Submitted:
08 November 2024
Posted:
11 November 2024
You are already at the latest version
Abstract
Keywords:
1. Introduction
2. Methodology
2.1. Physical Model
2.2. Governing Equations
2.2.1. Enthalpy‒Porosity Method
2.2.2. Apparent Heat Capacity (AHC)
2.2.2. New Model
2.3. Numerical Model Setup
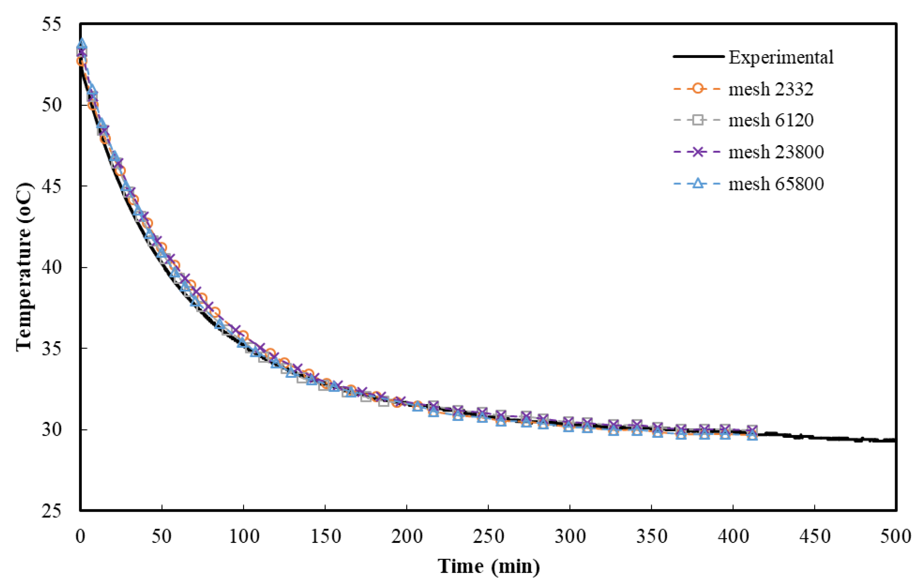
2.4. Mesh Tests
3. Numerical Results
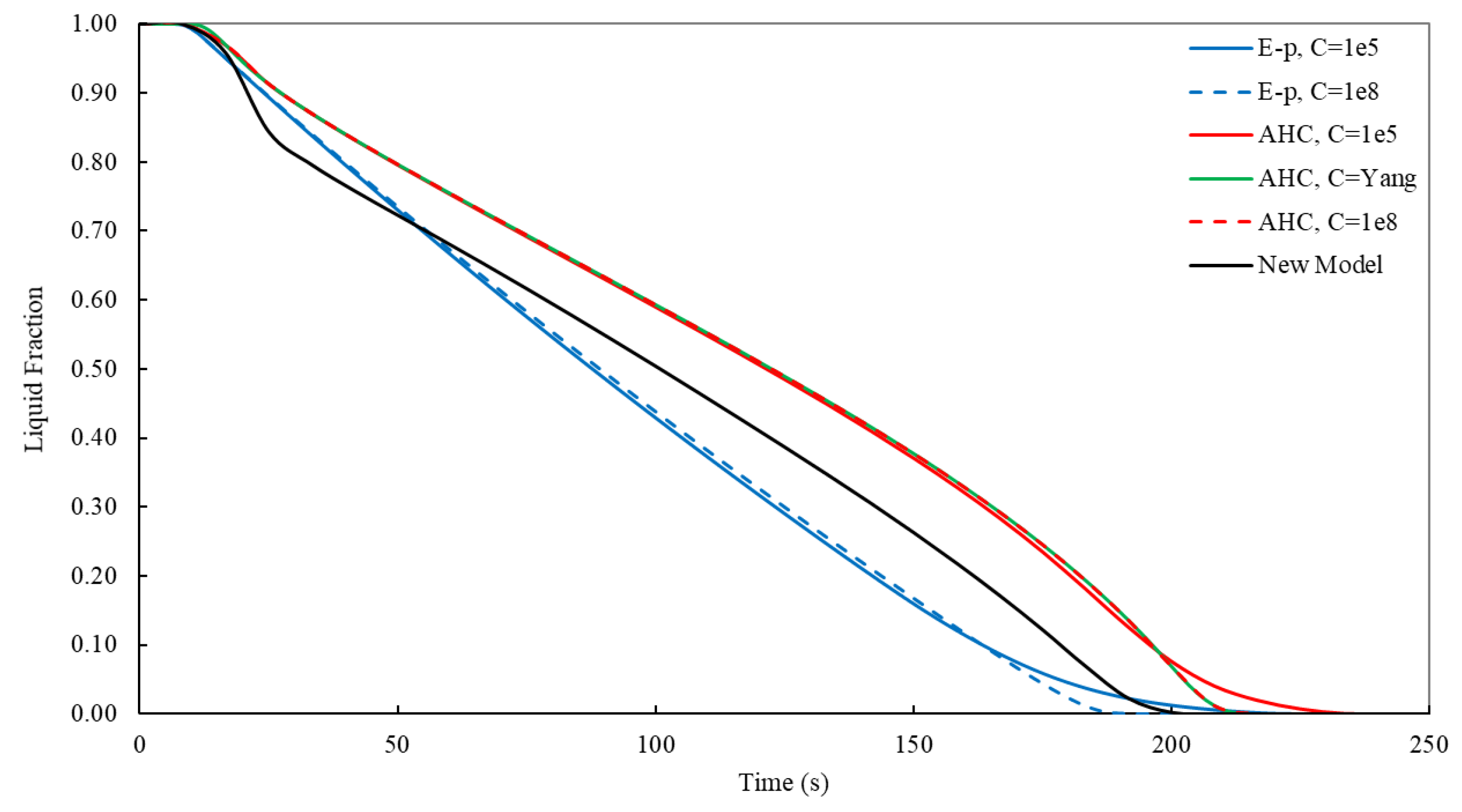
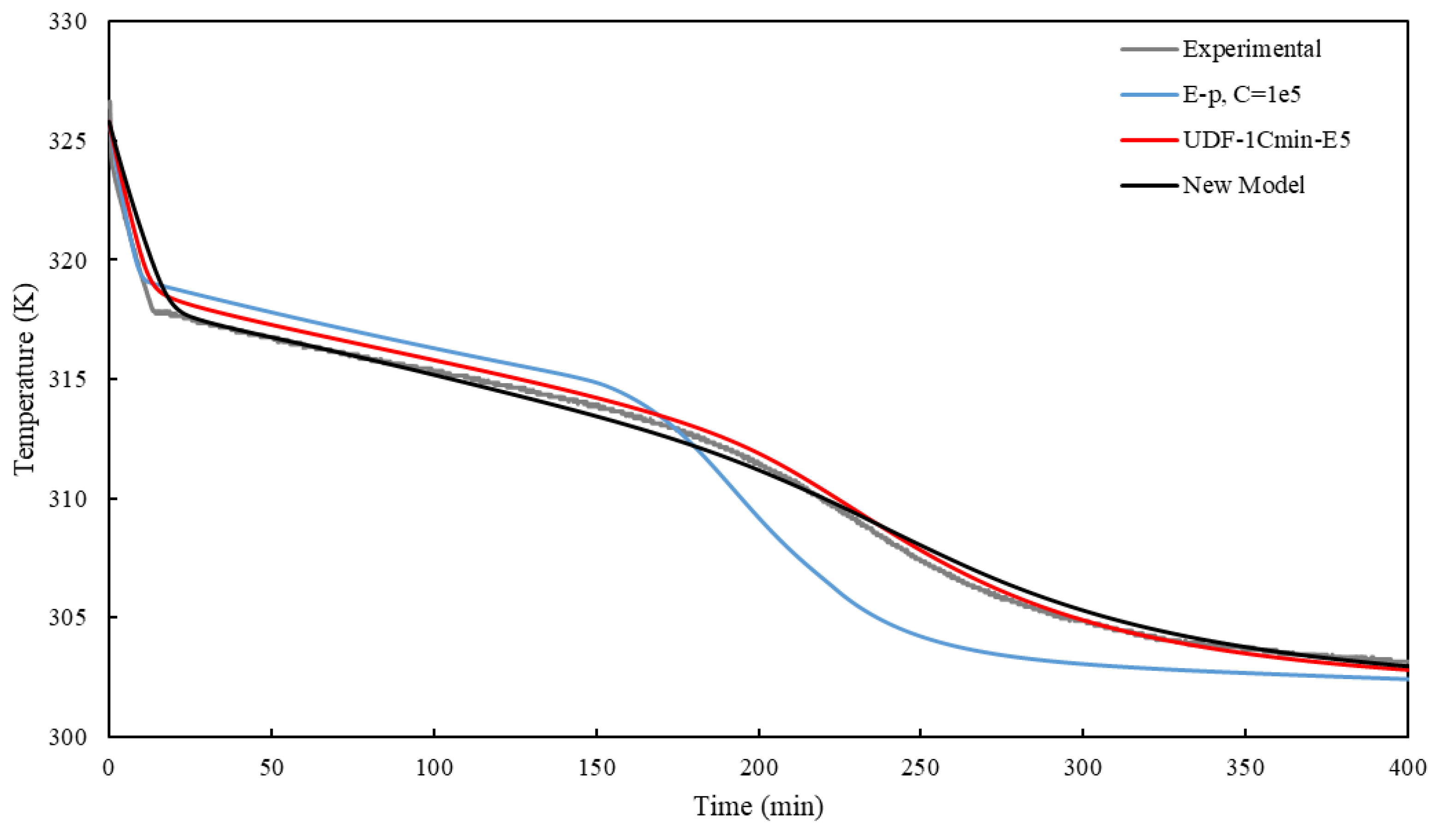
3.1. Comparing the Three Numerical Methods
3.2. The Effect of the Mushy Zone

4. Conclusions
Author Contributions
Funding
Institutional Review Board Statement
Informed Consent Statement
Data Availability Statement
Acknowledgments
Conflicts of Interest
References
- Jamal-Abad, M.T.; Saedodin, S.; Aminy, M. Experimental Investigation on a Solar Parabolic Trough Collector for Absorber Tube Filled with Porous Media. Renew. Energy 2017, 107, 156–163. [Google Scholar] [CrossRef]
- Jamal-Abad, M.T.; Saedodin, S.; Aminy, M. Heat Transfer in Concentrated Solar Air-Heaters Filled with a Porous Medium with Radiation Effects: A Perturbation Solution. Renew. Energy 2016, 91, 147–154. [Google Scholar] [CrossRef]
- Zamzamian, A.; Keyanpour-Rad, M.; Kiani-Neyestani, M.; Jamal-Abad, M.T. An Experimental Study on the Effect of Cu-Synthesized/EG Nanofluid on the Efficiency of Flat-Plate Solar Collectors. Renew. Energy 2014, 71, 658–664. [Google Scholar] [CrossRef]
- Jamal-Abad, M.T.; Saedodin, S.; Aminy, M. Variable Conductivity in Forced Convection for a Tube Filled with Porous Media: A Perturbation Solution. Ain Shams Eng. J. 2018, 9, 689–696. [Google Scholar] [CrossRef]
- Imre, A.R.; Daniarta, S.; Błasiak, P.; Kolasiński, P. Design, Integration, and Control of Organic Rankine Cycles with Thermal Energy Storage and Two-Phase Expansion System Utilizing Intermittent and Fluctuating Heat Sources—A Review. Energies 2023, 16, 5948. [Google Scholar] [CrossRef]
