Preprint
Article

This version is not peer-reviewed.

Evaluation of the Decrease of DPOAE Levels After VEMP Testing in Clinical Patients

A peer-reviewed article of this preprint also exists.

Submitted:

09 March 2025

Posted:

10 March 2025

You are already at the latest version

Abstract
Objectives: To determine if VEMP testing causes DPOAE level reduction. Methods: The changes of DPOAE levels after VEMP testing in 174 patients (80 males and 94 females; median age, 53 years [interquartile range, 39-67 years; range, 15-85 years]) who were examined in the vertigo outpatient clinic between June 2021 and December 2024 were retrospectively analyzed. Results: The DPOAE levels decreased significantly after VEMP testing at 1.4 kHz, 2 kHz, 2.8 kHz, sum all 1/2 octave, and average 1/2 octave (1-6 kHz). The decrease of the DPOAE levels was significantly correlated with age, but not sex or side. Conclusions: The strong sound stimulation used in VEMP testing can decrease DPOAE levels. VEMP testing can be an invasive test method and should be performed with detailed consideration of the risks and benefits. The age factor can influence the decrease of DPOAE levels in VEMP testing.
Keywords: 
;  ;  

1. Introduction

Vestibular evoked myogenic potential (VEMP) testing is a common clinical testing method used to evaluate the function of the saccule and the utricle [1]. There are several vestibular balance disorders that have been studied for the utility of VEMP testing, including superior semicircular canal dehiscence (SSCD) [2], vestibular migraine (VM) [3,4], acoustic neuroma (vestibular schwannoma) [5], bilateral vestibulopathy (BVP) [6], and Meniere's disease (MD) [7,8]. VEMP testing, especially cVEMP, is sensitive in detecting SSCD, because the third window effect results in an abnormally low VEMP threshold [9]. Studies suggest that VEMP abnormalities may be present in patients with VM, which may indicate possible brainstem involvement and help differentiate VM from MD [10,11]. VEMP testing can reveal decreased or absent responses in BVP patients and can aid diagnosis when other vestibular function tests are inconclusive [12]. VEMPs can help assess vestibular nerve function and detect subclinical vestibular involvement in patients with acoustic neuroma, even in the early stages [13]. However, VEMP testing uses strong sounds of around 120 to 130 dB SPL for the acoustic stimulus and considerations of the safe level of sound pressure that does not cause hearing loss are still being studied [14]. One case of bilateral hearing loss after VEMP testing has been previously reported in the literature [15], and a case of permanent bilateral hearing loss after VEMP testing is also reported [16]. The previous studies examining the safe levels of sound pressure in VEMP testing using distortion product otoacoustic emissions (DPOAE) focused on younger subjects [17,18,19,20], whereas VEMP testing in vestibular examinations is often performed on elderly subjects and there are very few studies of the changes in the DPOAE level after VEMP testing in clinical vestibular function examinations, which often involve elderly patients attending outpatient clinics. The purpose of this study is to assess the effect of sound stimulations used in VEMP testing during vestibular examinations on the reduction of DPOAE levels in a vertigo outpatient clinic.

2. Methods

This is a retrospective study conducted in a single institution. Patients referred to the vertigo outpatient clinic between June 2021 and December 2024 were included in the study. The study was approved by the regional ethical standards committee.
The cervical vestibular evoked myogenic potential (cVEMP) and ocular VEMP (oVEMP) were recorded with the Nicolet EDX system (Natus Medical Inc., Foster City, CA, USA) using a tone burst stimulus of 500 Hz (rise, 1 ms; plateau, 2 ms; and fall, 1 ms) and a tone burst of 1 kHz (rise, 1 ms; plateau, 2 ms; and fall, 1 ms). The total stimulation count in a series of VEMP tests was limited to a maximum of 240 counts for each ear to comply with LAeq,8hr 85 dB SPL. The stimulation sound pressure levels were 133, 130, 128, or 125 dBpSPL depending on the examination date because a case of sudden bilateral hearing loss after VEMP testing was reported [16] and the stimulation levels were gradually decreased after reconsideration of the safe levels. The sound pressure levels were calibrated by the manufacturer. In cVEMP testing, electromyographic (EMG) activity was recorded from a surface electrode placed on the upper half of each sternocleidomastoid muscle (SCM), with a reference electrode on the side of the upper sternum and a ground electrode on the chin. During the recording, in the supine position, subjects were instructed to raise their heads from the pillow in order to contract the SCM. The EMG signal from the stimulated side was amplified and bandpass-filtered (20–2000 Hz). The stimulation rate was 5.1 Hz, and the analysis time was 100 ms. Responses to 20 stimuli were average three times [21]. In oVEMP testing, subjects lay supine on a bed, with their head supported by a pillow and with surface EMG electrodes placed on the skin 1 cm below (active) and 3 cm below (indifferent) the center of each lower eyelid. The ground electrode was placed on the chin. During testing, the subject looked up approximately 30 degrees above straight ahead and maintained their focus on a small dot approximately 1 m from their eyes. The signals were amplified by a differential amplifier (bandwidth: 0.5–500 Hz). Responses to 20 stimuli were average three times [21].
The DPOAE levels were measured from left to right before and within 1 minute after VEMP testing using ILO V6 (Otodynamics Ltd, Hatfield, UK) with the conditions of 2f1-f2, f2/f1 ratio = 1.22, L1/L2 = 65/55 dB SPL, and 2 points per octave with 1/2 octave range in the range from 1 kHz to 6 kHz (1 kHz, 1.4 kHz, 2 kHz, 2.8 kHz, 4 kHz, and 6 kHz). The sum all 1/2 octave is an overall DPOAE level added in the range from 1 kHz to 6 kHz above. The average 1/2 octave (1-6 kHz) is a mean DPOAE level in the range from 1 kHz to 6 kHz above. The DPOAE levels were measured routinely to evaluate vestibular balance disorders with hearing loss and to monitor changes in cochlear function before and after VEMP. The order of VEMP testing was cVEMP - left, cVEMP - right, oVEMP - left and oVEMP - right. The decreased DPOAE level is calculated with post-pre VEMP. The negative values indicate deterioration, whereas the positive values indicate improvement.
Excel for Microsoft 365 (version 2207, Microsoft, Redmond, WA, USA) was used for processing data. The paired t-test, Wilcoxon signed-rank test, Pearson product moment correlation coefficient analysis, the t-test and analysis of variance (ANOVA) were applied using R version 4.4.2 software (R Core Team; R Foundation for Statistical Computing, Vienna, Austria, 2024) with devtools, ggplot2, Rmisc, readxl, exactRankTests, and rstatix packages. P-values less than 0.05 were considered statistical significance.
The DPOAE levels are presented as mean ± standard deviation [dB SPL] in all figures and tables.

