. [Google Scholar] [CrossRef]
- Ceyhan, E.; Ileri, F.; Aki, F.T.; Yazici, M.S.; Karcaaltincaba, M.; Ertoy Baydar, D.; Bilen, C.Y. Pathology Associated with Adherent Perirenal Fat and Its Clinical Effect. Int J Clin Pract 2021, 75. [Google Scholar] [CrossRef]
- Chung, J.W.; Lee, J.N.; Park, K.M.; Byeon, K.H.; Cheon, H.; Ha, Y.S.; Choi, S.H.; Kim, B.S.; Kim, T.H.; Yoo, E.S.; et al. Prognostic Impact of Perirenal Fat Stranding on Oncologic Outcomes in Ureteral Urothelial Carcinoma. Investig Clin Urol 2021, 62, 23. [Google Scholar] [CrossRef]
- Tsili, A.C.; Goussia, A.C.; Baltogiannis, D.; Astrakas, L.; Sofikitis, N.; Malamou-Mitsi, V.; Argyropoulou, M.I. Perirenal Fat Invasion on Renal Cell Carcinoma: Evaluation with Multidetector Computed Tomography-Multivariate Analysis. J Comput Assist Tomogr 2013, 37. [Google Scholar] [CrossRef]
- Ning, K.; Li, Z.; Liu, H.; Tian, X.; Wang, J.; Wu, Y.; Xiong, L.; Zou, X.; Peng, Y.; Zhou, Z.; et al. Perirenal Fat Thickness Significantly Associated with Prognosis of Metastatic Renal Cell Cancer Patients Receiving Anti-VEGF Therapy. Nutrients 2022, 14. [Google Scholar] [CrossRef]
- Aerts, H.J.W.L.; Velazquez, E.R.; Leijenaar, R.T.H.; Parmar, C.; Grossmann, P.; Cavalho, S.; Bussink, J.; Monshouwer, R.; Haibe-Kains, B.; Rietveld, D.; et al. Decoding Tumour Phenotype by Noninvasive Imaging Using a Quantitative Radiomics Approach. Nat Commun 2014, 5. [Google Scholar] [CrossRef]
- Suarez-Ibarrola, R.; Basulto-Martinez, M.; Heinze, A.; Gratzke, C.; Miernik, A. Cancers Radiomics Applications in Renal Tumor Assessment: A Comprehensive Review of the Literature. Cancers 2020, 12, 1387. [Google Scholar] [CrossRef]
- Lambin, P.; Leijenaar, R.T.H.; Deist, T.M.; Peerlings, J.; De Jong, E.E.C.; Van Timmeren, J.; Sanduleanu, S.; Larue, R.T.H.M.; Even, A.J.G.; Jochems, A.; et al. Radiomics: The Bridge between Medical Imaging and Personalized Medicine. Nat Rev Clin Oncol 2017, 14, 749–762. [Google Scholar] [CrossRef] [PubMed]
- Kocak, B.; Baessler, B.; Bakas, S.; Cuocolo, R.; Fedorov, A.; Maier-Hein, L.; Mercaldo, N.; Müller, H.; Orlhac, F.; Pinto dos Santos, D.; et al. CheckList for EvaluAtion of Radiomics Research (CLEAR): A Step-by-Step Reporting Guideline for Authors and Reviewers Endorsed by ESR and EuSoMII. Insights Imaging 2023, 14, 1–13. [Google Scholar] [CrossRef] [PubMed]
- Khene, Z.E.; Bensalah, K.; Largent, A.; Shariat, S.; Verhoest, G.; Peyronnet, B.; Acosta, O.; DeCrevoisier, R.; Mathieu, R. Role of Quantitative Computed Tomography Texture Analysis in the Prediction of Adherent Perinephric Fat. World J Urol 2018, 36, 1635–1642. [Google Scholar] [CrossRef] [PubMed]
- Gill, T.S.; Varghese, B.A.; Hwang, D.H.; Cen, S.Y.; Aron, M.; Aron, M.; Duddalwar, V.A. Juxtatumoral Perinephric Fat Analysis in Clear Cell Renal Cell Carcinoma. Abdominal Radiology 2019, 44, 1470–1480. [Google Scholar] [CrossRef]
- Ning, K.; Li, Z.; Liu, H.; Tian, X.; Wang, J.; Wu, Y.; Xiong, L.; Zou, X.; Peng, Y.; Zhou, Z.; et al. Perirenal Fat Thickness Significantly Associated with Prognosis of Metastatic Renal Cell Cancer Patients Receiving Anti-VEGF Therapy. Nutrients 2022, 14, 3388. [Google Scholar] [CrossRef]






| Characteristic | Value |
|---|---|
| Age, median (range) | 74 years (49–93) |
| Gender, n (%) | |
| Male | 61 (59%) |
