Preprint
Article

This version is not peer-reviewed.

Study on the Effects of Future Land Use Spatial Conflicts and Habitat Quality Based on SSPs-RCPs Scenarios–a Case Study of Ankang City in the Qin-Ba Mountains

A peer-reviewed article of this preprint also exists.

Submitted:

13 July 2023

Posted:

13 July 2023

You are already at the latest version

Abstract
In the future, the pursuit of high-quality economic development and a focus on ecological environmental protection in China will inevitably result in significant conflicts between land use and ecological land use. The challenge lies in achieving sustainable high-quality development while simultaneously protecting the ecological environment, optimizing the land use structure, and promoting a harmonious relationship between humans and the land. These challenges are faced by all regions. Land use conflicts primarily occur in peri-urban areas characterized by prominent economic development and urban agglomeration. Previous studies have mainly focused on analyzing the effects of land use on habitat quality during intense urbanization. However, it is important to recognize that land pressure encompasses economic, ecological, and social aspects. To gain a comprehensive understanding of the spatial conflict of land use and the impact on habitat quality in Ankang, a city that has been advocating ecological protection for the past two decades, this study aims to objectively analyze the spatial trends in land use changes in such cities. Additionally, it aims to provide insights for the harmonious development of land use in eco-region-oriented cities. Using the SSP-RCP scenarios provided by CMIP6, this paper employs a system analysis method, PLUS model, InVEST model, and land use conflict measurement model to dynamically simulate the future habitat quality and spatial conflict patterns of land use in Ankang City. The study explores the spatial coupling effect of both factors under different scenarios. The results indicate the following:(1) Under different future shared socio-economic path scenarios, land use intensity and land conflict levels follow the order of SSP585 (high forcing scenario), SSP370 (medium to high forcing scenario), SSP245 (medium forcing scenario), and SSP126 (low forcing scenario), with intensity and conflict decreasing accordingly. (2) The overall development trend in Ankang City reveals an intensification of land use conflicts and a decrease in habitat quality. The expansion rate of construction land is increasing and exhibiting aggregation, while agricultural land area is expanding and forest land area is continuously decreasing. (3) Land use intensity exhibits a significant positive correlation with land conflict levels, while land conflict levels demonstrate a significant negative correlation with habitat quality. These findings suggest that land use has had some impact on the ecological environment, with indications of habitat degradation. Even in Ankang, where ecological development is highly valued, the city will gradually face conflicts between ecological protection and economic development in future scenarios. The study highlights that Ankang's future development space will be constrained within the context of environmental protection, leading to greater land use conflicts in urban and surrounding areas. Consequently, the quality of habitats will inevitably decline. Therefore, it is crucial to allocate sufficient space for economic development while simultaneously prioritizing ecological protection. This approach will ensure a healthy economic development trajectory and foster a harmonious relationship between humans and the land.
Keywords: 
;  ;  ;  ;  ;  

1. Introduction

Land utilization serves as a direct and objective reflection of human activities impacting the natural ecology, representing the intricate interplay between humans and nature [1]. Alterations in land utilization have profound effects on regional ecology, production, climate, and biodiversity [2,3]. The rapid pace of urbanization and industrialization has precipitated swift changes in the spatial arrangement of land utilization, exacerbating the imbalances in its structure. Consequently, conflicts between various land utilization types, such as production, ecology, and habitation, have intensified [4]. Land use conflict primarily pertains to the clashes arising from irrational land utilization patterns, uncoordinated spatial configurations and quantities, resulting in varying degrees of ecological and environmental degradation [5]. Early research on land use conflict predominantly focused on current situation analysis, employing qualitative analysis methods, comprehensive land use conflict index methods [6,7], map factor superposition methods [8,9], and other modeling approaches [10,11]. However, studies predicting changes in conflict patterns were relatively scarce [12]. As the issue of land use conflict continues to escalate, researchers have shifted their attention towards potential future conflicts [13]. This entails collecting spatial data on land use value and demand through Public Participation Geographic Information Systems (PPGIS) to simulate potential conflicts among land types [14]. Additionally, the suitability of different land use types is employed to assess potential conflicts and synergies [15]. Furthermore, studies have emerged that combine land use prediction models to simulate and forecast the spatial and temporal evolution of regional conflicts [16,17,18].
The future prediction of land use relies on quantitative structure projections and spatial distribution pattern simulations across various scenarios. Multi-scenario simulations effectively unveil the potential correlation between habitat quality and future land use changes. The Shared Socioeconomic Pathways (SSP) scenario framework, developed by Schmitz et al., defines five scenarios that encompass key drivers of land use change, encompassing diverse climates and socioeconomic futures [19,20,21,22]. The sixth phase of the Coupled Model Intercomparison Project (CMIP6) model offers researchers multiple future development scenarios, coupling shared socioeconomic pathways (SSPs) with representative concentration pathways (RCPs) to address global climate change [23]. Regarding quantitative structure prediction of land use, the system dynamics (SD) model surpasses other models by considering climate change and achieving multiple scenarios of land use demand prediction at different regional scales. This model better captures the nonlinear, dynamic, and systematic characteristics of land use change [24]. However, the SD model alone cannot predict the spatial pattern of land use. By combining the SD model with a land use simulation model, it becomes possible to more accurately simulate the spatial distribution of land use [25]. In terms of spatial distribution pattern simulation, previous studies [26] have not been able to dynamically and spatially simulate land use patches of natural land use types. Commonly used models include the CA model [27,28], CLUE-S model [29,30], and FLUS [31,32,33]. However, the emerging patch-generating land use simulation model (PLUS) not only retains the advantages of adaptive inertia competition and roulette competition mechanisms found in existing future land use simulation models but also utilizes the random forest algorithm to determine the development potential of each land use type. This allows for a more accurate simulation of changes in land use spatial distribution [34,35,36].
Relevant studies indicate a positive correlation between spatial land use conflict and ecological environment quality. Both climate change and human activities directly impact habitat quality by altering the land use process. To analyze the influence of habitat quality on land use, it is essential to quantify the degree of land use quantitatively. Additionally, by employing dynamic spatiotemporal simulation of natural land use types, the spatial characteristics of land use conflicts can be revealed through a constructed model based on landscape indices. This approach enables accurate identification of conflict locations and the performance of land use conflicts within the spatial structure [37]. Furthermore, in the realm of dynamic modeling of land use change, numerous scholars have utilized land use data to assess habitat quality. This assessment is primarily conducted through hierarchical analysis (AHP) [38], artificial neural network methods (ANN) [39], principal component analysis [40], the InVEST model [41], RS-GIS unified ecological and environmental quality evaluation index method [42], and other similar approaches. Notably, the InVEST model offers a concise method to estimate habitat quality based on land use data and habitat threat data. It proves particularly useful when available data are limited, and sampling areas are not feasible [43].
Nevertheless, prior research primarily concentrates on land use conflicts and ecological impacts in urban areas, primarily influenced by social and economic factors. There is a dearth of studies examining the effects of land use on habitat quality in mountainous eco-cities or small-scale cities. This paper assesses the evolving patterns of habitat quality in Ankang, a city located in the Qin-Ba Mountain region with ecological preservation, considering future climate scenarios and the ongoing development of land conflicts. The findings hold substantial importance for Ankang's ecological city in achieving a harmonious balance between environmental conservation and economic progress.
In summary, the study presents a framework that integrates the Sustainable Development (SD) model, PLUS model, InVEST model, and land use conflict evaluation model. This framework aims to examine future land conflicts within the constraints of ecology and urban economic development, using the city of Ankang in the Qin-Ba Mountains as a case study. The study aims to accomplish the following: (1) Determine the direction and scale of land use changes in Ankang City under different scenarios, namely SSP126 (low forcing scenario), SSP245 (medium forcing scenario), SSP370 (medium to high forcing scenario), and SSP585 (high forcing scenario). (2) Analyze the evolutionary process of land use conflicts and habitat quality in Ankang City over the next 30 years, including their spatial patterns. (3) Investigate the potential relationship between habitat quality and land use extent in Ankang, considering future environmental changes and development patterns. This analysis aims to provide guidance for the sustainable utilization of land resources and the establishment of harmonious human-land relationships in similar cities. Additionally, it aims to offer a scientific basis for the formulation of optimal land use policies.