3. Results

A total of 174 patients (80 males and 94 females; median age, 53 years [interquartile range, 39-67 years; range, 15-85 years]) were examined in the vertigo outpatient clinic and there were no cases in which DPOAE test could not be performed. All cases were tested for both cVEMP testing and oVEMP testing with air conduction stimulation at 500 Hz and 1 kHz. There were few cases without data of sum all 1/2 octave, and average 1/2 octave (1-6 kHz) because of the calculation algorithm. There were no cases with conductive hearing loss, including perforation of the tympanic membrane.
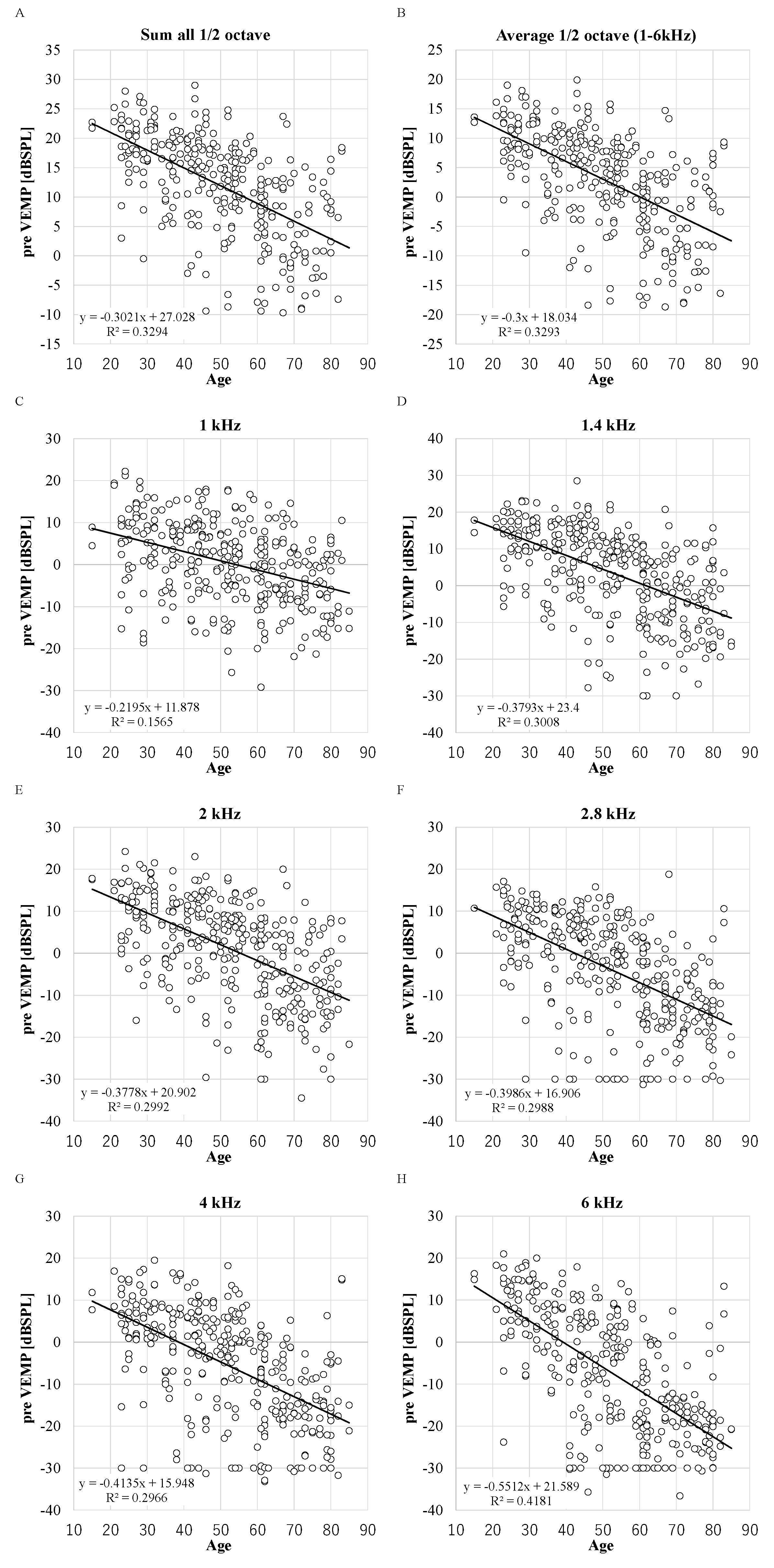
The DPOAE levels before VEMP testing showed significant differences between males and females and between the older group aged 65 or over and the younger group (Supplementary Table S1). The negative correlations between the DPOAE levels before VEMP testing and age were also significant in all frequencies (Supplementary Figure S1). The stimulation levels for VEMPs were 133, 130, 128, or 125 dBpSPL and the number of cases at each stimulation level was 15, 18, 15 and 126, respectively (Supplementary Table S2).
The DPOAE levels decreased significantly after VEMP testing at 1.4 kHz, 2 kHz, 2.8 kHz, sum all 1/2 octave, and average 1/2 octave (1-6 kHz) (Table 1). The decreases of the average DPOAE level at average 1/2 octave (1-6 kHz) were significant in 125 dBpSPL and 130 dBpSPL stimulations in a subgroup analysis (Supplementary Table S2). The decreases of the DPOAE level at average 1/2 octave (1-6 kHz) did not significantly differ between each stimulation level, but the decrease tended to be larger at higher stimulation levels (-0.9, -0.8, -0.8 or -0.7 dB in 133, 130, 128, or 125 dBpSPL, respectively) (Supplementary Table S2).
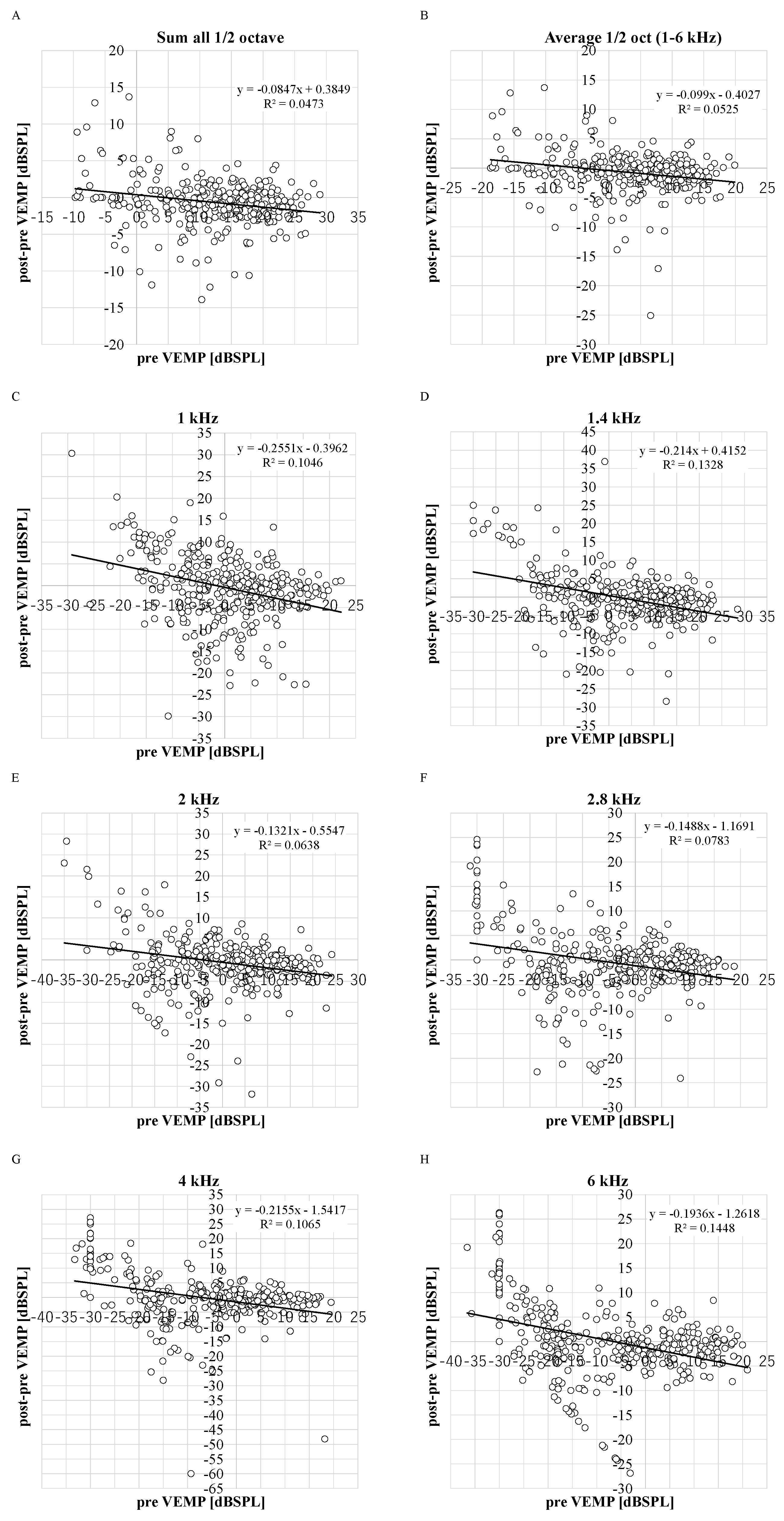