| Female | 42 (41%) |
| Smoking Status, n (%) | |
| Current/Former | 80 (78%) |
| Never | 23 (22%) |
| BMI Category, n (%) | |
| Normal | 34 (33%) |
| Overweight | 35 (34%) |
| Obese | 34 (33%) |
| Tumour Location, n (%) | |
| Renal Pelvis | 49 (48%) |
| Ureter | 54 (52%) |
| Histological Grade, n (%) | |
| High grade | 73 (71%) |
| Low grade | 30 (29%) |
| T Stage, n (%) | |
| T1 | 58 (56%) |
| T2 | 18 (18%) |
| T3 or T4 | 27 (26%) |
| Carcinoma in situ, n (%) | 25 (23%) |
| Hydronephrosis, n (%) | 25 (23%) |
| Multifocal, n (%) | 38 (35%) |
| Tumour size, mean ± SD (cm) | 1.97 ± 0.83 |
| Deceased, n (%) | 58 (56%) |
| Recurrence, n (%) | 31 (29%) |
| Target | Data | Classifier | AUC Mean | AUC 95% CI | Sensitivity | Specificity | F1 Score |
|---|---|---|---|---|---|---|---|
| Grade | TUMOUR + 10mm PRF | MLPClassifier | 0.961 | [0.920, 1.001] | 0.889 | 0.889 | 0.889 |
| Tumour | RandomForestClassifier | 0.934 | [0.891, 0.977] | 0.867 | 0.867 | 0.863 | |
| PRF 10mm | CatBoostClassifier | 0.900 | [0.814, 0.986] | 0.783 | 0.884 | 0.841 | |
| PRF 15mm | MLPClassifier | 0.890 | [0.825, 0.956] | 0.806 | 0.806 | 0.802 | |
| PRF 20mm | LGBMClassifier | 0.883 | [0.825, 0.941] | 0.764 | 0.819 | 0.798 | |
| PRF 25mm | RandomForestClassifier | 0.876 | [0.816, 0.937] | 0.778 | 0.792 | 0.784 | |
| PRF 30mm | CatBoostClassifier | 0.874 | [0.813, 0.934] | 0.806 | 0.847 | 0.827 | |
| STAGE | TUMOUR + 15mm PRF | MLPClassifier | 0.852 | [0.790, 0.914] | 0.776 | 0.776 | 0.772 |
| Tumour | MLPClassifier | 0.831 | [0.750, 0.911] | 0.780 | 0.746 | 0.765 | |
| PRF 15mm | LogisticRegression | 0.778 | [0.704, 0.851] | 0.702 | 0.667 | 0.682 | |
| PRF 30mm | ExtraTreesClassifier | 0.771 | [0.668, 0.874] | 0.638 | 0.690 | 0.669 | |
| PRF 25mm | AdaBoostClassifier | 0.759 | [0.639, 0.879] | 0.672 | 0.707 | 0.680 | |
| PRF 10mm | MLPClassifier | 0.756 | [0.657, 0.854] | 0.679 | 0.643 | 0.654 | |
| PRF 20mm | MLPClassifier | 0.711 | [0.641, 0.781] | 0.724 | 0.500 | 0.642 |
| Model 1 | Model 2 | AUC 1 | AUC 2 | Z-score | P-value |
|---|---|---|---|---|---|
| TUMOUR + 15mm PRF MLPClassifier | Tumour MLPClassifier | 0.852 | 0.831 | 0.575251 | 0.565122 |
| TUMOUR + 15mm PRF MLPClassifier | PRF¯15mm Logistic Regression | 0.852 | 0.778 | 1.914466 | 0.055561 |
| Tumour MLPClassifier | PRF¯15mm Logistic Regression | 0.831 | 0.778 | 1.339403 | 0.18044 |
| TUMOUR + 10mm PRF MLPClassifier | Tumour Random Forest Classifier | 0.961 | 0.934 | 1.212807 | 0.225204 |
| TUMOUR + 10mm PRF MLPClassifier | PRF¯10mm Cat Boost Classifier | 0.961 | 0.9 | 2.416159 | 0.015685 |
| Tumour Random Forest Classifier | PRF¯10mm Cat Boost Classifier | 0.934 | 0.9 | 1.234756 | 0.216921 |
Disclaimer/Publisher’s Note: The statements, opinions and data contained in all publications are solely those of the individual author(s) and contributor(s) and not of MDPI and/or the editor(s). MDPI and/or the editor(s) disclaim responsibility for any injury to people or property resulting from any ideas, methods, instructions or products referred to in the content. |
© 2025 by the authors. Licensee MDPI, Basel, Switzerland. This article is an open access article distributed under the terms and conditions of the Creative Commons Attribution (CC BY) license (http://creativecommons.org/licenses/by/4.0/).