2. Materials and Methods

2.1. Study Area

Ankang is situated in the southeastern region of Shaanxi Province (31°42′~33°49′N, 108°01′~110°01′E), within the climatic transition zone of China, where the Yangtze River and Yellow River systems converge. It serves as a vital water-conserving area for the national South-North Water Diversion Central Project. The region experiences a subtropical continental monsoon climate, characterized by a humid and temperate climate, distinct four seasons, ample precipitation, and a lengthy frost-free period. Ankang is nestled within the mountainous terrain of the Qin-Ba Mountains, bordered by the Han River, with the Qinling Mountains to the north and the Daba Mountains to the south. This topography showcases a prominent pattern of elevated peaks in the north and south, with river basins in the central area. Ankang enjoys a strategic geographical position, serving as the intersection and geometric center of three major economic zones: Guanzhong-Tianshui, Chengdu-Chongqing, and Jianghan. Additionally, it lies in the upstream region of the national Yangtze River Economic Belt and serves as the central hub of the Han River Economic Corridor in Shaanxi Province. Consequently, Ankang faces the challenge of balancing land utilization for economic development, agricultural production, and ecological preservation due to the increasing demand for land resources.
Figure 1. Study area of Ankang.
Figure 1. Study area of Ankang.
Preprints 79396 g001

2.2. Data sources

The data required for this study contains land use data, socio-economic data, natural factors data, etc., as shown in Table 1.
(1) Land use data: Land use data for 2000, 2010 and 2020 were obtained from the National Geographic Information Resources Catalogue Service System (https://www.webmap.cn/) with a temporal resolution of 30m.
(2) Socio-economic data: Statistical data from Shaanxi Statistical Yearbook, Ankang Statistical Yearbook and Ankang Annual Statistical Bulletin from 2000 to 2020. GDP data from the Resource and Environment Science and Data Centre of the Chinese Academy of Sciences (https://www.resdc.cn/) with a resolution of 1 km, and population density data from the NASA Socio-Economic Data and Applications Center (SEDAC) (https://sedac.ciesin.columbia.edu) at a resolution of 1 km. Nighttime lighting data are from the VIIRS_DNB_VNLV2 dataset from the Earth Observation Group (EOG) (https://eogdata.mines.edu) at a resolution of 500m. Roads, railways, rivers, water resources and residential sites were obtained from the National Geographic Information Resources Catalogue Service (https://www.webmap.cn/).
(3) Natural factors data: soil dryness, soil type, soil erosion type, NDVI, NPP, soil erosion intensity and farmland productivity potential are from the Resource and Environment Science and Data Centre of the Chinese Academy of Sciences (https://www.resdc.cn/) with a resolution of 1km. River water resources are from the National Geographic Information Resources Catalogue Service (https://www.webmap.cn/) and DEM data from the Geospatial Data Cloud (https://www.gscloud.cn) with the resolution is 30m. Meteorological data are the annual average temperature and average precipitation from 2000 to 2020 at various meteorological stations in Ankang and sourced from the National Climatic Data Center (https://www.ncdc.noaa.gov/).

2.3. Research methods

The proposed framework in this study comprises four primary components. (1) Initially, scenario simulation parameters are established based on the anticipated socio-economic and climate change datasets across various SSP-RCP scenarios. The SD model is then employed to simulate land use demand in Ankang under these diverse scenarios. (2) Subsequently, the PLUS model is utilized to forecast the spatial distribution of land use under different future scenarios. (3) Furthermore, the integrated spatial conflict measurement model is employed to examine the temporal evolution and spatial differentiation of land use conflicts in Ankang. Additionally, the InVEST model is utilized to predict habitat quality in Ankang under four scenarios. (4) Lastly, bivariate spatial autocorrelation analysis is conducted to unveil the spatial correlation between land use conflict and habitat quality in Ankang.
Figure 2. Research framework diagram.
Figure 2. Research framework diagram.
Preprints 79396 g002

2.3.1. SSPs-RCPs scenarios

CMIP6 represents a synthesis of various scenarios derived from the Shared Socio-Economic Pathways (SSP) and Representative Concentration Pathways (RCP). It highlights the significance of diverse socioeconomic development patterns in influencing climate change [44]. The simulated scenarios for future climate change encompass the timeframe of 2020-2050. Scenario parameters were tailored to the study area (Table 2), and average annual changes were computed at ten-year intervals. Detailed specifications for each scenario can be found in Table 3.