The negative correlations between the DPOAE levels before VEMP testing and the decrease of the DPOAE level were significant in all frequencies (Figure 1). The average DPOAE levels at average 1/2 octave (1-6 kHz) decreased by more than 5 dB in 9% of ears (Supplementary Figure S2), and the average DPOAE levels before VEMP testing in these ears (3.0±7.3 dB SPL) was not significantly different from the other ears (3.6±8.2 dB SPL). Although there is no standard for significant changes in DPOAE changes, because 5 dB steps are used in audiometric measurements, and because there is a criterion that if the difference between threshold values measured with and without masking in audiometric tests using masking is within 5 dB, the value without masking is adopted, the 5 dB difference is treated as an important indicator in measurement procedures and evaluation criteria, and thus 5 dB was appropriated as an obvious change.
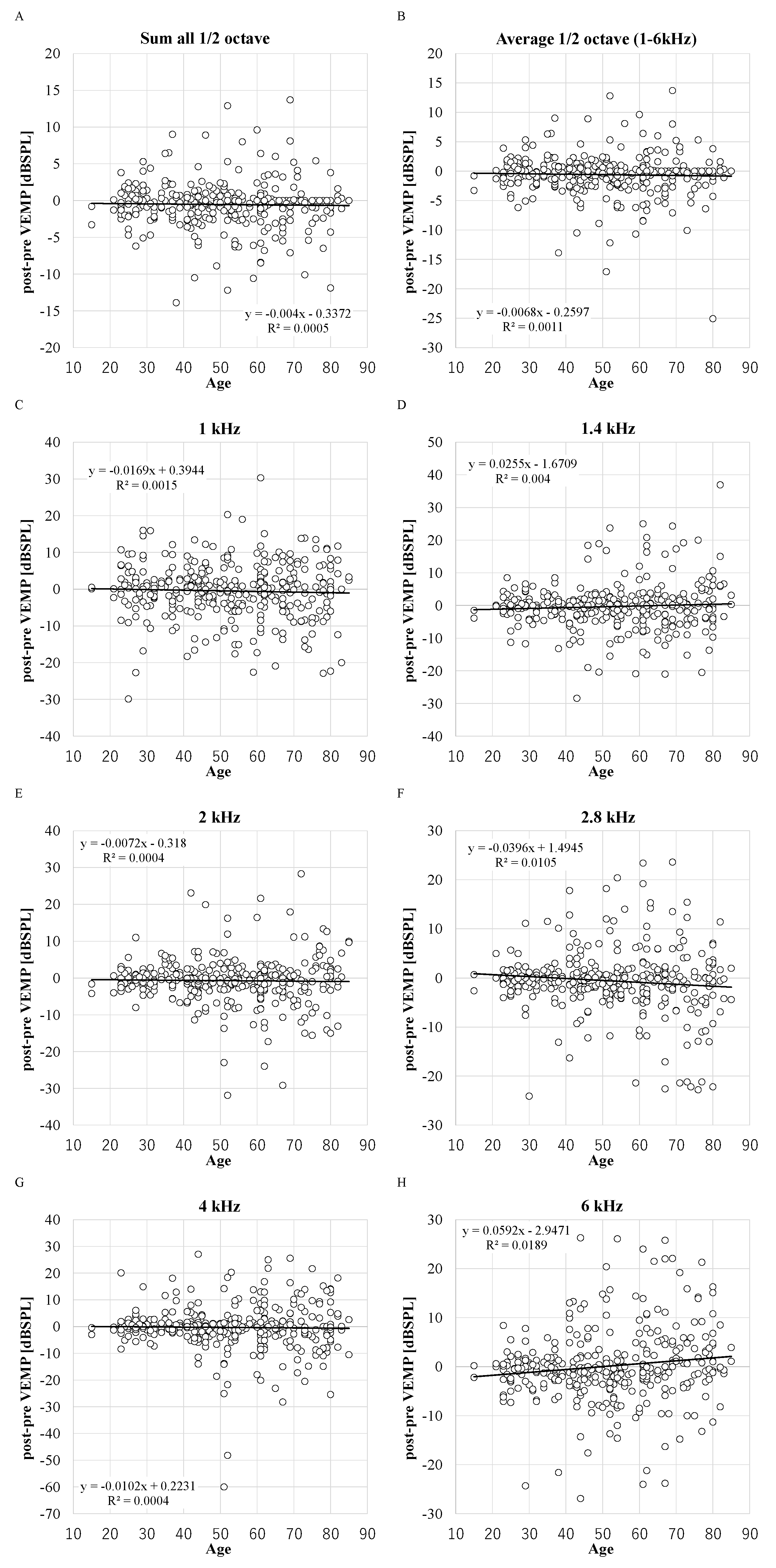
The positive correlation between age and the increased DPOAE levels at 6 kHz was significant (Figure 2). The significant increase of the DPOAE levels at 6 kHz in the older group aged 65 or over was also observed (Table 2). The significant decreases of the DPOAE levels were observed at 2.8 kHz in the older group, and at 1.4 kHz, 2 kHz, 2.8 kHz, 6 kHz, sum all 1/2 octave, and average 1/2 octave (1-6 kHz) in the younger group (Table 2). The decrease of average 1/2 octave (1-6 kHz) was larger in the older group (-0.9 or -0.7 dB in the older or younger group, respectively), whereas there was no significance between the older group and the younger group (Table 2).
The DPOAE levels at 2.8 kHz, sum all 1/2 octave, and average 1/2 octave (1-6 kHz) showed a significant decrease for both male and female in a subgroup analysis (Supplementary Table S3). In addition, the DPOAE levels at 2 kHz decreased significantly only in female. There were significant decreases in DPOAE levels at sum all 1/2 octave and average 1/2 octave (1-6 kHz) in the left ear, and at 2 kHz, 2.8 kHz, sum all 1/2 octave, and average 1/2 octave (1-6 kHz) in the right ear in a subgroup analysis (Supplementary Table S4). Only age factor significantly affected the changes of DPOAE levels at 2.8 kHz and 6 kHz in ANOVA (Table 3).

