Submitted:
19 November 2024
Posted:
22 November 2024
You are already at the latest version
Abstract
Joint communication and sensing(JCS) is becoming an important trend in 6G, owing to its the efficient utilization of spectrum and hardware resource. Utilizing echoes of the same signal can achieve the object location sensing function, in addition to V2X communication function. There is application potential for JCS systems in the fields of ADAS and unmanned autos. Currently, NR-V2X sidelink has been standardized by 3GPP to support the low-latency high-reliability direct communication. In order to combine benefits from both direct communication and JCS, it is promising to extend existing NR-V2X sidelink communication towards sidelink JCS. However, the conflicting performance requirements arise between radar sensing accuracy and communication reliability with the limited sidelink spectrum. In order to overcome the challenges in the distributed resource allocation of sidelink JCS with a full-duplex, this paper has proposed a novel consecutive-collision mitigation semi-persistent scheduling (CCM-SPS) scheme, including the collision detection and Q-learning training stages to suppress collision probabilities. Theoretical performance analyses on Cramér-Rao lower bounds(CRLB) has been made for the sensing of sidelink JCS. Key performance metrics such as CRLB, PRR and UD have been evaluated. The simulation results indicate the superior performance of CCM-SPS to the counterparts, with promising application prospects.
Keywords:
1. Introduction
- In order to address the conflicting requirement between sensing accuracy and communication reliability for sidelink resources, a novel collision mitigation resource allocation scheme is proposed. The algorithm integrates the full-duplex detection capability of JCS with the resource sensing reservation process of the traditional SB-SPS scheme. This allows vehicles to dynamically optimize reservation times based on sensing channel information, effectively reducing consecutive packet collisions and enhancing the overall utilization efficiency of resources in the sidelink JCS system.
- The performance of the proposed CCM-SPS and traditional SB-SPS is theoretically analyzed in scenarios of variety vehicle density and packet size. Through reinforcement learning, comprehensive optimization of resource utilization for sensing and communication is achieved.
