Submitted:
07 April 2024
Posted:
08 April 2024
You are already at the latest version
Abstract
Keywords:
Introduction
Materials and Methods
- 1)
- Vitamin Consumption Index (VCI) (0-10 pts) – each vitamin consumed in amounts specified in the recommendations was awarded 1 pt. The following ten vitamins were considered in the analysis: vitamin E, vitamin A, thiamine, riboflavin, niacin, vitamin B6, vitamin C, folic acid, vitamin D, and vitamin B12;
- 2)
- Mineral Consumption Index (MCI) (0-9 pts) – each mineral consumed in amounts specified in the recommendations was awarded 1 pt. The following nine minerals were considered in the analysis: sodium, potassium, magnesium, phosphorus, calcium, iron, zinc, copper, and manganese;
- 3)
- Macronutrient Consumption Index (MacCI) (0-5 pts) – each of the four macronutrients consumed in amounts specified in the recommendations was awarded 1 pt.; 1 pt. was also awarded for the appropriate caloric intake. The following five parameters were considered in the analysis: fat, carbohydrate, fiber, dietary fiber, and caloric intake;
- 4)
- Dietary Index (DI) (0-24 pts) – the index is calculated as VCI + MCI + MacCI;
- 5)
- Body Composition Index (BCI) (0-3 pts) – each instance of a body composition norm met by the participant was awarded 1 pt. The following three macronutrients were considered in the analysis: Total Body Water (TBW), Body Fat Mass (BFM), and Skeletal Muscle Index (SMI).