4. Discussion

The DPOAE levels decreased significantly after VEMP testing in this study, as has been previously reported, suggesting that the acoustic stimulation of the VEMP test can induce inner ear damage. The frequencies at which DPOAE levels decreased significantly were overtones of the stimulus frequency, suggesting a possible effect of acoustic stimulation.
Sound stimulation with 125 dB pSPL caused a significant reduction of the DPOAE levels in this study. The recommended maximum sound pressure for VEMP testing was 140 dB pSPL in the initial international guideline including attention to LAeq,8hr [22], however the recommended maximum safety level was reduced to 126 dB pSPL later [14]. The sound stimulation can cause a decrease of DPOAE levels even if the sound pressure is below the current maximum indication in the guidelines.
Krause et al. reported that DPOAE levels in 30 subjects aged between 20 and 35 years exposed to VEMP sound stimulation (133 dB SPL) had decreased significantly 5 minutes after VEMP testing. The decrease ranged from 0.5 to 3.0 dB in the high-frequency range between 4 kHz and 8kHz and recovered after 24 hours [17]. Colebatch et al. posted a letter in response to this article discussing the conditions used in their VEMP test, in which the duration of the stimulation was relatively longer (10 ms) than commonly used and the LAeq,8hr was over the safety level, and concluded that the sound stimulations in VEMP testing for diagnostic purposes are unlikely to cause damage to the cochlea provided that peak intensity limits are not exceeded [23]. However, Krause et al. responded that a Hann window was applied to reduce the noise impact and that researchers and doctors should recognize the potential risk of adverse effects in the cochlear due to VEMP testing [23]. Strömberg et al. reported a significant decrease of DPOAE levels ranging from 0.5 to 1.35 dB at 0.75 kHz and from 1.6 to 2.1 dB at 3 kHz after VEMP testing with 130 dB peSPL in 24 patients aged between 18 and 50 years with a mean age of 37 years [18]. Rodriguez et al. studied 15 children aged between 4 and 12 years and 10 adults aged between 21 and 37 years who underwent VEMP testing with 125 dB SPL in adults and 120 dB SPL in children and found no significant decrease of DPOAE levels and they recommended 120 dB SPL stimulation [19], which is below the normal threshold in the elderly [24,25]. Singh et al. studied 60 adults in the age range of 18 to 35 years divided into a control group and a VEMP-tested group and found no significant changes of OAE levels after VEMP testing with 125 dB peSPL stimulation compared to the control group [20]. These studies focused on younger subjects, whereas vestibular examinations are often performed on older people. Elderly people may be more vulnerable to loud sounds due to a variety of factors, and the safety level they require may be lower than that in younger people [26,27,28]. These studies show that the acoustic stimulation used in VEMP testing can temporarily affect DPOAE levels in young subjects depending on the stimulation sound level, although the effect in the elderly is still unknown. In this study, the significant negative correlation between age and the decrease of OAE levels was observed at 2.8 kHz in ANOVA. Several previous reports with young subjects have reported no significant decrease of the OAE level, so an aging factor can also contribute to the decrease of the OAE level after VEMP testing. However, the significant positive correlation between the decrease of DPOAE level at 6 kHz and age was observed, which may be related to the negative correlation between age and the DPOAE levels before VEMP testing because there were also the negative correlation between the DPOAE levels before VEMP testing and the decrease of DPOAE levels (Figure 1). The sound pressure that does not cause a decrease of DPOAE levels is expected to be below 125 dB SPL, however, the normal threshold for cVEMP testing for subjects in their sixties is reported to be 110-125 dB SPL [24,25], so it is likely that VEMP testing cannot be properly performed from a strict safety standpoint. The decrease of DPOAE level tended to be smaller with lower stimulation levels, but these differences were not significant, and a prediction of the safe level based on these values seems difficult.
In this study, the decreases of the DPOAE level at 2 kHz and 2.8 kHz were significant only in the right ear in a subgroup analysis. Asymmetrical hearing loss with left-sided hearing loss in noise exposure is reported [29,30,31], and physiological aspects or a head shadowing effect have been suggested but yet to be proven [32]. Because the VEMP testing was performed from left to right and DPOAE were recorded soon after VEMP testing in this study, the elapsed time from VEMP testing to DPOAE testing may have affected the decrease of DPOAE levels. The interval between VEMP testings of the left and right ear and the interval between DPOAE testings of the left and right ear are generally comparable and may not have had a significant effect. The results of this study showed that DPOAE levels worsened less in the ear in which VEMP was first tested (left ear), which suggests that DPOAE may recover in a short time and that the deterioration in DPOAE levels may be a transient phenomenon.
The recovery functions for noise exposure elapsed time and DPOAE changes were reported in several studies. In a study in which 39 normal-hearing human subjects were monaurally exposed to a 1 kHz tone lasting for 3 minutes at an equivalent threshold sound pressure level of 105.5 dB, the exponential regression equation fitted to the data is: DPOAE shift (916 - 2380 Hz) [dB] y = 4.06 · e−t/0.70 + 3.14 · e−t/10.24 (t: [min]) [33]. In a study in which 16 normal-hearing human subjects were exposed to a moderate monaural sound exposure of 10 minutes to a 2 kHz tone normalized to an exposure level LEX,8h of 80 dBA, DPOAEs were measured before and in the following 70 minutes after the exposure in a 1/3-octave band centered at 3 kHz and the recovery functions were: y = 1.63 · e−t/3.33 + 3.45 · e−t/47.6 (monaural pure tone, LEX,8h = 80 dBA), y = 2.06 · e−t/6.28 + 1.93 · e−t/56.8 (continuous broad-band noise, LEX,8h = 80 dBA), and y = 1.82 · e−t/20 (continuous broad-band noise + impulsive noise, Lpeak = 117 dBC) [34]. If the time is 5 minutes, the results of each equations above are -4.2, -7.6, -4.9, and -1.2, respectively. In this study, there was no significant difference of decreased DOPAE levels between the left and right ear, but the mean difference was around 1 at 2 kHz, which is close to the value of the recovery function of continuous broad-band noise + impulsive noise [34].
The DPOAE levels at 2 kHz showed a significant decrease only for female in a subgroup analysis in this study, whereas the higher risk of hearing loss in males than in females is reported in previous studies [29,35,36,37,38,39]. Although these lateral differences and gender differences were not significant in ANOVA, these results of subgroup analyses may reflect the fact that the sound stimulation used in VEMP is large enough to influence cochlear function.
The frequencies at which significant decreases of DPOAE levels occurred were 1.4 kHz, 2 kHz, and 2.8 kHz, which were higher than the stimulated frequencies. In noise induced hearing loss, the characteristic frequency of the most damaged region in the cochlea is approximately half octave above the frequency of the acoustic stimulus in the animal and stimulation studies [40,41,42,43], and this “half-octave shift” phenomenon is also observed in the several clinical studies [44,45]. This phenomenon was firstly observed in a study of TTS in which human subjects were exposed to 110, 120, and 130 dB SPL of pure tones at 1000 and 2000 Hz for 1 to 64 minutes [46]. The threshold increases in the frequency range were limited to the exposed and higher frequencies, with a maximum loss of 50 to 60 dB occurring half an octave above the exposed tone. In a study in which 60 normal-hearing human subjects were exposed to an octave-band noise centered at 4, 2, 1, or 0.5 kHz for 16-24 hours in a diffuse sound field, TTS increased for about 8 hours and then reached a plateau or asymptote [47]. The relation between TTS and exposure duration can be described by a simple exponential function with a time constant of 2.1 hours, and the threshold shifts were maximal about 1/2 octave above the center frequency of the noise. This phenomenon was also observed in the DPOAE study, where the amplitude was reduced in a frequency-specific manner, with the greatest reduction occurring approximately half an octave above the noise frequency [48]. In a study evaluating both transient-evoked otoacoustic-emission (TEOAE) and behavioral hearing thresholds before and after the sound exposure of 105 dB SPL half-octave band of noise centered at 1.414 kHz for 10 minutes in 14 normal-hearing subjects, the maximum temporary emission shifts were half to 1 octave above the exposure frequency [49]. The results in this study are consistent with this phenomenon, but the characteristic frequency of the region in the cochlea most affected by the acoustic stimulation used in VEMP need to be further examined in detail.
In the present study, pure tone audiometry (PTA) thresholds were not evaluated because OAE is more sensitive than PTA. In a study of 285 U.S. Marine Corps recruits measuring audiometric thresholds and OAE before and 3 weeks after exposure to impulse noise sources from weapons’ fire and simulated gunfire, and 32 non-exposed controls measuring audiometric thresholds and OAE, there was essentially no association between significant threshold shift (STS) and significant emission shift (SES), SES was more common than STS, and the SES ear group had more STS ears than the group without SES ears, indicating the high sensitivity of OAEs in comparison to audiometric thresholds and the association of low levels of OAEs with future risk of hearing loss [50].
This study has some limitations. Firstly, this was a retrospective study conducted at a single institution. Second, the PTA testing including chronological changes to evaluate the associations between DPOAE levels, temporary and permanent threshold shift was not evaluated due to the time limitation of the examination. Third, there is no control group and a crossover study or other evaluation method should be considered for further assessments. Forth, the number of cases is small, and further study is needed to confirm lateral differences and gender differences. The diverse range of vestibular balance disorders’ cases limited the interpretation of the results. The results of this study can be considered important in terms of actual clinical practice. Finally, the DPOAEs were only recorded just before VEMP testing and chronological changes were not evaluated.
VEMP testing can cause a noise-induced transient threshold shift, as well as noise-induced permanent threshold shifts in rare cases with high sensitivity to noise exposure. The decreased DPOAE level after VEMP testing varied widely between cases, indicating that the tolerance to sound stimulation differs greatly from person to person, and VEMP testing would not be appropriate in a patient with low tolerance to sound stimulation. During the VEMP testing, the examiner should take care of the patient if they experience acoustic disturbances caused by sound stimulation, and the efficacy and safety of the VEMP test should be carefully considered before performing the examination. ABR testing also uses strong sounds, which can also cause acoustic trauma, so the same cautions should be considered for ABR testing.