- Archibold, A.R.; Goswami, D.Y.; Rahman, M.M.; Stefanakos, E.K. Multimode Heat Transfer Analysis during Freezing of an Encapsulated Storage Medium. Int. J. Heat Mass Transfer 2015, 84, 600–609. [Google Scholar] [CrossRef]
- Ehms, J.H.N.; Oliveski, R.D.C.; Rocha, L.A.O.; Biserni, C. Theoretical and Numerical Analysis on Phase Change Materials (PCM): A Case Study of the Solidification Process of Erythritol in Spheres. Int. J. Heat Mass Transfer 2018, 119, 523–532. [Google Scholar] [CrossRef]
- Bilir, L.; Ilken, Z. Total Solidification Time of a Liquid Phase Change Material Enclosed in Cylindrical/Spherical Containers. Appl. Therm. Eng. 2005, 25, 1488–1502. [Google Scholar] [CrossRef]
- Motahar, S.; Alemrajabi, A.A.; Khodabandeh, R. Experimental Study on Solidification Process of a Phase Change Material Containing TiO₂ Nanoparticles for Thermal Energy Storage. Energy Convers. Manag. 2017, 138, 162–170. [Google Scholar] [CrossRef]
- Sefidan, A.M.; Taghilou, M.; Mohammadpour, M.; Sojoudi, A. Effects of Different Parameters on the Discharging of Double-Layer PCM through the Porous Channel. Appl. Therm. Eng. 2017, 123, 592–602. [Google Scholar] [CrossRef]
- Tajik Jamal-Abad, M.; Cortés, C.; Pallarés Ranz, J.; Gil, A. Approximate Analytical Solution for Solidification of PCM in Cylindrical Geometry with Temperature-Dependent Thermal Conductivity—Perturbation Method. J. Phys.: Conf. Ser. 2024, 2766, 012032. [Google Scholar] [CrossRef]
- Peter, A.; Cornelia, O. Study on Solid‒Liquid Interface Heat Transfer of PCM under Simultaneous Charging and Discharging (SCD) in Horizontal Cylinder Annulus. Heat Mass Transfer 2017. [CrossRef]
- Liu, J.; Xiao, Y.; Chen, D.; Ye, C.; Nie, C. Melting and Solidification Characteristics of PCM in Oscillated Bundled-Tube Thermal Energy Storage System. Energies 2024, 17, 1973. [Google Scholar] [CrossRef]
- Sparrow, E.M.; Broadbent, J.A. Freezing in a Vertical Tube. J. Heat Transfer 1983, 105, 217–225. [Google Scholar] [CrossRef]