2.3.2. System dynamics model

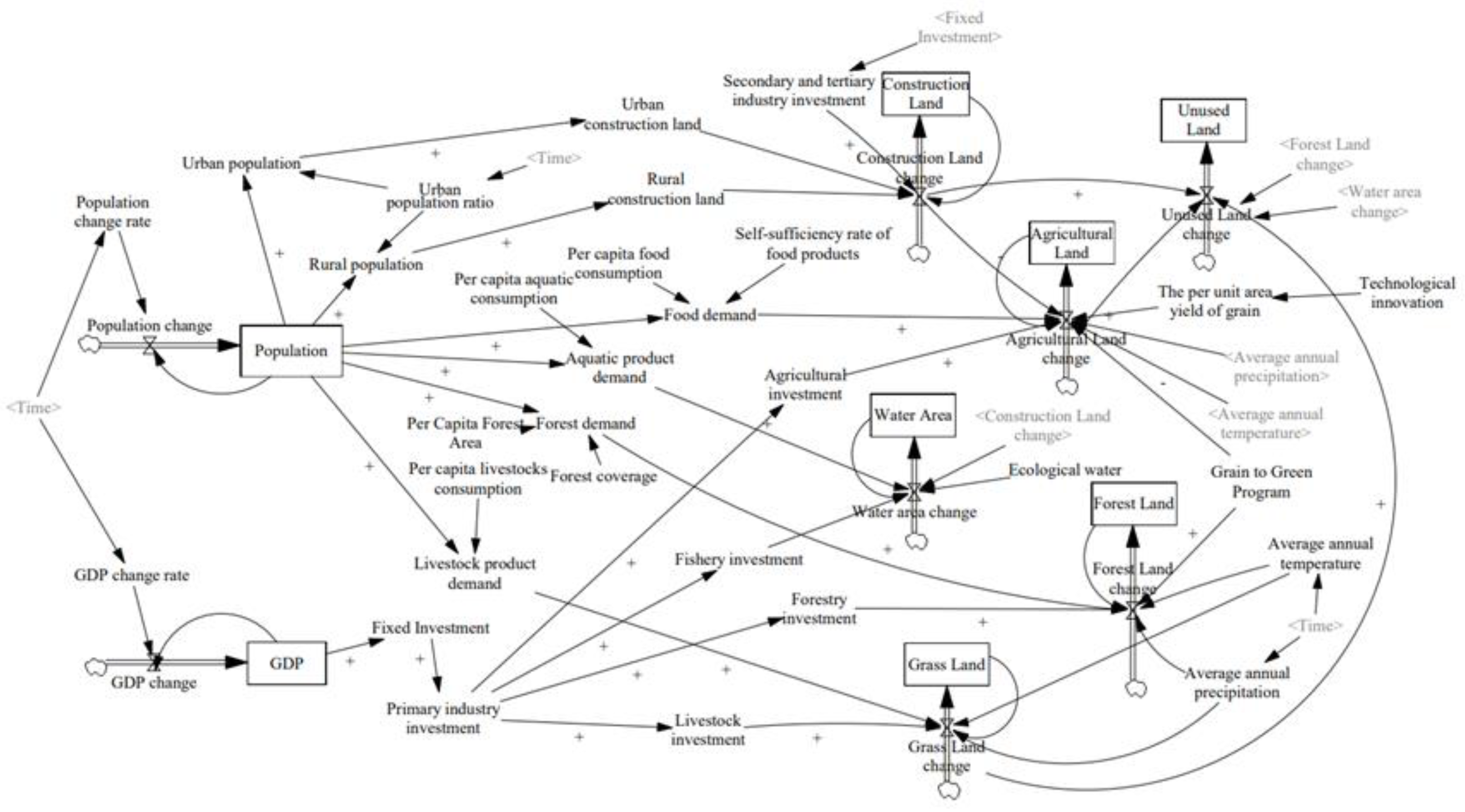
The system dynamics (SD) model developed in this research comprises four primary subsystems: the economic subsystem, population subsystem, climate subsystem, and land use subsystem [51]. By utilizing land use data, socio-economic data, and meteorological data from Ankang City spanning the years 2000 to 2020, the study examines the feedback and interaction relationships among each subsystem and variable. Subsequently, it determines the variations in each variable and establishes quantitative relationships between them. The VensimPLE software was employed to construct the system dynamics model of land use change in the study area (Figure 3).

2.3.3. PLUS model

The PLUS model incorporates the rule mining framework utilizing the Land Expansion Analysis Strategy (LEAS) model and the Cellular Automata (CA) model based on multi-type Random Seeds (CARS) [44]. In this investigation, land use data for two time periods spanning from 2010 to 2020 (Figure 4), along with factors such as elevation, slope, temperature, precipitation, farmland production potential, soil type, soil erosion type, population density, GDP, night lighting index, NPP, distance from highways, distance from other urban roads, distance from railways, distance from river systems, and distance from settlements, are utilized as predictor variables(Figure 5) within the PLUS model to determine the probability of suitability for each land use type in Ankang.

2.3.4. Land use conflict measurement model

The land use conflict measurement model, utilizing the landscape pattern index, serves the purpose of not only expressing spatial land use conflicts but also revealing regional ecological risks [52]. In this research, the designated study area is divided into multiple 6km×6km grid cells, which are employed as evaluation units for assessing land use spatial conflicts. In order to account for the spatial patches that extend beyond the study area's boundary and are not fully covered by the grid, these patches are considered as one complete grid. The calculation of the landscape index is performed using Fragstats4.2 software (Table 4).

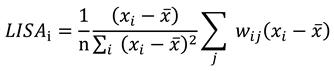
2.3.5. InVEST model

Habitat quality refers to the ecological capacity to offer optimal conditions for natural ecological processes, taking into account regional habitat fragmentation and the ability to withstand habitat degradation [55].
where Qxj denotes the habitat quality of raster x in land use type j; Hj denotes the habitat suitability of land use type j; Dxj denotes the level of stress on raster x in land use type j; z denotes the
Preprints 79396 i001
normalization constant; and k is the scaling constant. where Dxj in Eq.5 is calculated as follows:
Preprints 79396 i002
where R is the number of stressors; r is the stressor; y is the grids number of stressors r; Yr is the grids number occupied by the stressor; Wr is the stressor weight, taking values ranging from 0 to 1; irxy is the effect (exponential or linear) of stressor r on each grid of the habitat; βx is the habitat disturbance resistance level; Sjr is the relative sensitivity of different habitats to each stressor.
Table 5. Threat source attributes
Table 5. Threat source attributes
Threat source Maximum threat distance/km Weight Distance attenuation type
Agricultural land 2 0.4 Linear
Railroads 5 0.7 Linear
Road 4 0.6 Linear
Residential site 10 1 Exponential
Construction land 8 1 Exponential
Table 6. Sensitivity of different land types to threat sources
Table 6. Sensitivity of different land types to threat sources
Land use type Habitat suitability Threat source
Agricultural land Railway Road Residential site Construction land
Agricultural land 0.5 0.3 0.7 0.7 0.6 0.9
Forest land 1 0.5 0.8 0.7 0.6 0.9
Grassland 0.8 0.5 0.6 0.6 0.4 0.6
Water 0.3 1 0.7 0.7 0.4 0.4
Construction land 0 0 0 0 0 0
Unused land 0.1 0.1 0.2 0.2 0.1 0.1

2.3.6. Spatial heterogeneity analysis of land use

Hotspot analysis, as a local spatial autocorrelation index, can be employed to examine the spatial concentration of ecological or environmental variables and their clustering patterns [57]. The Getis-Ord Gi* index [Gi*(d)] is utilized to identify regional hotspot analysis.
Preprints 79396 i003
where Wij is the spatial weight matrix; Xi is the sample value of i.
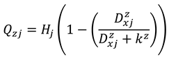
Moran's I is a measure of spatial autocorrelation [57]. The bivariate local spatial autocorrelation index assesses the level of correlation and spatial aggregation between the attribute value of a spatial unit and the corresponding attribute value on its neighboring spatial units [58].
Preprints 79396 i004
where Wij is the spatial weight matrix between cell i and cell j; xi is the attribute value of cell i; x ¯   is the average of all attribute values; n is the total number of regional cells.