5. Conclusions

The strong sound stimulation used in VEMP testing can decrease DPOAE levels. VEMP testing can be an invasive test method and should be performed with detailed consideration of the risks and benefits. The age factor can influence the decrease of DPOAE levels in VEMP testing.

Supplementary Materials

 

Author Contributions

Conceptualization, S.A. and T.K.; methodology, T.K.; software, T.K.; validation, S.A. and T.K.; formal analysis, T.K.; investigation, T.K.; resources, T.K., H.F., T.K., S.S., M.K., S.I., and T.Y.; data curation, S.A. and T.K.; writing—original draft preparation, S.A.; writing—review and editing, S.A.; visualization, T.K. and M.K.; supervision, S.I. and T.Y.; project administration, S.I.; funding acquisition, NA. All authors have read and agreed to the published version of the manuscript.

Funding

This research received no external funding.

Institutional Review Board Statement

This study and the consent procedure were reviewed and approved by the Research Ethics Committee of JR Tokyo General Hospital, approval number R03-17, 1 December 2021.

Informed Consent Statement

The information for this study was disclosed, and the participants could choose to opt-out. An opt-out informed consent protocol was utilized to collect participant data for research purposes.

Data Availability Statement

The data that support the findings of this study are available from the corresponding author, upon reasonable request with the permission of the research ethics committee.

Acknowledgments

We thank Ayaka Ooishi and Naoko Murakoshi for technical assistance. We thank Laura Mezey for reviewing the English language in this manuscript.

Conflicts of Interest

The authors declare no conflicts of interest.

Appendix A

Figure A1. The distribution between DPOAE levels before VEMP testing and age. P-values of Pearson product moment correlation coefficient analysis: p<0.0001 in all parameters. (n = 348 ears in 1, 1.4, 2, 2.8, 4, and 6 kHz and n= 298 in sum and average).
Figure A1. The distribution between DPOAE levels before VEMP testing and age. P-values of Pearson product moment correlation coefficient analysis: p<0.0001 in all parameters. (n = 348 ears in 1, 1.4, 2, 2.8, 4, and 6 kHz and n= 298 in sum and average).
Preprints 151788 g0a1
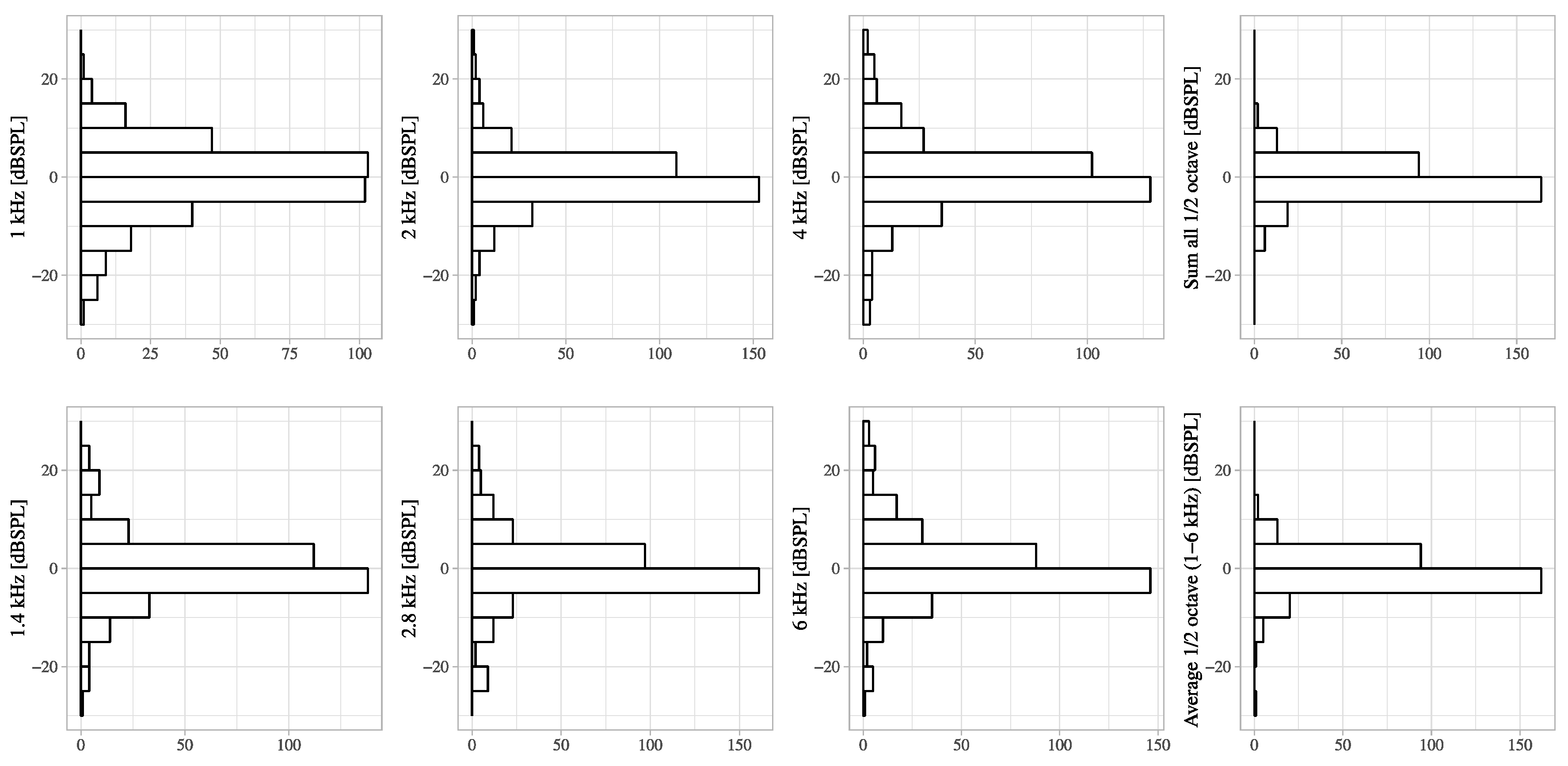
Figure A2. The distribution of DPOAE level decreases from pre DPOAE to post DPOAE for each frequency. The X-axis shows the number of cases.
Figure A2. The distribution of DPOAE level decreases from pre DPOAE to post DPOAE for each frequency. The X-axis shows the number of cases.
Preprints 151788 g0a2
Table A1. The DPOAE levels before VEMP testing. A: The average DPOAE levels for each parameter and p-values of the t-test. B: The ANOVA of factors in the DPOAE levels before VEMP testing. *: p<0.05.
Table A1. The DPOAE levels before VEMP testing. A: The average DPOAE levels for each parameter and p-values of the t-test. B: The ANOVA of factors in the DPOAE levels before VEMP testing. *: p<0.05.
Preprints 151788 i004
Table A2. The decreased DPOAE level for each frequency at each stimulation level. n: number of ears, *: p<0.05.
Table A2. The decreased DPOAE level for each frequency at each stimulation level. n: number of ears, *: p<0.05.
Preprints 151788 i005
Table A3. The decreased DPOAE level for each frequency by gender. n: number of ears, *: p<0.05.
Table A3. The decreased DPOAE level for each frequency by gender. n: number of ears, *: p<0.05.
Preprints 151788 i006
Table A4. The decreased DPOAE levels for each frequency in the left or right ears. *: p<0.05 (n = 348 ears in 1, 1.4, 2, 2.8, 4, and 6 kHz and n= 298 in sum and average).
Table A4. The decreased DPOAE levels for each frequency in the left or right ears. *: p<0.05 (n = 348 ears in 1, 1.4, 2, 2.8, 4, and 6 kHz and n= 298 in sum and average).
Preprints 151788 i007