- Shmueli, H.; Ziskind, G.; Letan, R. Melting in a Vertical Cylindrical Tube: Numerical Investigation and Comparison with Experiments. Int. J. Heat Mass Transfer 2010, 53, 4082–4091. [Google Scholar] [CrossRef]
- Menon, A.S.; Weber, M.E.; Mujumdar, A.S. The Dynamics of Energy Storage for Paraffin Wax in Cylindrical Containers. Can. J. Chem. Eng. 1983, 61, 647–653. [Google Scholar] [CrossRef]
- Mahamudur Rahman, M.; Hu, H.; Shabgard, H.; Boettcher, P.; Sun, Y.; McCarthy, M. Experimental Characterization of Inward Freezing and Melting of Additive-Enhanced Phase-Change Materials within Millimeter-Scale Cylindrical Enclosures. J. Heat Transfer 2016, 138, 1–13. [Google Scholar] [CrossRef]
- Kapilow, D.; Hsuan, Y.G.; Sun, Y.; McCarthy, M. Convective Melting and Freezing of Phase Change Materials Encapsulated within Small Diameter Polymer Tubes. Exp. Therm. Fluid Sci. 2018, 92, 259–269. [Google Scholar] [CrossRef]
- Kim, Y.; Honda, T.; Kanzawa, A. The Role of Natural Convection during Melting and Solidification of PCM in a Vertical Cylinder. Chem. Eng. Commun. 1989, 84, 43–60. [Google Scholar] [CrossRef]
- Izgi, B.; Arslan, M. Numerical Analysis of Solidification of PCM in a Closed Vertical Cylinder for Thermal Energy Storage Applications. Heat Mass Transfer 2020, 56, 2909–2922. [Google Scholar] [CrossRef]
- Allouche, Y.; Varga, S.; Bouden, C.; Oliveira, A. Validation of a CFD Model for the Simulation of Heat Transfer in a Tubes-in-Tank PCM Storage Unit. Renew. Energy 2016, 89, 371–379. [Google Scholar] [CrossRef]
- Ye, W.; Zhu, D.; Wang, N. Fluid Flow and Heat Transfer in a Latent Thermal Energy Unit with Different Phase Change Material (PCM) Cavity Volume Fractions. Appl. Therm. Eng. 2012, 42, 49–57. [Google Scholar] [CrossRef]
- Assis, E.; Katsman, L.; Ziskind, G.; Letan, R. Numerical and Experimental Study of Melting in a Spherical Shell. Int. J. Heat Mass Transfer 2007, 50, 1790–1804. [Google Scholar] [CrossRef]