3. Results

3.1. Land use analysis

3.1.1. Land use demand prediction in Ankang based on SD model

The values of the variables in the SD model are established to determine the desired extent of each land use type from 2000 to 2020, using statistical data from 2000 as a basis. The simulation outcomes for 2020 were then compared with the actual data to assess the accuracy of the SD model (Table 7). The results indicate that the disparities between the simulated and actual data are minimal, with errors of less than 2.5%. This suggests that the model exhibits a high level of simulation accuracy and is capable of predicting future land use patterns.
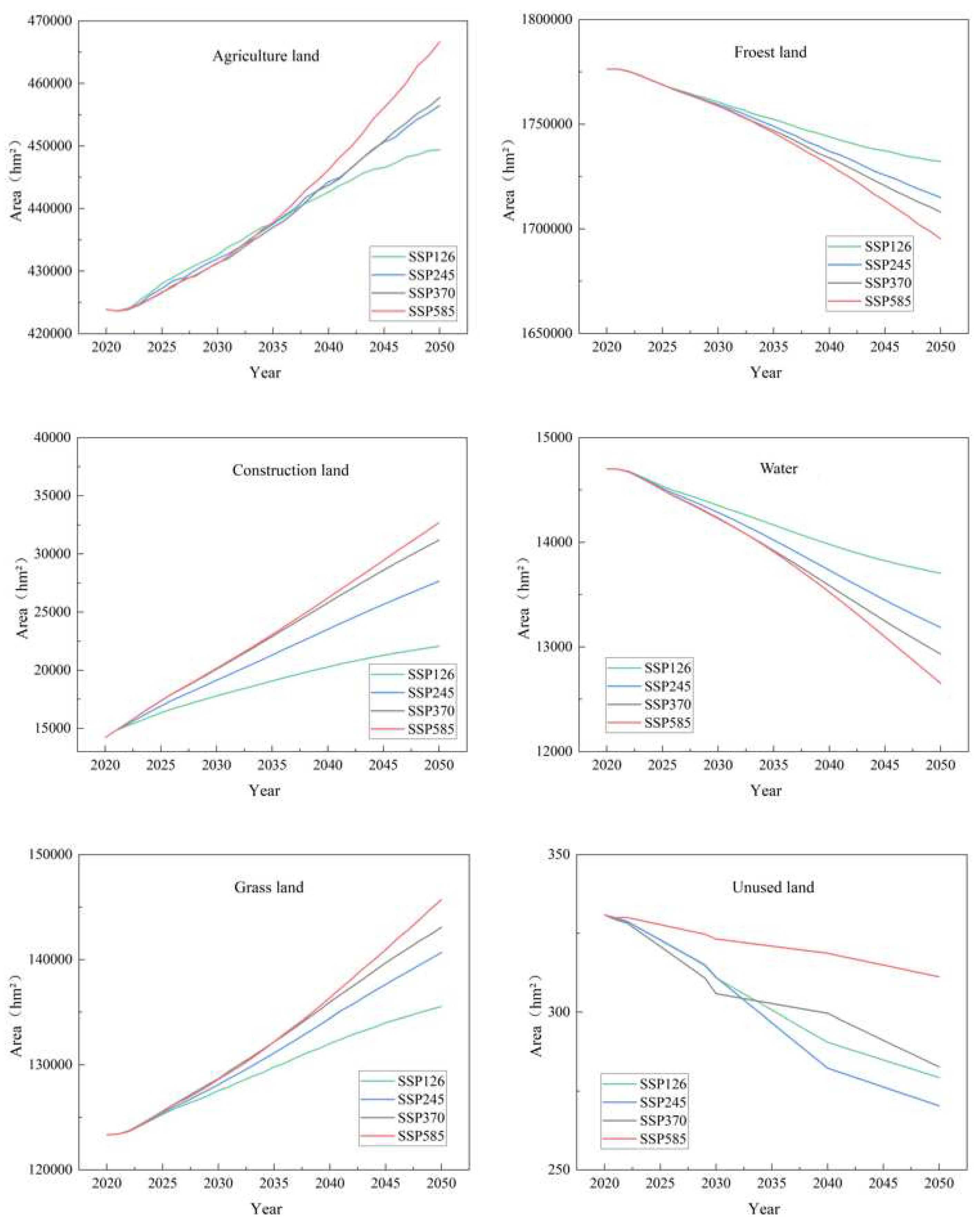
Based on the 2020 land use data, the parameters corresponding to different climate change scenarios were inputted into the aforementioned SD model for simulation, resulting in prediction outcomes (Figure 6). The results indicate variations in land use demand across the four climate scenarios. In all scenarios, there was an increase in the area of construction land, agricultural land, and grassland. The SSP585 scenario exhibited the highest growth rate in construction land, grassland, and agricultural land area, followed by the SSP370 and SSP245 scenarios, while the SSP126 scenario had the lowest growth rate. Conversely, there was a decrease in the demand for forest land area in all scenarios, with the SSP585 scenario experiencing the most significant decline, while the other scenarios remained relatively stable. Additionally, the area of unused land and water witnessed varying degrees of reduction across the four scenarios, with the SSP245 scenario showing a smaller change in unused land area. Notably, the SSP585 scenario demonstrated the most pronounced changes in land use types, resulting in a larger area of unused land.

3.1.2. PLUS model simulates the future land use distribution in Ankang

The simulation accuracy was deemed sufficient to meet the research requirements. Utilizing the land use data from 2020, the land use demand for 2030, 2040, and 2050 in Ankang, under each simulated scenario using the SD model, was input into the PLUS model to forecast the future spatial and temporal dynamics of land use patterns in Ankang (Figure 7, Table 8). The findings indicate that under the SSP126 scenario, the overall trend of agricultural land expansion follows the course of the Han River, with minimal aggregation except for the river, and an expansion of existing grassland areas. In regions with established ecological foundations, such as the Qinling Mountains in the north and the Daba Mountains in the south, the forested areas have experienced minimal changes, and the expansion of construction land has slowed down. The agricultural land expansion pattern under the SSP245 scenario is similar to SSP126, with a slight increase in grassland area. Forested areas are better preserved in the northern and southern parts of the study area. The expansion of construction land is gradual and fragmented. Under the SSP370 scenario, the agricultural land expansion pattern resembles the previous scenarios, with an increase in both grassland and construction land areas. Agricultural land encroaches upon the grassland in the basin and valley, squeezing the scattered forested spaces along the river, while construction land becomes more concentrated. In the SSP585 scenario, rapid agricultural land expansion leads to the conversion of grassland into forest land in the central valley. Simultaneously, construction land expands swiftly along both sides of the river, encroaching upon other land types. Compared to the SSP126, SSP245, and SSP370 scenarios, the SSP585 scenario exhibits a larger area of construction land.