References

  1. Murofushi, T. Clinical Application of Vestibular Evoked Myogenic Potential (VEMP). Auris Nasus Larynx 2016, 43, 367–376. [Google Scholar] [CrossRef] [PubMed]
  2. Mau, C.; Kamal, N.; Badeti, S.; Reddy, R.; Ying, Y.L.M.; Jyung, R.W.; Liu, J.K. Superior Semicircular Canal Dehiscence: Diagnosis and Management. J. Clin. Neurosci. 2018, 48, 58–65. [Google Scholar] [CrossRef] [PubMed]
  3. Goto, F.; Wasano, K.; Kaneda, S.; Okami, K. Prognostic Significance Vestibular Examination Results in Patients with Vestibular Migraine. Front. Neurol. 2024, 15, 1370940. [Google Scholar] [CrossRef] [PubMed]
  4. Sreedharan Sanitha, A.; Sinha, S.K. Assessment of Sacculocollic and Vestibulomasseteric Reflex Pathways in Individuals With Migraine and Vestibular Migraine. Am. J. Audiol. 2024, 33, 1257–1269. [Google Scholar] [CrossRef]
  5. Zhang, Y.; Chen, Z.; Zhang, Y.; Chen, F.; Gao, Y.; Hu, J.; Wang, J.; Duan, M.; Zhang, Q. Is Galvanic VEMP a Prediction of the Nerve Origin and Damage in Patients of Vestibular Schwannoma. Acta Otolaryngol. 2024, 144, 333–340. [Google Scholar] [CrossRef]
  6. Rosengren, S.M.; Welgampola, M.S.; Taylor, R.L. Vestibular-Evoked Myogenic Potentials in Bilateral Vestibulopathy. Front. Neurol. 2018, 9. [Google Scholar] [CrossRef]
  7. Yang, C.H.; Yang, M.Y.; Hwang, C.F.; Lien, K.H. Functional and Molecular Markers for Hearing Loss and Vertigo Attacks in Meniere’s Disease. Int. J. Mol. Sci. 2023, 24, 2504. [Google Scholar] [CrossRef]
  8. Singh, N.K.; Kumar, P.; Jagadish, N.; Mendhakar, A.; Mahajan, Y. Utility of Inter-Frequency Amplitude Ratio of Vestibular-Evoked Myogenic Potentials in Identifying Meniere’s Disease: A Systematic Review and Meta-Analysis. Ear Hear. 2023, 44, 940–948. [Google Scholar] [CrossRef]
  9. Hong, S.S.; Wackym, P.A.; Murphy, D.J.; Peci, E.; Kiel, M.Y.; Tucker, A.; Carayannopoulos, N.L.; Chandrasekar, S.C.; Suresh, N.; Utku, U.A.; et al. Model of Superior Semicircular Canal Dehiscence: Asymmetrical Vestibular Dysfunction Induces Reversible Balance Impairment. Front. Neurol. 2024, 15, 1476004. [Google Scholar] [CrossRef]
  10. Yaman, H.; Polat, B.; Şerbetçioğlu, M.B. Can Auditory and Vestibular Findings Differentiate Vestibular Migraine and Meniere’s Disease? J. Audiol. Otol. 2023, 27, 104–109. [Google Scholar] [CrossRef]
  11. Wu, Y.; Ling, X.; Song, N.; Yan, S.; Wang, W.; Yang, X.; Gu, P. Comparison of Clinical Characteristics and Vestibular Function Test Results in Patients with Vestibular Migraine and Menière’s Disease. Braz. J. Otorhinolaryngol. 2023, 89, 101274. [Google Scholar] [CrossRef] [PubMed]
  12. Lucieer, F.; van der Lubbe, M.; van Stiphout, L.; Janssen, M.; Van Rompaey, V.; Devocht, E.; Perez-Fornos, A.; Guinand, N.; van de Berg, R. Multi-Frequency VEMPs Improve Detection of Present Otolith Responses in Bilateral Vestibulopathy. Front. Neurol. 2024, 15, 1336848. [Google Scholar] [CrossRef]
  13. Lin, K.L.; Chen, C.M.; Wang, S.J.; Young, Y.H. Correlating Vestibular Schwannoma Size with Vestibular-Evoked Myogenic Potential Results. Ear Hear. 2014, 35, 571–576. [Google Scholar] [CrossRef] [PubMed]
  14. Portnuff, C.D.F.; Kleindienst, S.; Bogle, J.M. Safe Use of Acoustic Vestibular-Evoked Myogenic Potential Stimuli: Protocol and Patient-Specific Considerations. J. Am. Acad. Audiol. 2017, 28, 708–717. [Google Scholar] [CrossRef] [PubMed]
  15. Mattingly, J.K.; Portnuff, C.D.F.; Hondorp, B.M.; Cass, S.P. Sudden Bilateral Hearing Loss After Cervical and Ocular Vestibular Evoked Myogenic Potentials. Otol. Neurotol. 2015, 36, 961–964. [Google Scholar] [CrossRef]
  16. Asakura, S.; Kamogashira, T. Sudden Bilateral Hearing Loss after Vestibular-Evoked Myogenic Potentials. Clin. Case Reports 2021, 9, e05025. [Google Scholar] [CrossRef]
  17. Krause, E.; Mayerhofer, A.; Gürkov, R.; Drexl, M.; Braun, T.; Olzowy, B.; Boetzel, K. Effects of Acoustic Stimuli Used for Vestibular Evoked Myogenic Potential Studies on the Cochlear Function. Otol. Neurotol. 2013, 34, 1186–1192. [Google Scholar] [CrossRef]
  18. Strömberg, A.K.; Olofsson, Å.; Westin, M.; Duan, M.; Stenfelt, S. Changes in Cochlear Function Related to Acoustic Stimulation of Cervical Vestibular Evoked Myogenic Potential Stimulation. Hear. Res. 2016, 340, 43–49. [Google Scholar] [CrossRef]
  19. Rodriguez, A.I.; Thomas, M.L.A.; Fitzpatrick, D.; Janky, K.L. Effects of High Sound Exposure during Air-Conducted Vestibular Evoked Myogenic Potential Testing in Children and Young Adults. Ear Hear. 2018, 39, 269–277. [Google Scholar] [CrossRef]
  20. Singh, N.K.; Keloth, N.K.; Sinha, S. Is There a Safe Level for Recording Vestibular Evoked Myogenic Potential? Evidence from Cochlear and Hearing Function Tests. Ear Hear. 2019, 40, 493–500. [Google Scholar] [CrossRef]
  21. Fujimoto, C.; Egami, N.; Kinoshita, M.; Sugasawa, K.; Yamasoba, T.; Iwasaki, S. Involvement of Vestibular Organs in Idiopathic Sudden Hearing Loss with Vertigo: An Analysis Using OVEMP and CVEMP Testing. Clin. Neurophysiol. 2015, 126, 1033–1038. [Google Scholar] [CrossRef] [PubMed]