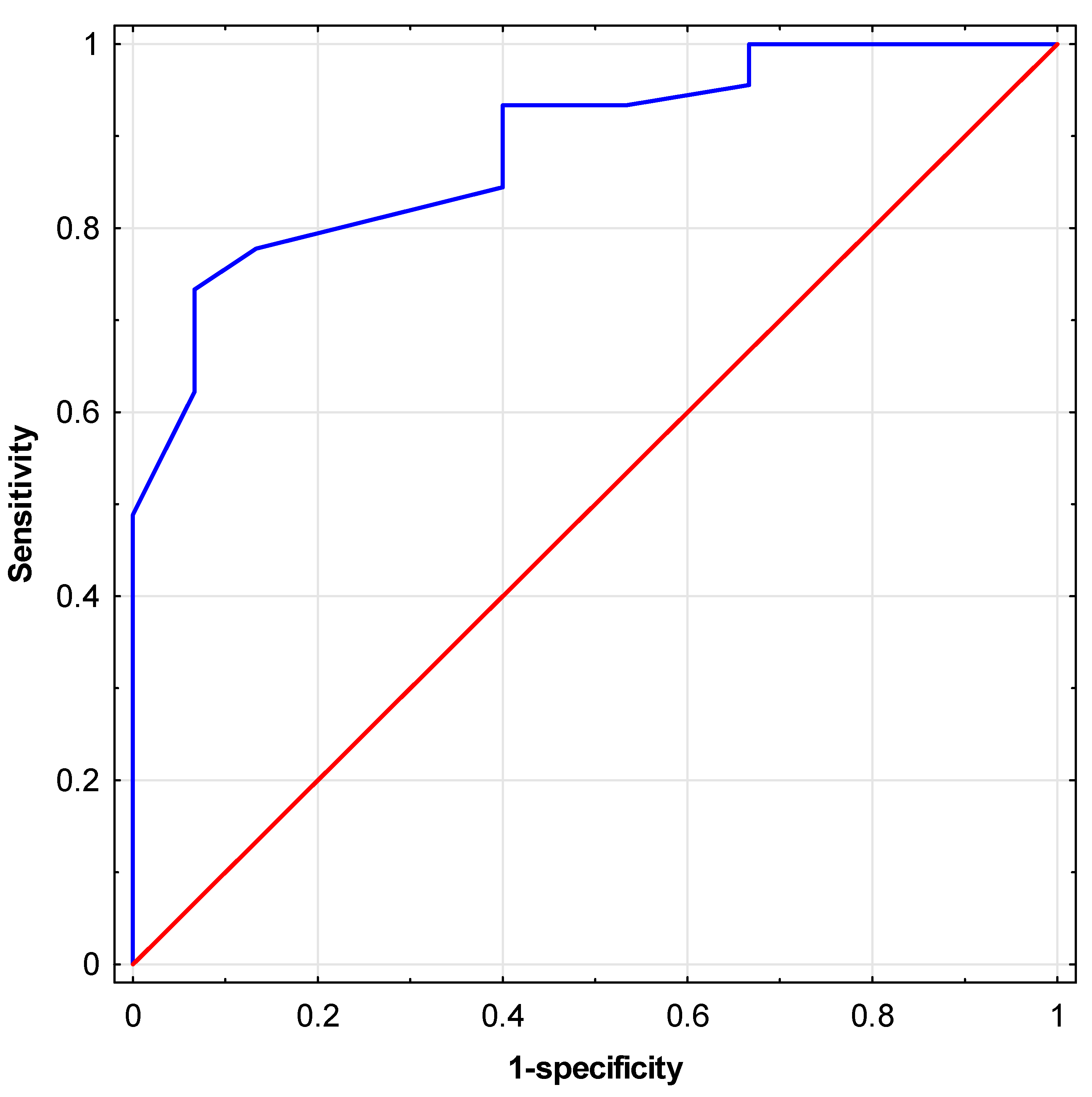
Results
Diet
Body Composition
Insulin Resistance
Sexual Abstinence
Discussion
Conclusion
Limitations of the Study
References
- Dcunha R, Hussein RS, Ananda H, Kumari S, Adiga SK, Kannan N, Zhao Y, Kalthur G. Current Insights and Latest Updates in Sperm Motility and Associated Applications in Assisted Reproduction. Reprod Sci. 2022 Jan;29(1):7-25. [CrossRef] [PubMed] [PubMed Central]
- Barratt CL. Semen analysis is the cornerstone of investigation for male infertility. Practitioner. 2007;251(1690):8–10, 12, 15-7.
- Goyal R, Kotru M, Gogia A, Sharma S. Qualitative defects with normal sperm counts in a patient attending infertility clinic. Indian J Pathol Microbiol. 2018;61(2):233–235.
- Boitrelle F, Shah R, Saleh R, Henkel R, Kandil H, Chung E, Vogiatzi P, Zini A, Arafa M, Agarwal A. The Sixth Edition of the WHO Manual for Human Semen Analysis: A Critical Review and SWOT Analysis. Life (Basel). 2021 Dec 9;11(12):1368. [CrossRef] [PubMed] [PubMed Central]
- Zańko A, Siewko K, Krętowski AJ, Milewski R. Lifestyle, Insulin Resistance and Semen Quality as Co-Dependent Factors of Male Infertility. Int J Environ Res Public Health. 2022 Dec 30;20(1):732. [CrossRef] [PubMed] [PubMed Central]
- Brown RL. Rate of transport of spermia in human uterus and tubes. Am J Obstet Gynecol. 1944;47(3):407–411. [CrossRef]
- Shlomi Barak HWGB. Clinical management of male infertility. Adult and Pediatric: Endocrinology; 2016.