3.1.3. Spatial and temporal analysis of land use conflicts in Ankang

Based on the distribution characteristics of the cumulative frequency curve, the evolution of land use conflicts follows an inverted "U" shape. The controllability levels of these conflicts can be classified as follows: stable and controllable, basically controllable, basically out of control, and seriously out of control [58]. To classify the comprehensive land use conflict index into four levels, the natural breakpoint method was employed. These levels are defined as follows: stable and controllable (0,0.35), basically controllable (0.35,0.7), basically out of control (0.7,0.9), and seriously out of control (0.9,1.0).
In general, the land use conflicts in the middle reaches of the Han River are highly intense, and their spatial distribution characteristics are evident (Figure 8). Firstly, the areas exhibiting high overall land use conflict indices are primarily concentrated in the town center, where human activities are more active (such as Hanbin District). This is because Hanbin District serves as the political, economic, and transportation hub of Ankang, and economic development has exacerbated land use conflicts. Other districts and regions experience low land use conflicts, with higher conflict values mainly observed around the town center. However, over time, land conflicts have intensified and spread towards the outskirts of the town. Secondly, the areas with low land use conflicts are predominantly found in the northern Qinling region and the southern Daba Mountains. These areas are characterized by mountainous and hilly terrain, with abundant vegetation coverage and minimal human disturbance, resulting in reduced land use conflicts. Furthermore, the results indicate that the high land use conflict areas are distributed along both sides of the Han River system. This distribution reflects the demand for water resources and transportation by land exploiters and users.
The spatial patterns of future land use conflicts in Ankang display both similarities and variations. The spatial distribution patterns of land use conflicts under the four future scenarios remain generally consistent for the next 30 years, exhibiting a distribution pattern characterized by a "high center, low north and south, distribution along the river plain, and westward development" (Figure 9). This suggests that the spatial conflicts in land use are characterized by post-agglomeration expansion, a tendency towards stability, reduced unpredictability and volatility, and a certain degree of lag.
Due to a combination of human activities, social and economic development, nature conservation policies, and natural factors such as topographic relief, biodiversity, and river water sources, the expansion of land use in Ankang is constrained by the hills and mountains. High-conflict areas cannot expand into low-conflict areas in the north and south. Instead, land use conflicts tend to spread along the Han River and its surrounding areas, forming a basin that can be managed to some extent. Among the different land use simulation scenarios, SSP585 exhibits the most intense land use changes, with extensive and concentrated out-of-control areas. The tendency to encroach into the surrounding regions is evident from the beginning. The out-of-control pattern gradually spreads to the basically controllable areas, particularly in the north and south. In the SSP370 scenario, land use development is increasing, accompanied by high land use conflicts. Compared to the SSP245 and SSP126 scenarios, large out-of-control areas appear early on. These areas mainly expand from basic out-of-control regions to basic controllable areas, as well as towards the western plains, resulting in a larger outbreak of out-of-control areas. The SSP245 scenario demonstrates relatively stable land use changes, maintaining an existing growth trend with moderate complexity. Although the intensity of land use conflicts gradually increases, the out-of-control regions are somewhat restricted within manageable limits, indicating some level of human intervention in controlling these areas. Among the four scenarios, the SSP126 scenario exhibits the least out-of-control simulation. Land use changes remain stable, and the out-of-control conflict areas are effectively curbed. There is a slight expansion of stable and controllable areas, such as the northern Qinling Mountains and the southern Daba Mountains.
The Moran's I index is utilized to measure spatial autocorrelation, and the correlation of the land use conflict index can be verified through autocorrelation analysis. In the study area, the Moran's I index for the 2010 and 2020 data was 0.611 and 0.778, respectively, with P-values less than 0.01 and Z-scores greater than 2.58. This indicates a positive spatial correlation and significant spatial autocorrelation across the scenarios in the study area. To better illustrate the spatial clustering of land use conflicts, the Getis-Ord Gi* statistics are employed to examine the relationship between each element and its adjacent environment. Subsequently, a cluster distribution map with high and low values (Figure 10) is generated to further illustrate the local variability in land use spatial conflicts. The evolution of land use spatial conflicts at the grid level serves as a microcosm of land use change in the grid area. The hot spot areas are primarily located along both sides of the Han River and tend to spread towards the periphery, while the cold spot areas are situated in the mountainous hills in the north and south, exhibiting a steady increase. In the SSP126 scenario, the hot spots continue the historical chronological trend, while the cold spots remain relatively stable. In comparison, the hotspot area in the SSP245 scenario expands eastward, displaying higher values and greater aggregation along the river. The SSP370 scenario represents a substantial land use change with more concentrated and pronounced aggregation. The hotspot area in the SSP585 scenario exhibits the largest extent and strongest aggregation, while the cold spot areas shrink and become less aggregated, yet still demonstrating a north-south distribution pattern.

3.2. Habitat quality analysis

3.2.1. Habitat quality classes in Ankang

The habitat quality module in the InVEST model was utilized to predict the habitat quality in Ankang City under different scenarios from 2030 to 2050. The results are presented in Table 9, which displays the habitat quality classes in Ankang, and Figure 11, which illustrates the spatial distribution of habitat quality.
Figure 11 reveals that areas with high habitat quality levels (Level > 0.6) are concentrated in the Qinling region in the north and the Daba Mountain region in the south. Conversely, areas with lower habitat quality levels (Level < 0.4) are clustered in the Han River valley. The buffer zone where the Han River basin meets the Qin-Ba Mountain region exhibits a concentration of areas with medium habitat quality levels.
Table 9 demonstrates that under the SSP126 scenario, areas with high habitat quality levels are well protected, while areas with low ecological quality levels are controlled, resulting in a gradual improvement in habitat quality. By 2050, the mean habitat quality in Ankang is maintained at 0.6429, indicating the effectiveness of the SSP126 scenario in enhancing habitat quality. In contrast, the SSP245 scenario shows a slight decline in overall mean habitat quality, with a shift from high habitat quality areas to lower classes. The SSP370 scenario exhibits a further decline in mean habitat quality, characterized by an increase in low-level habitat quality and a transition from high to low levels. Under the SSP585 scenario, habitat quality classes are regionally distributed, and there is a notable shift from intermediate habitat quality levels to lower levels. By 2050, the average habitat quality in Ankang gradually decreases to 0.5360. Furthermore, the standard deviations for the four scenarios indicate variations in habitat quality from 2030 to 2050. However, these changes tend to become progressively more stable without significant spikes or decreases.

3.2.2. Habitat quality spatial distribution characteristics

The predicted spatial distribution pattern for different future scenarios exhibits a more pronounced regional clustering, as shown in Figure 12. The average Moran's I value for habitat quality under these scenarios is approximately 0.65, with a statistically significant positive correlation (P-value < 0.001) indicating spatially significant clustering of habitat quality in Ankang. The figure illustrates that Ankang displays distinct spatial clustering characteristics, with high-value clusters primarily concentrated along the Qinling Mountains and in the Daba Mountains, while low-value clusters are concentrated near the Han River basin. In the SSP126 scenario, the high-value cluster areas gradually expand outward towards the periphery over time, suggesting that habitat quality in this scenario can extend well beyond the central high-value areas. In the SSP245, SSP370, and SSP585 scenarios, the high-value areas (with >95% confidence) expand towards the high-value areas (with 90% confidence), and there is a tendency for the high-value areas (with 90% confidence) to shift towards the non-significant areas. As economic development, urbanization intensify, and anthropogenic disturbance increases, the habitat quality trend in the middle and lower clusters shows a progressive increase and peripheral diffusion.