- Comprehensive evaluations are performed using the Cramér-Rao lower bounds(CRLB), packet reception rate (PRR) and update delay (UD). The novel scheme shows comparative advantages in positioning accuracy, latency, and reliability performance indicators over comparative scheme.
2. Related Works
3. Theoretical Performance Analysis on Sidelink JCS System
4. Consecutive Collision Problem Analysis of the Sidelink Resource Allocation
4.1. Principle of the SB-SPS Resource Allocation Scheme
4.2. Markov Chain Model of SB-SPS
5. Q-learning based CCM-SPS Resource Alloaction Scheme proposed for JCS Sidelink
5.1. Collision Detection Mechanism
5.2. Q-learning based CCM-SPS Scheme for JCS Sidelink
5.2.1. Vehicular Agent based on the Reinforce Learning Model
5.2.2. Algorithm Flow and Pseudo-code
| Algorithm 1 Pseudo-code of the proposed CCM-SPS |
|
Input: Vehicle density,Packets occupy bandwidth
Output:
|
6. JCS Sidelink Performance Evaluation using CCM-SPS
6.1. Simulation Setup
| Parameter | Symbol | Value |
|---|---|---|
| Scenario | ||
| Road layout | - - | Highway,3+3 lanes |
| Density | - - | 50,150,250 vehicles/km |
| Average speed | - - | 70 km/h |
| STD of vehicle speed | - - | 7 km/h |
| Target RCS | 10 dBsm | |
| Power and propagation | ||
| Channel model(interference) | - - | WINNER+, B1 |
| Available channel bandwidth | 40 MHz | |
| Transmitted power | 23 dBm | |
| Antenna gain | G | 3 dBm |
| Noise figure | F | 6 dB |
| Center frequency | 5.9 GHz | |
| Shadowing | - - | Variance 3 dB,decorr.dist. 25 m |
| Physical layer | ||
| SCS | 15 kHz | |
| MCS | - - | 5(QPSK,) |
| Sbuchannel size | - - | 10 PRBs |
| Access layer | ||
| Keep probability | 0.8 | |
| Initial reselection counter | ||
| RSRP sensing threshold | - - | -126 dBm |
| Data traffic | ||
| Packet generation interval | - - | 100 ms |
| Packet size | - - | 350,1000 bytes |
| Packet | SCS | MCS | W[MHz] | |||
|---|---|---|---|---|---|---|
| 350 | 15 | 5 | 216 | 4 | 40 | 7.2 |
| 1000 | 15 | 5 | 216 | 10 | 100 | 18 |
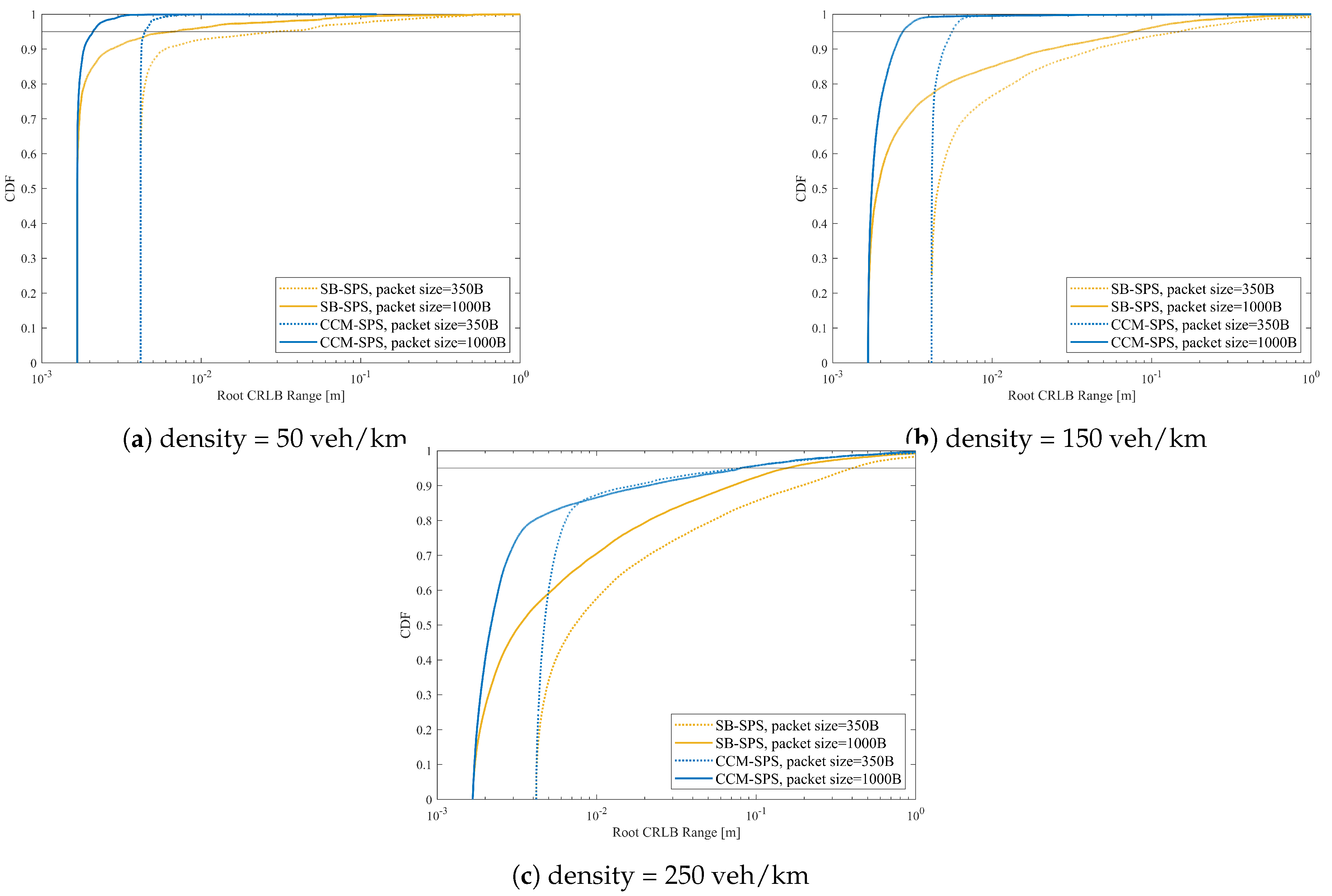
6.2. JCS Sidelike Performances with Dynamic Vehcile Density
6.3. JCS Sidelike Performances with Dynamic Packet Sizes
6.3.1. Conflicting Impacts of Packet Sizes on JCS Performance Metrics
6.3.2. optimization performance evaluation of Q-learning based CCM-SPS
7. Conclusions
References
- YAN, S.; PENG, M.g.; WANG, W.b. Integration of communication, sensing and computing: The vision and key technologies of 6G. Journal of Beijing University of Posts and Telecommunications 2021, 44, 1. [Google Scholar]