  22. Papathanasiou, E.S.; Murofushi, T.; Akin, F.W.; Colebatch, J.G. International Guidelines for the Clinical Application of Cervical Vestibular Evoked Myogenic Potentials: An Expert Consensus Report. Clin. Neurophysiol. 2014, 125, 658–666. [Google Scholar] [CrossRef]
  23. Colebatch, J.G.; Rosengren, S.M.; Krause, E.; Boetzel, K.; Colebatch, J.G.; Rosengren, S.M.; Krause, E.; Boetzel, K.; Colebatch, J.G.; Rosengren, S.M. Safe Levels of Acoustic Stimulation: Comment on “Effects of Acoustic Stimuli Used for Vestibular Evoked Myogenic Potential Studies on the Cochlear Function. ” Otol. Neurotol. 2014, 35, 933–934. [Google Scholar] [CrossRef] [PubMed]
  24. Singh, N.K.; Kashyap, R.S.; Supreetha, L.; Sahana, V. Characterization of Age-Related Changes in Sacculocolic Response Parameters Assessed by Cervical Vestibular Evoked Myogenic Potentials. Eur. Arch. Oto-Rhino-Laryngology 2014, 271, 1869–1877. [Google Scholar] [CrossRef] [PubMed]
  25. Janky, K.L.; Shepard, N. Vestibular Evoked Myogenic Potential (VEMP) Testing: Normative Threshold Response Curves and Effects of Age. J. Am. Acad. Audiol. 2009, 20, 514–522. [Google Scholar] [CrossRef]
  26. Ohlemiller, K.K. Contributions of Mouse Models to Understanding of Age- and Noise-Related Hearing Loss. Brain Res. 2006, 1091, 89–102. [Google Scholar] [CrossRef]
  27. Kujawa, S.G.; Liberman, M.C. Acceleration of Age-Related Hearing Loss by Early Noise Exposure: Evidence of a Misspent Youth. J. Neurosci. 2006, 26, 2115–2123. [Google Scholar] [CrossRef]
  28. Toppila, E.; Pyykkö, I.; Starck, J. Age and Noise-Induced Hearing Loss. Scand. Audiol. 2001, 30, 236–244. [Google Scholar] [CrossRef]
  29. Chung, D.; Mason, K.; Gannon, P.; Willson, G. The Ear Effect as a Function of Age and Hearing Loss. J. Acoust. Soc. Am. 1983, 73, 1277–1282. [Google Scholar] [CrossRef]
  30. Fernandes, S. V.; Fernandes, C.M. Medicolegal Significance of Asymmetrical Hearing Loss in Cases of Industrial Noise Exposure. J. Laryngol. Otol. 2010, 124, 1051–1055. [Google Scholar] [CrossRef]
  31. Chung, D.Y.; Willson, G.N.; Gannon, R.P. Lateral Differences in Susceptibility to Noise Damage. Int. J. Audiol. 1983, 22, 199–205. [Google Scholar] [CrossRef] [PubMed]
  32. Masterson, L.; Howard, J.; Liu, Z.W.; Phillips, J. Asymmetrical Hearing Loss in Cases of Industrial Noise Exposure: A Systematic Review of the Literature. Otol. Neurotol. 2016, 37, 998–1005. [Google Scholar] [CrossRef] [PubMed]
  33. Reuter, K.; Ordoñez, R.; Hammershøi, D. Overexposure Effects of a 1-KHz Tone on the Distortion Product Otoacoustic Emission in Humans. J. Acoust. Soc. Am. 2007, 122, 378–386. [Google Scholar] [CrossRef] [PubMed]
  34. Aranda de Toro, M.A.; Ordoñez, R.; Reuter, K.; Hammersh⊘i, D. Recovery of Distortion-Product Otoacoustic Emissions after a 2-KHz Monaural Sound-Exposure in Humans: Effects on Fine Structures. J. Acoust. Soc. Am. 2010, 128, 3568–3576. [Google Scholar] [CrossRef]
  35. Engdahl, B.; Tambs, K.; Borchgrevink, H.M.; Hoffman, H.J. Screened and Unscreened Hearing Threshold Levels for the Adult Population: Results from the Nord-Trøndelag Hearing Loss Study. Int. J. Audiol. 2005, 44, 213–230. [Google Scholar] [CrossRef]
  36. Zhou, J.; Shi, Z.; Zhou, L.; Hu, Y.; Zhang, M. Occupational Noise-Induced Hearing Loss in China: A Systematic Review and Meta-Analysis. BMJ Open 2020, 10, e039576. [Google Scholar] [CrossRef]
  37. Engdahl, B.; Tambs, K. Occupation and the Risk of Hearing Impairment - Results from the Nord-Trøndelag Study on Hearing Loss. Scand. J. Work. Environ. Heal. 2010, 36, 250–257. [Google Scholar] [CrossRef]
  38. Wang, Q.; Wang, X.; Yang, L.; Han, K.; Huang, Z.; Wu, H. Sex Differences in Noise-Induced Hearing Loss: A Cross-Sectional Study in China. Biol. Sex Differ. 2021, 12, 24. [Google Scholar] [CrossRef]
  39. Lien, K.H.; Yang, C.H. Sex Differences in the Triad of Acquired Sensorineural Hearing Loss. Int. J. Mol. Sci. 2021, 22, 8111. [Google Scholar] [CrossRef]
  40. Cody, A.R.; Johnstone, B.M. Acoustic Trauma: Single Neuron Basis for the “Half-Octave Shift. ” J. Acoust. Soc. Am. 1981, 70, 707–711. [Google Scholar] [CrossRef]
  41. Schmiedt, R.A. Acoustic Injury and the Physiology of Hearing. J. Acoust. Soc. Am. 1984, 76, 1293–1317. [Google Scholar] [CrossRef] [PubMed]
  42. Harding, G.W.; Bohne, B.A. Distribution of Focal Lesions in the Chinchilla Organ of Corti Following Exposure to a 4-KHz or a 0.5-KHz Octave Band of Noise. Hear. Res. 2007, 225, 50–59. [Google Scholar] [CrossRef] [PubMed]
  43. Ramamoorthy, S.; Nuttall, A.L. Half-Octave Shift in Mammalian Hearing Is an Epiphenomenon of the Cochlear Amplifier. PLoS One 2012, 7, e45640. [Google Scholar] [CrossRef]
  44. Osei-Lah, V.; Yeoh, L.H. High Frequency Audiometric Notch: An Outpatient Clinic Survey. Int. J. Audiol. 2010, 49, 95–98. [Google Scholar] [CrossRef]