- Shmueli, H.; Ziskind, G.; Letan, R. Melting in a Vertical Cylindrical Tube: Numerical Investigation and Comparison with Experiments. Int. J. Heat Mass Transfer 2010, 53, 4082–4091. [Google Scholar] [CrossRef]
- Wang, P.; Wang, X.; Huang, Y.; Li, C.; Peng, Z.; Ding, Y. Thermal Energy Charging Behavior of a Heat Exchange Device with a Zigzag Plate Configuration Containing Multiphase-Change-Materials (m-PCMs). Appl. Energy 2015, 142, 328–336. [Google Scholar] [CrossRef]
- Silva, T.; Vicente, R.; Amaral, C.; Figueiredo, A. Thermal Performance of a Window Shutter Containing PCM: Numerical Validation and Experimental Analysis. Appl. Energy 2016, 179, 64–84. [Google Scholar] [CrossRef]
- Hu, H.; Argyropoulos, S.A. Mathematical Modelling of Solidification and Melting: A Review. Model. Simul. Mater. Sci. Eng. 1996, 4, 371–396. [Google Scholar] [CrossRef]
- Voller, V.R.; Brent, A.D.; Prakash, C. The Modelling of Heat, Mass and Solute Transport in Solidification Systems. Int. J. Heat Mass Transfer 1989, 32, 1719–1731. [Google Scholar] [CrossRef]
- Ma, Z.; Zhang, Y. Solid Velocity Correction Schemes for a Temperature Transforming Model for Convection Phase Change. Int. J. Numer. Methods Heat Fluid Flow 2006, 16, 204–225. [Google Scholar] [CrossRef]
- Ehms, J.H.N.; Oliveski, R.D.C.; Rocha, L.A.O.; Biserni, C.; Garai, M. Fixed Grid Numerical Models for Solidification and Melting of Phase Change Materials (PCMs). Appl. Sci. 2019, 9, 4334. [Google Scholar] [CrossRef]
- Li, D.; Ren, Q.; Tong, Z.X.; He, Y.L. Lattice Boltzmann Models for Axisymmetric Solid–Liquid Phase Change. Int. J. Heat Mass Transfer 2017, 112, 795–804. [Google Scholar] [CrossRef]
- Kabbara, M.; Kheirabadi, A.C.; Groulx, D. Numerical Modeling of Natural Convection Driven Melting for an Inclined/Finned Rectangular Enclosure. In ASME 2016 Heat Transfer Summer Conference, HT 2016; ASME, 2016; Vol. 2. [CrossRef]
- Kheirabadi, A.C.; Groulx, D. The Effect of the Mushy-Zone Constant on Simulated Phase Change Heat Transfer. In Proceedings of CHT-15 ICHMT International Symposium on Advances in Computational Heat Transfer; 2015, p. 22. [CrossRef]