3.3. Influence analysis between habitat quality and land use conflicts

The global bivariate Moran's I analysis conducted for land use conflict and habitat quality in Ankang (Figure 13) reveals that the Moran's I index exhibits a negative value in all predicted scenarios, with a p-value of 0.005. These findings suggest a significant negative spatial correlation between land use and habitat quality, indicating that land use conflict will result in the degradation of habitat quality.
In Figure 14, the spatial clustering patterns for the bivariate analysis of land use conflict and habitat quality exhibit a significant correlation across most regions. Furthermore, the spatial clustering patterns for land use conflict (Figure 10) and habitat quality (Figure 12) demonstrate a contrasting distribution.
Figure 15 illustrates that the primary spatial clustering patterns consist of the high-low type (characterized by high land use and low habitat quality) and the low-high type (characterized by low land use and high habitat quality). The high-low type is predominantly found along the Han River basin and in proximity to railway and road transport routes, primarily concentrated in areas with intense human activity. On the other hand, the low-high type is mainly located in areas distant from human activity, specifically the Qin-Ba Mountains, owing to its unique geographical location and ecological protection measures.
Additionally, the low-low type (characterized by low land use and low habitat quality) is primarily distributed in towns and transitional zones between the plains and the Qin-Ba Mountains within the Han River basin. Conversely, the high-high type (characterized by high land use and high habitat quality) is scattered throughout the region.
To summarize, the high-low type signifies the overexploitation of local resources, the high-high type indicates a balance between ecological protection and economic considerations, the low-high type represents a high level of ecological protection, and the low-low type represents the worst outcome with neither ecological nor economic benefits.

4. Discussion

4.1. Reasonableness validation

The SD model encompasses a simulation period from 2000 to 2050, with a yearly time step. The historical simulation phase covers the years 2000 to 2020, during which historical data from the Statistical Yearbook was utilized to evaluate the simulation results. The accuracy of the simulation model was assessed using historical data specifically from 2020. Once the accuracy of the system dynamics model was verified, the base year for each scenario simulation was set as 2020, and different scenario parameters were inputted to simulate changes in future land use demand. The 2010 land use data serves as the base map for the simulation in the SD model, and the resulting land use simulation data for 2020 is compared and validated with the actual land use data from that year using the PLUS model to evaluate the accuracy of the simulation. After confirming that the simulation accuracy meets the requirements of the study, the land use demand for 2030, 2040, and 2050 in Ankang City, under each scenario simulated by the SD model, is sequentially inputted into the PLUS model to predict the future spatial and temporal dynamics of land use patterns. The results indicate an overall classification accuracy of 0.96 and a Kappa coefficient of 0.94 in the PLUS model, demonstrating a high level of simulation accuracy and effectiveness in simulating land use changes. Wang et al. [58] confirmed the applicability of using a land conflict measurement model based on landscape index in mountainous cities. Therefore, this study predicts the spatial and temporal patterns of land conflict levels and habitat quality in Ankang from 2030 to 2050. Analyzing the predicted results of different land use scenarios in Ankang City from 2030 to 2050, it is determined that the SSP126 scenario would lead to improvements in habitat quality and better control of land use conflicts.

4.2. Shifting land types leading to increased land use conflicts

In the context of rapid urbanization, the pursuit of high-quality economic growth, and the increasing significance of ecological preservation, urban land expansion in Ankang, situated in the Qin-Ba Mountains, has primarily concentrated on the areas surrounding the valley basin along the Han River. This has resulted in encroachment upon agricultural and forested land within the river basin valley, leading to detrimental effects on both the living environment and ecological space. The underlying cause of this issue lies in the conflict between land utilization for construction purposes and agricultural activities, which stems from the limited availability of land resources in the face of growing demands. Conflicts frequently arise between agricultural and construction land, with agricultural land often being at a disadvantage in proximity to construction sites. This is due to the prioritization of urban construction activities for food production and the creation of favorable conditions for economic development, which, in turn, yield greater economic benefits. Consequently, agricultural production is negatively impacted, hindering the achievement of sustainable development goals. Overall, the spatial arrangement characterized by a mixture of land uses and high heterogeneity surrounding the Ankang municipality has resulted in the aggregation of land use conflicts. In contrast, the corresponding Qin-Ba Mountains, located far from human activities and subject to stringent ecological protection measures, contribute to the preservation of high-quality habitats. Within the Han River basin valley, the unique geographical position of Ankang, coupled with its predominantly hilly terrain, severely limits the availability of development space. As a result, construction land in Ankang primarily encroaches upon agricultural and forested land, expanding outward from the core urban area. This, in turn, leads to a more significant reduction in agricultural land around the downtown region. Consequently, rural development land is squeezed and pushed further away from the urban periphery, resulting in fragmentation and ultimately exacerbating conflicts. From an ecological perspective, the pattern of the river valley significantly influences the land use pattern in Ankang, further intensifying land use conflicts within the city and exerting a profound impact on its urban development.

4.3. Habitat quality response to land type change

There are disparities in the alteration of habitat quality in Ankang across the four distinct future development scenarios, and the overall trajectory of habitat quality aligns with the patterns of land utilization. The Qinling region and the Bashan Mountains exhibit superior habitat quality compared to the central region, owing to their extensive forest and grassland coverage and minimal human-induced activities. Conversely, the Han River Valley basin experiences relatively diminished habitat quality due to socio-economic progress, expansion of construction land, and the degradation of habitats threatened by agricultural practices. In the SSP126 scenario, regulated construction land results in a deceleration of economic growth, leading to an expansion of woodland and grassland areas, which in turn enhances habitat quality. In contrast, the SSP585 scenario exhibits the lowest habitat quality among all scenarios, attributed to unregulated economic development and reduced ecological protection. Consequently, alterations in land utilization patterns have a discernible impact on habitat quality, contingent upon changes in response to climatic, economic, and governmental factors. The findings suggest that habitat quality exhibits a notable response in areas characterized by concentrated land use changes (conflict zones), while displaying less significant changes in regions with limited land use alterations (non-conflict zones).

4.4. Effects between land use and habitat quality

The interaction between land use and changes in ecosystem services has a significant impact on human well-being. However, numerous studies indicate that land use change often results in negative effects on ecosystem services [60]. This aligns with the findings of a study on the detrimental relationship between land use and habitat quality [61]. Wei et al. demonstrated that alterations in various land use types can influence habitat quality in arid inland regions. Similarly, Chen et al. revealed that urbanization can impair environmental facilities due to the interference of urbanization levels with ecosystem services. Conversely, the capacity of environmental facilities can also limit urbanization. Simulations were conducted to analyze land use patterns and habitat quality under multiple scenarios, which yielded notable spatial effects. The results obtained from these simulations align with the evaluation findings of Wu et al. [63]. Specifically, the SSP126 scenario indicates an increasing trend in habitat quality, while the SSP585 scenario shows a degradation trend. The SSP245 and SSP370 scenarios demonstrate moderate habitat quality. It is worth noting that the development model focused solely on economic benefits, as observed in the related study [64], inevitably increases ecological risks compared to the results obtained under the SSP585 scenario in this study. Research conducted on land use and habitat quality in significant ecosystems such as the Qinling Mountains and Han River indicates that urban construction land expansion and economic development should be restricted to ecological protection areas. Fragmentation of production and livelihood land poses a threat to ecological land, leading to habitat degradation, which is consistent with previous studies [65]. These findings suggest that land use change directly influences changes in ecological quality. Human activities associated with land use contribute to environmental changes, which subsequently impact ecosystems, aligning with the conclusions drawn by Zhao et al. [66] regarding the trade-offs between human activities and ecosystem services. Across all scenarios, there is a tendency for construction land and agricultural land areas to increase and concentrate around the town center in Ankang and the Han River valley, resulting in a decline in habitat quality. These results confirm the effects of changes in construction land and agricultural land areas on habitat quality. Notably, the construction of land has the most pronounced impact on habitat quality, while alterations in unused land and agricultural land areas directly influence changes in habitat quality.