- Griffiths, H.; Cohen, L.; Watts, S.; Mokole, E.; Baker, C.; Wicks, M.; Blunt, S. Radar spectrum engineering and management: Technical and regulatory issues. Proceedings of the IEEE 2014, 103, 85–102. [Google Scholar] [CrossRef]
- Liu, F.; Cui, Y.; Masouros, C.; Xu, J.; Han, T.X.; Eldar, Y.C.; Buzzi, S. Integrated sensing and communications: Toward dual-functional wireless networks for 6G and beyond. IEEE journal on selected areas in communications 2022, 40, 1728–1767. [Google Scholar] [CrossRef]
- Garcia, M.H.C.; Molina-Galan, A.; Boban, M.; Gozalvez, J.; Coll-Perales, B.; Şahin, T.; Kousaridas, A. A tutorial on 5G NR V2X communications. IEEE Communications Surveys & Tutorials 2021, 23, 1972–2026. [Google Scholar]
- Decarli, N.; Bartoletti, S.; Bazzi, A.; Stirling-Gallacher, R.A.; Masini, B.M. Performance Characterization of Joint Communication and Sensing With Beyond 5 G NR-V2X Sidelink. IEEE Transactions on Vehicular Technology 2024. [Google Scholar] [CrossRef]
- Jeon, Y.; Kuk, S.; Kim, H. Reducing message collisions in sensing-based semi-persistent scheduling (SPS) by using reselection lookaheads in cellular V2X. Sensors 2018, 18, 4388. [Google Scholar] [CrossRef] [PubMed]
- Gu, B.; Chen, W.; Alazab, M.; Tan, X.; Guizani, M. Multiagent reinforcement learning-based semi-persistent scheduling scheme in c-v2x mode 4. IEEE Transactions on Vehicular Technology 2022, 71, 12044–12056. [Google Scholar] [CrossRef]
- Gu, X.; Peng, J.; Cai, L.; Cheng, Y.; Zhang, X.; Liu, W.; Huang, Z. Performance analysis and optimization for semi-persistent scheduling in c-v2x. IEEE Transactions on Vehicular Technology 2022, 72, 4628–4642. [Google Scholar] [CrossRef]
- Kolodziej, K.E.; Perry, B.T.; Herd, J.S. In-band full-duplex technology: Techniques and systems survey. IEEE Transactions on Microwave Theory and Techniques 2019, 67, 3025–3041. [Google Scholar] [CrossRef]
- Li, Y.; Liu, F.; Du, Z.; Yuan, W.; Shi, Q.; Masouros, C. Frame Structure and Protocol Design for Sensing-Assisted NR-V2X Communications. IEEE Transactions on Mobile Computing 2024. [Google Scholar] [CrossRef]
- Ni, Z.; Zhang, J.A.; Yang, K.; Liu, R. Frequency-hopping based joint automotive radar-communication systems using a single device. 2022 IEEE International Conference on Communications Workshops (ICC Workshops). IEEE, 2022, pp. 480–485.