- Abdi, A.; Martin, V.; Chiu, J.N.W. Numerical Investigation of Melting in a Cavity with Vertically Oriented Fins. Appl. Energy 2019, 235, 1027–1040. [Google Scholar] [CrossRef]
- Hong, Y.; Ye, W.B.; Du, J.; Huang, S.M. Solid–Liquid Phase-Change Thermal Storage and Release Behaviors in a Rectangular Cavity under the Impacts of Mushy Region and Low Gravity. Int. J. Heat Mass Transfer 2019, 130, 1120–1132. [Google Scholar] [CrossRef]
- Fadl, M.; Eames, P.C. Numerical Investigation of the Influence of Mushy Zone Parameter Amush on Heat Transfer Characteristics in Vertically and Horizontally Oriented Thermal Energy Storage Systems. Appl. Therm. Eng. 2019, 151, 90–99. [Google Scholar] [CrossRef]
- Vogel, J.; Felbinger, J.; Johnson, M. Natural Convection in High-Temperature Flat Plate Latent Heat Thermal Energy Storage Systems. Appl. Energy 2016, 184, 184–196. [Google Scholar] [CrossRef]
- Chen, C.Q.; Diao, Y.H.; Zhao, Y.H.; Wang, Z.Y.; Liang, L.; Chi, Y.Y. Experimental and Numerical Investigations of a Lauric Acid-Multichannel Flat Tube Latent Thermal Storage Unit. Int. J. Energy Res. 2018, 42, 4070–4084. [Google Scholar] [CrossRef]
- Sciacovelli, A.; Colella, F.; Verda, V. Melting of PCM in a Thermal Energy Storage Unit: Numerical Investigation and Effect of Nanoparticle Enhancement. Int. J. Energy Res. 2013, 37, 1610–1623. [Google Scholar] [CrossRef]
- Martínez, M.A.; Carmona, M.; Cortés, C.; Arauzo, I. Experimentally Based Testing of the Enthalpy-Porosity Method for the Numerical Simulation of Phase Change of Paraffin-Type PCMs. J. Energy Storage 2023, 69, 107876. [Google Scholar] [CrossRef]
- FLUENT; ANSYS. R2 User’s Manual; ANSYS INC: Canonsburg, PA, USA, 2020. [Google Scholar]
- Jamal-Abad, M.T.; Martínez, A.; Carmona, M.; Cortes, C. Numerical Analysis of Solidification of Paraffin-Type PCMs by Using Customary Fixed Grid Methods. Manuscript submitted for publication.