- Tan O, Ha T, Carr BR, Nakonezny P, Doody KM, Doody KJ. Predictive value of postwashed total progressively motile sperm count using CASA estimates in 6871 non-donor intrauterine insemination cycles. J Assist Reprod Genet. 2014 Sep;31(9):1147-53. [CrossRef] [PubMed] [PubMed Central]
- Jeong M, Kim SK, Kim H, Lee JR, Jee BC, Kim SH. Predictive value of sperm motility before and after preparation for the pregnancy outcomes of intrauterine insemination. Clin Exp Reprod Med. 2021 Sep;48(3):255-261. [CrossRef] [PubMed] [PubMed Central]
- Andlib N, Sajad M, Kumar R, Thakur SC. Abnormalities in sex hormones and sexual dysfunction in males with diabetes mellitus: A mechanistic insight. Acta Histochem. 2023 Jan;125(1):151974. [CrossRef] [PubMed]
- Freitas MJ, Vijayaraghavan S, Fardilha M. Signaling mechanisms in mammalian sperm motility† Biol Reprod. 2016;96(1):2–12. [CrossRef]
- Ricci E, Al Beitawi S, Cipriani S, Candiani M, Chiaffarino F, Viganò P, et al. Semen quality and alcohol intake: a systematic review and meta-analysis. Reprod BioMed Online. 2017;34(1):38–47.
- Asare-Anane, H.; Bannison, S.B.; Ofori, E.K.; Ateko, R.O.; Bawah, A.T.; Amanquah, S.D.; Oppong, S.Y.; Gandau, B.B.N.; Ziem, J.B. Tobacco smoking is associated with decreased semen quality. Reprod. Health 2016, 13, 90.
- Moustakli E, Zikopoulos A, Skentou C, Bouba I, Tsirka G, Stavros S, Vrachnis D, Vrachnis N, Potiris A, Georgiou I, Zachariou A. Sperm Mitochondrial Content and Mitochondrial DNA to Nuclear DNA Ratio Are Associated with Body Mass Index and Progressive Motility. Biomedicines. 2023 Nov 9;11(11):3014. [CrossRef] [PubMed] [PubMed Central]
- Du, C.-Q.; Yang, Y.-Y.; Chen, J.; Feng, L.; Lin, W.-Q. Association Between Sleep Quality and Semen Parameters and Reproductive Hormones: A Cross-Sectional Study in Zhejiang, China. Nat. Sci. Sleep 2020, 12, 11–18.
- Maldonado-Cárceles, A.B.; Mínguez-Alarcón, L.; Mendiola, J.; Vioque, J.; Jørgensen, N.; Árense-Gonzalo, J.J.; Torres-Cantero, A.M.; Chavarro, J. Meat intake in relation to semen quality and reproductive hormone levels among young men in Spain. Br. J. Nutr. 2019, 121, 451–460.
- Jóźków P, Rossato M. The impact of intense exercise on semen quality. Am J Mens Health. 2017;11(3):654–662.
- Clarke RN, Klock SC, Geoghegan A, Travassos DE. Relationship between psychological stress and semen quality among in-vitro fertilization patients. Hum Reprod. 1999;14(3):753–758.
- Abd-Elmoaty MA, Saleh R, Sharma R, Agarwal A. Increased levels of oxidants and reduced antioxidants in semen of infertile men with varicocele. Fertil Steril. 2010;94(4):1531–1534. [CrossRef]
- Garg H, Kumar R. An update on the role of medical treatment including antioxidant therapy in varicocele. Asian J Androl. 2016;18(2):222–228. [CrossRef]
- Oostingh, E.C.; Steegers-Theunissen, R.P.; de Vries, J.H.; Laven, J.S.; Koster, M.P. Strong adherence to a healthy dietary pattern is associated with better semen quality, especially in men with poor semen quality. Fertil. Steril. 2017, 107, 916–923.
- Cooper TG, Noonan E, von Eckardstein S, Auger J, Baker HW, Behre HM, Haugen TB, Kruger T, Wang C, Mbizvo MT, Vogelsong KM. World Health Organization reference values for human semen characteristics. Hum Reprod Update. 2010 May-Jun;16(3):231-45. [CrossRef] [PubMed]
- Schwarcz J. A Grain of Salt: The Science and Pseudoscience of What We Eat. ECW Press. 2019.