- Liu, Y.; Liao, G.; Chen, Y.; Xu, J.; Yin, Y. Super-resolution range and velocity estimations with OFDM integrated radar and communications waveform. IEEE Transactions on Vehicular Technology 2020, 69, 11659–11672. [Google Scholar] [CrossRef]
- Gaudio, L.; Kobayashi, M.; Caire, G.; Colavolpe, G. On the effectiveness of OTFS for joint radar parameter estimation and communication. IEEE Transactions on Wireless Communications 2020, 19, 5951–5965. [Google Scholar] [CrossRef]
- Zhang, Q.; Li, Z.; Gao, X.; Feng, Z. Performance evaluation of radar and communication integrated system for autonomous driving vehicles. IEEE INFOCOM 2021-IEEE Conference on Computer Communications Workshops (INFOCOM WKSHPS). IEEE, 2021, pp. 1–2.
- Yang, H.; Wei, Z.; Feng, Z.; Qiu, C.; Fang, Z.; Chen, X.; Zhang, P. Queue-aware dynamic resource allocation for the joint communication-radar system. IEEE Transactions on Vehicular Technology 2020, 70, 754–767. [Google Scholar] [CrossRef]
- Liu, F.; Masouros, C. Joint localization and predictive beamforming in vehicular networks: Power allocation beyond water-filling. ICASSP 2021-2021 IEEE International Conference on Acoustics, Speech and Signal Processing (ICASSP). IEEE, 2021, pp. 8393–8397.
- Zhong, Y.; Bi, T.; Wang, J.; Zeng, J.; Huang, Y.; Jiang, T.; Wu, Q.; Wu, S. Empowering the V2X network by integrated sensing and communications: Background, design, advances, and opportunities. IEEE Network 2022, 36, 54–60. [Google Scholar] [CrossRef]
- Liyanaarachchi, S.D.; Barneto, C.B.; Riihonen, T.; Valkama, M. Experimenting joint vehicular communications and sensing with optimized 5G NR waveform. 2021 IEEE 93rd Vehicular Technology Conference (VTC2021-Spring). IEEE, 2021, pp. 1–5.
- Decarli, N.; Guerra, A.; Giovannetti, C.; Guidi, F.; Masini, B.M. V2X sidelink localization of connected automated vehicles. IEEE Journal on Selected Areas in Communications 2023. [Google Scholar] [CrossRef]
- Giovannetti, C.; Decarli, N.; Bartoletti, S.; Stirling-Gallacher, R.A.; Masini, B.M. Target Positioning Accuracy of V2X Sidelink Joint Communication and Sensing. IEEE Wireless Communications Letters 2023. [Google Scholar] [CrossRef]
- Bartoletti, S.; Decarli, N.; Masini, B.M. Sidelink 5G-V2X for integrated sensing and communication: the impact of resource allocation. 2022 IEEE International Conference on Communications Workshops (ICC Workshops). IEEE, 2022, pp. 79–84.
- European Telecommunications Standards Institute (ETSI). LTE; 5G; Overall description of Radio Access Network (RAN) aspects for Vehicle-to-everything (V2X) based on LTE and NR, 1 January 2024.
- 3GPP. Technical specification Group services and system Aspects. Release 2018, 15.
- Jeon, Y.; Kim, H. An explicit reservation-augmented resource allocation scheme for C-V2X sidelink mode 4. IEEE Access 2020, 8, 147241–147255. [Google Scholar] [CrossRef]
- Yin, J.; Hwang, S.H. Reuse Distance-Aided Resource Selection Mechanisms for NR-V2X Sidelink Communication. Sensors 2023, 24, 253. [Google Scholar] [CrossRef]
- Jiawei, T.; Pawase, C.J.; Chang, K. Adaptive Sidelink Open Loop Power Control Optimization Strategies for Vehicle-to-Vehicle Communications in 5G-NR-V2X. IEEE Access 2024. [Google Scholar] [CrossRef]
- Molina-Galan, A.; Lusvarghi, L.; Coll-Perales, B.; Gozalvez, J.; Merani, M.L. On the Impact of Re-evaluation in 5G NR V2X Mode 2. IEEE Transactions on Vehicular Technology 2023. [Google Scholar] [CrossRef]
- Lu, Y.; Wang, P.; Wang, S.; Yao, W. A Q-learning based SPS resource scheduling algorithm for reliable C-V2X communication. Proceedings of the 2021 5th International Conference on Digital Signal Processing, 2021, pp. 201–206.