  45. Huang, F.J.; Hsieh, C.J.; Young, C.H.; Chung, S.H.; Tseng, C.C.; Yiin, L.M. The Assessment of Exposure to Occupational Noise and Hearing Loss for Stoneworkers in Taiwan. Noise Heal. 2018, 20, 146–151. [Google Scholar]
  46. DAVIS, H.; MORGAN, C.T.; HAWKINS, J.E.; GALAMBOS, R.; SMITH, F.W. Temporary Deafness Following Exposure to Loud Tones and Noise. Acta Otolaryngol. Suppl. 1950, 88, 1–56. [Google Scholar] [CrossRef]
  47. Mills, J.H.; Gilbert, R.M.; Adkins, W.Y. Temporary Threshold Shifts in Humans Exposed to Octave Bands of Noise for 16 to 24 Hours. J. Acoust. Soc. Am. 1979, 65, 1238–1248. [Google Scholar] [CrossRef]
  48. Engdahl, B.; Kemp, D.T. The Effect of Noise Exposure on the Details of Distortion Product Otoacoustic Emissions in Humans. J. Acoust. Soc. Am. 1996, 99, 1573–1587. [Google Scholar] [CrossRef]
  49. Marshall, L.; Heller, L.M. Transient-Evoked Otoacoustic Emissions as a Measure of Noise-Induced Threshold Shift. J. Speech. Lang. Hear. Res. 1998, 41, 1319–1334. [Google Scholar] [CrossRef]
  50. Marshall, L.; Lapsley Miller, J.A.; Heller, L.M.; Wolgemuth, K.S.; Hughes, L.M.; Smith, S.D.; Kopke, R.D. Detecting Incipient Inner-Ear Damage from Impulse Noise with Otoacoustic Emissions. J. Acoust. Soc. Am. 2009, 125, 995–1013. [Google Scholar] [CrossRef]
Figure 1. The distribution between decreased DPOAE levels and DPOAE levels before VEMP testing. P-values of Pearson product moment correlation coefficient analysis: p<0.0001, p<0.0001, p=0.0015, p<0.0001, p<0.0001, p<0.0001, p=0.03, and p=0.01 in 1, 1.4, 2, 2.8, 4, and 6 kHz, sum and average. (n = 348 ears in 1, 1.4, 2, 2.8, 4, and 6 kHz and n = 298 in sum and average).
Figure 1. The distribution between decreased DPOAE levels and DPOAE levels before VEMP testing. P-values of Pearson product moment correlation coefficient analysis: p<0.0001, p<0.0001, p=0.0015, p<0.0001, p<0.0001, p<0.0001, p=0.03, and p=0.01 in 1, 1.4, 2, 2.8, 4, and 6 kHz, sum and average. (n = 348 ears in 1, 1.4, 2, 2.8, 4, and 6 kHz and n = 298 in sum and average).
Preprints 151788 g001
Figure 2. The distribution of decreased DPOAE levels and age. P-values of Pearson product moment correlation coefficient analysis: p=0.45, p=0.83, p=0.95, p=0.06, p=0.44, p=0.01, p=0.15, and p=0.20 in 1, 1.4, 2, 2.8, 4, and 6 kHz, sum and average. (n = 348 ears in 1, 1.4, 2, 2.8, 4, and 6 kHz and n = 298 in sum and average).
Figure 2. The distribution of decreased DPOAE levels and age. P-values of Pearson product moment correlation coefficient analysis: p=0.45, p=0.83, p=0.95, p=0.06, p=0.44, p=0.01, p=0.15, and p=0.20 in 1, 1.4, 2, 2.8, 4, and 6 kHz, sum and average. (n = 348 ears in 1, 1.4, 2, 2.8, 4, and 6 kHz and n = 298 in sum and average).
Preprints 151788 g002
Table 1. The average DPOAE levels before and after VEMP testing for each frequency. P-value: P-values of paired t-test (paired) and Wilcoxon signed-rank (Wilcoxon). (n = 348 ears in 1, 1.4, 2, 2.8, 4, and 6 kHz and n = 298 in sum and average) *: p<0.05.
Table 1. The average DPOAE levels before and after VEMP testing for each frequency. P-value: P-values of paired t-test (paired) and Wilcoxon signed-rank (Wilcoxon). (n = 348 ears in 1, 1.4, 2, 2.8, 4, and 6 kHz and n = 298 in sum and average) *: p<0.05.
Preprints 151788 i001
Table 2. The difference in DPOAE level for each frequency in older (>=65) and younger (<65) age groups. P-value: P-values of paired t-test (paired) and Wilcoxon signed-rank (Wilcoxon). *: p<0.05, n: number of ears.
Table 2. The difference in DPOAE level for each frequency in older (>=65) and younger (<65) age groups. P-value: P-values of paired t-test (paired) and Wilcoxon signed-rank (Wilcoxon). *: p<0.05, n: number of ears.
Preprints 151788 i002
Table 3. The ANOVA of factors in the decreased DPOAE levels. *: p<0.05 (n = 348 ears in 1, 1.4, 2, 2.8, 4, and 6 kHz and n= 298 in sum and average).
Table 3. The ANOVA of factors in the decreased DPOAE levels. *: p<0.05 (n = 348 ears in 1, 1.4, 2, 2.8, 4, and 6 kHz and n= 298 in sum and average).
Preprints 151788 i003
Disclaimer/Publisher’s Note: The statements, opinions and data contained in all publications are solely those of the individual author(s) and contributor(s) and not of MDPI and/or the editor(s). MDPI and/or the editor(s) disclaim responsibility for any injury to people or property resulting from any ideas, methods, instructions or products referred to in the content.
Copyright: This open access article is published under a Creative Commons CC BY 4.0 license, which permit the free download, distribution, and reuse, provided that the author and preprint are cited in any reuse.
Prerpints.org logo

Preprints.org is a free preprint server supported by MDPI in Basel, Switzerland.

Subscribe

Disclaimer

Terms of Use

Privacy Policy

Privacy Settings

© 2026 MDPI (Basel, Switzerland) unless otherwise stated