- Agarwal A, Nallella KP, Allamaneni SS, Said TM. Role of antioxidants in treatment of male infertility: an overview of the literature. Reprod Biomed Online. 2004 Jun;8(6):616-27. [CrossRef] [PubMed]
- Salas-Huetos A., Bullo M., Salas-Salvado J. Dietary patterns, foods and nutrients in male fertility parameters and fecundability: A systematic review of observational studies. Hum. Reprod. Update. 2017;23:371–389. [CrossRef]
- Li MC, Nassan FL, Chiu YH, Minguez-Alarcon L, Williams PL, Souter I, Hauser R, Chavarro JE, EARTH Study Team. Intake of Antioxidants in Relation to Infertility Treatment Outcomes with Assisted Reproductive Technologies. Epidemiology. 30(3):427–434, MAY 2019.
- 27. Li MC, Chiu YH, Gaskins AJ, Mínguez-Alarcón, L, Nassan FL, Williams PL, Petrozza J, Hauser R, Chavarro JE, for the EARTH Study Team, Men’s Intake of Vitamin C and β-Carotene Is Positively Related to Fertilization Rate but Not to Live Birth Rate in Couples Undergoing Infertility Treatment, The Journal of Nutrition, Volume 149, Issue 11, November 2019, Pages 1977–1984.
- 28. Li MC, Chiu YH, Gaskins AJ, Mínguez-Alarcón, L, Nassan FL, Williams PL, Petrozza J, Hauser R, Chavarro JE, for the EARTH Study Team, Men’s Intake of Vitamin C and β-Carotene Is Positively Related to Fertilization Rate but Not to Live Birth Rate in Couples Undergoing Infertility Treatment, The Journal of Nutrition, Volume 149, Issue 11, November 2019, Pages 1977–1984.
- Pereira R, Sá R, Barros A, Sousa M. Major regulatory mechanisms involved in sperm motility. Asian J Androl. 2017 Jan-Feb;19(1):5-14. [CrossRef] [PubMed] [PubMed Central]
- Hildebrandt X., Ibrahim M., Peltzer N. Cell death and inflammation during obesity: “Know my methods, WAT(son)” Cell Death Differ. 2023;30:279–292. [CrossRef]
- Hussain T., Kandeel M., Metwally E., Murtaza G., Kalhoro D.H., Yin Y., Tan B., Chughtai M.I., Yaseen A., Afzal A., et al. Unraveling the harmful effect of oxidative stress on male fertility: A mechanistic insight. Front. Endocrinol. 2023;14:1070692. [CrossRef]
- Alves MG, Martins AD, Cavaco JE, Socorro S, Oliveira PF. Diabetes, insulin-mediated glucose metabolism and Sertoli/blood-testis barrier function. Tissue Barriers. 2013 Apr 1;1(2):e23992. [CrossRef] [PubMed] [PubMed Central]
- Fushimi, H.; Horie, H.; Inoue, T.; Kameyama, M.; Kanao, K.; Ishihara, S.; Tsujimura, T.; Nunotani, H.; Minami, T.; Okazaki, Y.; et al. Low testosterone levels in diabetic men and animals: A possible role in testicular impotence. Diabetes Res. Clin. Pract. 1989, 6,297–301.
- Betancourt-Albrecht, M.; Cunningham, G.R. Hypogonadism and diabetes. Int. J. Impot. Res. 2003, 15, S14–S20.
- Zubek, A.; Skikowska, M.; Słominska, D.; Manikowska, K. Potential mechanisms responsible for the concurrence of diabetes type2 and depressive symptoms in patients. Farm. Współczesna 2019, 12, 9–14.
- Ma J, Han RY, Mei XA, Qi YN, Ma JY, Liu WJ, Wang SS. [Correlation of insulin resistance with male reproductive hormone levels and semen parameters]. Zhonghua Nan Ke Xue. 2018 Aug;24(8):695-699. Chinese. [PubMed]
- Jarosz M, Rychlik E, Stoś K, Charzewska J. Normy żywienia dla populacji Polski i ich zastosowanie. ISBN: 978-83-65870-28-5.