5. Conclusions

5.1. Conclusions

Based on the system dynamics and PLUS model for forecasting future land use, four scenarios (SSP126, SSP245, SSP370, and SSP585) with distinct socio-economic development patterns have been selected to project future land use intensity, evaluate future land conflict levels, and assess habitat quality in the region. The objective is to examine the spatial and temporal effects on the future state of land conflicts and habitat quality under different climate and socio-economic change scenarios. The findings reveal that the primary spatial clustering patterns for land use and habitat quality exhibit a high-low type (high land use and low habitat quality) and a low-high type (low land use and high habitat quality), demonstrating a significant negative correlation. In conclusion, the impact on habitat quality under different future land use scenarios will rely on effective land use governance and planning, as well as external factors such as climate change. The achievement of ecological conservation and sustainable economic development necessitates prudent planning and management. Even in Ankang, where ecological development is prioritized, the city will gradually encounter conflicts between ecological conservation and economic development in future scenarios. Ankang boasts a favorable geographical location, excellent transportation infrastructure, abundant tourism resources, and a green industrial base. However, its overall development lags behind neighboring cities in terms of scale and progress. Therefore, for ecological cities or small cities, it is imperative to strike an optimal balance between socio-economic development and ecological protection by promoting high-level preservation and high-quality advancement to effectively safeguard the ecological environment and establish a comprehensive ecological civilization system. The results suggest that the future development space in Ankang will be constrained within the context of ecological conservation, leading to heightened land use conflicts in urban areas, which will result in ecosystem degradation and ultimately diminished habitat quality. The findings indicate that Ankang must reconcile economic development and ecological protection based on ecological conservation principles. Sufficient room for economic development should be allocated without encroaching upon areas designated for environmental protection, thereby fostering harmonious human-land relationships while ensuring robust economic progress.

5.2. Limitations

Firstly, the comprehensive exploration of future land use changes on habitat quality remains incomplete. Our current study focused solely on the dynamic changes in land use conflict and habitat quality in Ankang, an ecologically oriented city, from 2030 to 2050. We established their spatial correlation but did not consider other perspectives such as mathematical or physical models, which should be incorporated in future studies for a more comprehensive analysis.
Secondly, our study only examined the spatial association between land use and habitat quality, neglecting the impacts of land use on other elements of ecosystem services. In future studies, we will delve deeper into exploring these impacts to gain a more thorough understanding.
Thirdly, there is a need to further enrich and improve the indicator construction system. Additionally, it is crucial to incorporate other factors that influence human activities and socio-economic development to enhance the simulation of land use demand, land use change, and habitat quality change.
Lastly, our study selected only four typical climate scenarios and social development models, which introduces uncertainty in the predictions made by the SD-PLUS model. To mitigate this uncertainty, future studies should refine scenario parameters to better measure the future effects of land use change on habitat quality. It is also important to target areas with different social service orientations to accommodate sustainable future development.

Author Contributions

Conceptualization, X.L.; methodology, S.C.; formal analysis, S.C. and S.C.; data curation, S.C.; writing—original draft preparation, S.C.; writing—review and editing, S.C.; visualization, S.C.; supervision, S.C. All authors have read and agreed to the published version of the manuscript.

Funding

This research received no external funding.

Data Availability Statement

All data and materials are available upon request.

Acknowledgments

We would like to thank the reviewers for their thoughtful comments that helped improve the quality of this work.

Conflicts of Interest

The authors declare no conflict of interest.