- Saad, M.M.; Tariq, M.A.; Seo, J.; Ajmal, M.; Kim, D. Age-of-information aware intelligent MAC for congestion control in NR-V2X. 2023 Fourteenth International Conference on Ubiquitous and Future Networks (ICUFN). IEEE, 2023, pp. 265–270.
- Urmonov, O.; Aliev, H.; Kim, H. Multi-agent deep reinforcement learning for enhancement of distributed resource allocation in vehicular network. IEEE Systems Journal 2022, 17, 491–502. [Google Scholar] [CrossRef]
- Campolo, C.; Molinaro, A.; Berthet, A.O.; Vinel, A. Full-duplex radios for vehicular communications. IEEE Communications Magazine 2017, 55, 182–189. [Google Scholar] [CrossRef]
- Campolo, C.; Bazzi, A.; Todisco, V.; Bartoletti, S.; Decarli, N.; Molinaro, A.; Berthet, A.O.; Stirling-Gallacher, R.A. Enhancing the 5G-V2X sidelink autonomous mode through full-duplex capabilities. 2022 IEEE 95th Vehicular Technology Conference:(VTC2022-Spring). IEEE, 2022, pp. 1–6.
- Campolo, C.; Molinaro, A.; Romeo, F.; Bazzi, A.; Berthet, A.O. Full duplex-aided sensing and scheduling in cellular-V2X mode 4. Proceedings of the 1st ACM MobiHoc workshop on technologies, models, and protocols for cooperative connected cars, 2019, pp. 19–24.
- Radios, F.D. Performance Analysis of V2V Beaconing Using LTE in Direct Mode with Full Duplex Radios 2015.
- Barneto, C.B.; Liyanaarachchi, S.D.; Heino, M.; Riihonen, T.; Valkama, M. Full duplex radio/radar technology: The enabler for advanced joint communication and sensing. IEEE Wireless Communications 2021, 28, 82–88. [Google Scholar] [CrossRef]
- Gaudio, L.; Kobayashi, M.; Bissinger, B.; Caire, G. Performance analysis of joint radar and communication using OFDM and OTFS. 2019 IEEE International Conference on Communications Workshops (ICC Workshops). IEEE, 2019, pp. 1–6.
- Keskin, M.F.; Koivunen, V.; Wymeersch, H. Limited feedforward waveform design for OFDM dual-functional radar-communications. IEEE Transactions on Signal Processing 2021, 69, 2955–2970. [Google Scholar] [CrossRef]
- Lien, S.Y.; Deng, D.J.; Lin, C.C.; Tsai, H.L.; Chen, T.; Guo, C.; Cheng, S.M. 3GPP NR sidelink transmissions toward 5G V2X. IEEE Access 2020, 8, 35368–35382. [Google Scholar] [CrossRef]
- Shuai, W.; Yan, L.; Jie, Z.; Ping, W. A novel collision supervision and avoidance algorithm for scalable MAC of vehicular networks. Chinese Journal of Electronics 2021, 30, 164–170. [Google Scholar] [CrossRef]
- Wang, P.; Wang, S. A fairness-enhanced intelligent MAC scheme using Q-learning-based bidirectional backoff for distributed vehicular communication networks. Tsinghua Science and Technology 2022, 28, 258–268. [Google Scholar] [CrossRef]
- 3rd Generation Partnership Project (3GPP). Technical Specification Group Radio Access Network; Study on LTE-based V2X Services; Release 14. Technical Report 36.885, 3rd Generation Partnership Project (3GPP), 2016.














Disclaimer/Publisher’s Note: The statements, opinions and data contained in all publications are solely those of the individual author(s) and contributor(s) and not of MDPI and/or the editor(s). MDPI and/or the editor(s) disclaim responsibility for any injury to people or property resulting from any ideas, methods, instructions or products referred to in the content. |
© 2024 by the authors. Licensee MDPI, Basel, Switzerland. This article is an open access article distributed under the terms and conditions of the Creative Commons Attribution (CC BY) license (http://creativecommons.org/licenses/by/4.0/).