- Lehti MS, Sironen A. Formation and function of sperm tail structures in association with sperm motility defects. Biol Reprod. 2017;97:522–536. [PubMed] [Google Scholar].
- Guazzone VA, Lustig L. Varicocele and testicular cord torsion: immune testicular microenvironment imbalance. Front Cell Dev Biol. 2023 Nov 30;11:1282579. [CrossRef] [PubMed] [PubMed Central]
- Mai H, Ke J, Zheng Z, Luo J, Li M, Qu Y, Jiang F, Cai S, Zuo L. Association of diet and lifestyle factors with semen quality in male partners of Chinese couples preparing for pregnancy. Reprod Health. 2023 Nov 23;20(1):173. [CrossRef] [PubMed] [PubMed Central]
- Marinaro JA. Optimizing outcomes for men with severe infertility. Curr Opin Urol. 2023 Jan 1;33(1):45-49. [CrossRef] [PubMed]
- Sauer MV, Zeffer KB, Buster JE, Sokol RZ. Effect of abstinence on sperm motility in normal men. Am J Obstet Gynecol. 1988 Mar;158(3 Pt 1):604-7. [CrossRef] [PubMed]
- Badreddine J, Rhodes S, Sellke N, Navarrete F, Keller S, Gowda V, Simon PHG, Abou Ghayda R. The Variability of Semen Parameters With Sexual Abstinence Using Mail-in Sperm Testing Is Similar to That Seen With Traditional In-Office Semen Analysis. Am J Mens Health. 2023 Sep-Oct;17(5):15579883231197910. [CrossRef] [PubMed] [PubMed Central]
- Elzanaty S, Malm J, Giwercman A. Duration of sexual abstinence: epididymal and accessory sex gland secretions and their relationship to sperm motility. Hum Reprod. 2005 Jan;20(1):221-5. [CrossRef] [PubMed]
- Levitas E, Lunenfeld E, Weiss N, Friger M, Har-Vardi I, Koifman A, Potashnik G. Relationship between the duration of sexual abstinence and semen quality: analysis of 9,489 semen samples. Fertil Steril. 2005 Jun;83(6):1680-6. [CrossRef] [PubMed]
- 46. Hagai Levine, Niels Jørgensen, Anderson Martino-Andrade, Jaime Mendiola, Dan Weksler-Derri, Maya Jolles, Rachel Pinotti, Shanna H Swan, Temporal trends in sperm count: a systematic review and meta-regression analysis of samples collected globally in the 20th and 21st centuries, Human Reproduction Update, Volume 29, Issue 2, March-April 2023, Pages 157–176. [CrossRef]
- Moreira MV, Pereira SC, Guerra-Carvalho B, Carrageta DF, Pinto S, Barros A, Silva BM, Oliveira PF, Alves MG. Hyperoside Supplementation in Preservation Media Surpasses Vitamin C Protection Against Oxidative Stress-Induced Damages in Human Spermatozoa. Cell Physiol Biochem. 2022 Jan 8;56(S1):1-23. [CrossRef] [PubMed]
- Fatma BA, Nozha CF, Ines D, Hamadi A, Basma H, Leila AK. Sperm quality improvement after date seed oil in vitro supplementation in spontaneous and induced oxidative stress. Asian J Androl. 2009 May;11(3):393-8. [CrossRef] [PubMed] [PubMed Central]
- Banihani SA. Vitamin B12 and Semen Quality. Biomolecules. 2017 Jun 9;7(2):42. [CrossRef] [PubMed] [PubMed Central]