- Tajik Jamal-Abad, M.; Cortes, C.; Martínez, A.; et al. Numerical Investigation of the Effect of the Mushy Zone Parameter and the Thermal Properties of Paraffin-Based PCMs on Solidification Modeling under T-History Conditions. Advance 2024. [CrossRef]
- Voller, V.R.; Cross, M.; Markatos, N.C. An Enthalpy Method for Convection/Diffusion Phase Change. Int. J. Numer. Methods Eng. 1987, 24, 271–284. [Google Scholar] [CrossRef]
- Barz, T.; Buruzs, A.; Sommer, A. Int. J. Eng. Sci. 2023, 191, 103913. [CrossRef]
- Barz, T.; Bres, A.; Emhofer, J. slPCMlib: A Modelica Library for … In Proceedings of the Asian Modelica Conference 2022; 2022; pp. 63–74.
- Buruzs, A.; Giordano, F.; Schieder, M.; Reichl, C.; Goderis, M.; Beyne, W.; De Paepe, M.; Barz, T. CFD Simulation of Solid/Liquid Phase Change in Commercial PCMs Using the slPCMlib Library. J. Phys.: Conf. Ser. 2024, 2766, 012223. [Google Scholar] [CrossRef]
- Salcudean, M.; Abdullah, Z. On the Numerical Modelling of Heat Transfer during Solidification Processes. Int. J. Numer. Methods Eng. 1988, 25, 445–473. [Google Scholar] [CrossRef]
- Gartling, D.K. Computer Methods in Fluids; Morgan, K., Taylor, C., Brebbia, C.A., Eds.; Pentech, 1980; pp. 219–230.
- Salcudean, M.; Abdullah, Z. On the Numerical Modeling of Heat Transfer during Solidification Processes. Int. J. Numer. Methods Eng. 1988, 25, 445–473. [Google Scholar] [CrossRef]
- Yang, B.; Bai, F.; Wang, Y.; Wang, Z. How Mushy Zone Evolves and Affects the Thermal Behaviors in Latent Heat Storage and Recovery: A Numerical Study. Int. J. Energy Res. 2020, 1–19. [Google Scholar] [CrossRef]
- Yang, B.; Raza, A.; Bai, F.; Zhang, T.; Wang, Z. Microstructural Evolution within Mushy Zone during Paraffin’s Melting and Solidification. Int. J. Heat Mass Transfer 2019, 141, 769–778. [Google Scholar] [CrossRef]







Disclaimer/Publisher’s Note: The statements, opinions and data contained in all publications are solely those of the individual author(s) and contributor(s) and not of MDPI and/or the editor(s). MDPI and/or the editor(s) disclaim responsibility for any injury to people or property resulting from any ideas, methods, instructions or products referred to in the content. |
© 2024 by the authors. Licensee MDPI, Basel, Switzerland. This article is an open access article distributed under the terms and conditions of the Creative Commons Attribution (CC BY) license (http://creativecommons.org/licenses/by/4.0/).