- Laganà AS, Vitale SG, Ban Frangež H, Vrtačnik-Bokal E, D'Anna R. Vitamin D in human reproduction: the more, the better? An evidence-based critical appraisal. Eur Rev Med Pharmacol Sci. 2017 Sep;21(18):4243-4251. [PubMed]
- Salas-Huetos A, Babio N, Carrell DT, Bulló M, Salas-Salvadó J. Adherence to the Mediterranean diet is positively associated with sperm motility: A cross-sectional analysis. Sci Rep. 2019 Mar 4;9(1):3389. [CrossRef] [PubMed] [PubMed Central]







| Body Composition Index (BCI) [0-3] | ||||||
|---|---|---|---|---|---|---|
| Motility | 0 | 1 | 2 | 3 | Total | p-value |
| Incorrect | 8 (50%) | 6 (25%) | 3 (14.29%) | 1 (8.33%) | 18 | 0.04 |
| Correct | 8 (50%) | 18 (75%) | 18 (85.71%) | 11 (91.67%) | 55 | |
| Total | 16 | 24 | 21 | 12 | 73 | |
| HOMA-IR IR diagnosis | ||||
|---|---|---|---|---|
| Motility | No insulin resistance | Insulin resistance | Total | p-value |
| Incorrect | 8 (17.02%) | 10 (38.46%) | 18 | 0.04 |
| Correct | 39 (82.98%) | 16 (61.54%) | 55 | |
| Total | 47 | 26 | 73 | |
| Matsuda index IR diagnosis | ||||
|---|---|---|---|---|
| Motility | No insulin resistance | Insulin resistance | Total | p-value |
| Incorrect | 3 (10.71%) | 15 (33.33%) | 18 | 0.03 |
| Correct | 25 (89.29%) | 30 (66.67%) | 55 | |
| Total | 28 | 45 | 73 | |
| Sexual abstinence | |||||
|---|---|---|---|---|---|
| Motility | Less than 4 days | 4 days and more | Total | p-value | |
| Incorrect | 8 (16,67%) | 9 (50%) | 17 | 0.006 | |
| Correct | 40 (83,33%) | 9 (50%) | 49 | ||
| Total | 48 | 18 | 66 | ||
| Variable | Odds ratio | 95% confidence interval | p-value | |
|---|---|---|---|---|
| Matsuda index | 0.2400 | 0.0623 | 0.9243 | 0.04 |
| HOMA-IR index | 0.3282 | 0.1096 | 0.9828 | <0.05 |
| MacCI | 0.5589 | 0.3017 | 1.0353 | 0.06 |
| MCI | 1.6691 | 1.0633 | 2.6200 | 0.03 |
| Tobacco smoking | 1.8667 | 0.4638 | 7.5131 | 0.38 |
| Physical activity | 0.3958 | 0.1156 | 1.3552 | 0.14 |
| BMI | 0.5133 | 0.2438 | 1.0811 | 0.08 |
| Age | 0.9904 | 0.9152 | 1.0718 | 0.81 |
| VCI | 1.5094 | 1.1087 | 2.0551 | 0.009 |
| Sexual abstinence duration | 0.2000 | 0.0605 | 0.6612 | 0.008 |
| Variable | Odds ratio | 95 % confidence interval | p-value | |
|---|---|---|---|---|
| Matsuda index | 0.0271 | 0.0016 | 0.4610 | 0.01 |
| VCI | 1.7243 | 1.0680 | 2.7837 | 0.03 |
| Sexual abstinence duration | 0.0477 | 0.0059 | 0.3863 | 0.004 |
Disclaimer/Publisher’s Note: The statements, opinions and data contained in all publications are solely those of the individual author(s) and contributor(s) and not of MDPI and/or the editor(s). MDPI and/or the editor(s) disclaim responsibility for any injury to people or property resulting from any ideas, methods, instructions or products referred to in the content. |
© 2024 by the authors. Licensee MDPI, Basel, Switzerland. This article is an open access article distributed under the terms and conditions of the Creative Commons Attribution (CC BY) license (http://creativecommons.org/licenses/by/4.0/).