References

  1. Huajun, T., et al., Recent Progresses of Land Use and Land Cover Change (LUCC) Models. Acta Geographica Sinica, 2009, 64, 456-468. [CrossRef]
  2. Rodrigo-Ilarri, J.; Romero, C.P.; Rodrigo-Clavero, M.-E. Land Use/Land Cover Assessment over Time Using a New Weighted Environmental Index (WEI) Based on an Object-Oriented Model and GIS Data. Sustainability 2020, 12, 10234. [Google Scholar] [CrossRef]
  3. Dai, E., et al., Agent-based model of land system: Theory, application and modelling framework. Acta Geographica Sinica, 2019, 74, 2260-2272.
  4. Bohua, Y.U. and L.V. Changhe, The Progress and Prospect of Land Use Conflicts. Progress in geography, 2006, 25, 106-115.
  5. Lu, S., J. Zhang, and Z. Wu, Study on the Spatial Conflict of Land Use in Jinghe County Oasis. Journal of Ecology and Rural Environment, 2022, 38, 428-436. [CrossRef]
  6. Yang, Y., Q. An, and L. Zhu, Diagnosis Based on the PSR Model of Rural Land-use Conflicts Intensity. Progress in Geography, 2012, 31, 1552-1560. [CrossRef]
  7. Zhou, D., J. Xu, and L. Wang, Land use spatial conflicts and complexity: A case study of the urban agglomeration around Hangzhou Bay, China. Geographical Research, 2015, 34, 1630-1642. [CrossRef]
  8. Li, Q., X. Wu, and M. Wang, Identification of Potential Land Use Conflict in Desertification Area at the County Level. Acta Scientiarum Naturalium Universitatis Pekinensis, 2018, 54, 616-624. [CrossRef]
  9. Liu, Q., et al., Identifying Potential Land Use Conflict Based on Competitiveness of Different Land Use Types in Beijing, China. Resources Science, 2014, 36, 579-1589.
  10. Zhang, J., et al., SUSTAINABILITY ASSESSMENT OF LAND CONSOLIDATION BASED ON THE IMPROVED GREY TARGET MODELA CASE OF JIANGSU PROVINCE. Resources and Environment in the Yangtze Basin, 2014, 23, 153-160.
  11. Liu, X., J. Shu, and L. Zhang, Research on applying minimal cumulative resistance model in urban land ecological suitability assessment: as an example of Xiamen City. Acta Ecologica Sinica, 2010, 30, 421-428.
  12. Zhao, X., et al., Dynamic simulation and characteristic analysis of county production-living ecological spatial conflicts based on CLUE-S model. Acta Ecologica Sinica, 2019, 39, 5897-5908. [CrossRef]
  13. Cieślak, I. Identification of areas exposed to land use conflict with the use of multiple-criteria decision-making methods. Land Use Policy 2019, 89. [Google Scholar] [CrossRef]
  14. Brown, G.; Raymond, C.M. Methods for identifying land use conflict potential using participatory mapping. Landsc. Urban Plan. 2014, 122, 196–208. [Google Scholar] [CrossRef]
  15. Karimi, A.; Hockings, M. A social-ecological approach to land-use conflict to inform regional and conservation planning and management. Landsc. Ecol. 2018, 33, 691–710. [Google Scholar] [CrossRef]
  16. Zou, L.L., et al., Land use conflict identification and sustainable development scenario simulation on China's southeast coast. Journal of Cleaner Production, 2019, 238. [CrossRef]
  17. Wei, L., et al., The evolution of spatio-temporal pattern and scenario simulation of urban agglomeration expansion in the Yellow River Basin: A case study in the Hohhot-Baotou-Ordos-Yulin Urban Agglomeration. Geographical Research, 2022, 41, 1610-1622.
  18. Zhang, X. and R. Gu, Spatio-temporal pattern and multi-scenario simulation of land use conflict: A case study of the Yangtze River Delta urban agglomeration. Geographical Research, 2022, 41, 1311-1326.
  19. Schmitz, C.; van Meijl, H.; Kyle, P.; Nelson, G.C.; Fujimori, S.; Gurgel, A.; Havlik, P.; Heyhoe, E.; D'Croz, D.M.; Popp, A.; et al. Land-use change trajectories up to 2050: insights from a global agro-economic model comparison. Agric. Econ. 2014, 45, 69–84. [Google Scholar] [CrossRef]
  20. Doelman, J.C.; Stehfest, E.; Tabeau, A.; van Meijl, H.; Lassaletta, L.; Gernaat, D.E.; Hermans, K.; Harmsen, M.; Daioglou, V.; Biemans, H.; et al. Exploring SSP land-use dynamics using the IMAGE model: Regional and gridded scenarios of land-use change and land-based climate change mitigation. Glob. Environ. Chang. 2018, 48, 119–135. [Google Scholar] [CrossRef]
  21. O’Neill, B.C.; Kriegler, E.; Ebi, K.L.; Kemp-Benedict, E.; Riahi, K.; Rothman, D.S.; van Ruijven, B.J.; van Vuuren, D.P.; Birkmann, J.; Kok, K.; et al. The roads ahead: Narratives for shared socioeconomic pathways describing world futures in the 21st century. Global Environmental Change-Human and Policy Dimensions 2017, 42, 169–180. [Google Scholar] [CrossRef]
  22. Riahi, K., et al., The Shared Socioeconomic Pathways and their energy, land use, and greenhouse gas emissions implications: An overview. Global Environmental Change-Human and Policy Dimensions, 2017, 42, 153-168. [CrossRef]
  23. Cook, B.I.; Mankin, J.S.; Marvel, K.; Williams, A.P.; Smerdon, J.E.; Anchukaitis, K.J. Twenty-First Century Drought Projections in the CMIP6 Forcing Scenarios. Earth's Futur. 2020, 8. [Google Scholar] [CrossRef]
  24. Tan, J.B., et al., A SD-MaxEnt-CA model for simulating the landscape dynamic of natural ecosystem by considering socio-economic and natural impacts. Ecological Modelling, 2019, 410. [CrossRef]
  25. Liang, X.; Liu, X.; Li, D.; Zhao, H.; Chen, G. Urban growth simulation by incorporating planning policies into a CA-based future land-use simulation model. Int. J. Geogr. Inf. Sci. 2018, 32, 2294–2316. [Google Scholar] [CrossRef]
  26. Wang, Z.; Li, X.; Mao, Y.; Li, L.; Wang, X.; Lin, Q. Dynamic simulation of land use change and assessment of carbon storage based on climate change scenarios at the city level: A case study of Bortala, China. Ecol. Indic. 2022, 134. [Google Scholar] [CrossRef]
  27. Chen, Y.; Li, X.; Liu, X.; Ai, B. Modeling urban land-use dynamics in a fast developing city using the modified logistic cellular automaton with a patch-based simulation strategy. Int. J. Geogr. Inf. Sci. 2014, 28, 234–255. [Google Scholar] [CrossRef]
  28. Yang, X.; Chen, R.; Zheng, X. Simulating land use change by integrating ANN-CA model and landscape pattern indices. Geomatics, Nat. Hazards Risk 2016, 7, 918–932. [Google Scholar] [CrossRef]
  29. Luo, G.; Yin, C.; Chen, X.; Xu, W.; Lu, L. Combining system dynamic model and CLUE-S model to improve land use scenario analyses at regional scale: A case study of Sangong watershed in Xinjiang, China. Ecol. Complex. 2010, 7, 198–207. [Google Scholar] [CrossRef]
  30. Zhu, W.; Gao, Y.; Zhang, H.; Liu, L. Optimization of the land use pattern in Horqin Sandy Land by using the CLUMondo model and Bayesian belief network. Sci. Total. Environ. 2020, 739, 139929. [Google Scholar] [CrossRef] [PubMed]
  31. Ding, Q.; Chen, Y.; Bu, L.; Ye, Y. Multi-Scenario Analysis of Habitat Quality in the Yellow River Delta by Coupling FLUS with InVEST Model. Int. J. Environ. Res. Public Heal. 2021, 18, 2389. [Google Scholar] [CrossRef]
  32. Dong, N.; You, L.; Cai, W.; Li, G.; Lin, H. Land use projections in China under global socioeconomic and emission scenarios: Utilizing a scenario-based land-use change assessment framework. Glob. Environ. Chang. 2018, 50, 164–177. [Google Scholar] [CrossRef]
  33. Liang, X.; Liu, X.; Li, X.; Chen, Y.; Tian, H.; Yao, Y. Delineating multi-scenario urban growth boundaries with a CA-based FLUS model and morphological method. Landsc. Urban Plan. 2018, 177, 47–63. [Google Scholar] [CrossRef]
  34. Liu, X.; Liang, X.; Li, X.; Xu, X.; Ou, J.; Chen, Y.; Li, S.; Wang, S.; Pei, F. A future land use simulation model (FLUS) for simulating multiple land use scenarios by coupling human and natural effects. Landsc. Urban Plan. 2017, 168, 94–116. [Google Scholar] [CrossRef]
  35. Li, C., et al., Multi-scenario simulation of ecosystem service value for optimization of land use in the Sichuan-Yunnan ecological barrier, China. Ecological Indicators, 2021, 132. [CrossRef]
  36. Zhai, H.; Lv, C.; Liu, W.; Yang, C.; Fan, D.; Wang, Z.; Guan, Q. Understanding Spatio-Temporal Patterns of Land Use/Land Cover Change under Urbanization in Wuhan, China, 2000–2019. Remote. Sens. 2021, 13, 3331. [Google Scholar] [CrossRef]
  37. Zhou, D., J. Xu, and L. Wang, Land use spatial conflicts and complexity: A case study of the urban agglomeration around Hangzhou Bay, China. Geographical Research, 2015, 34,1630-1642. [CrossRef]
  38. Chen, X.; Chen, S.; He, Z.; Xue, D.; Fang, G.; Pan, K.; Fang, K. Developing a system for comprehensive regional Eco-environmental quality assessment in mountainous areas—A case study of Western Sichuan, China. Front. Environ. Sci. 2022, 10. [Google Scholar] [CrossRef]
  39. Gevrey, M.; Dimopoulos, I.; Lek, S. Review and comparison of methods to study the contribution of variables in artificial neural network models. Ecol. Model. 2003, 160, 249–264. [Google Scholar] [CrossRef]
  40. Yu, W.; Ji, R.; Han, X.; Chen, L.; Feng, R.; Wu, J.; Zhang, Y. Evaluation of the Biodiversity Conservation Function in Liaohe Delta Wetland, Northeastern China. J. Meteorol. Res. 2020, 34, 798–805. [Google Scholar] [CrossRef]
  41. Wu, L.; Sun, C.; Fan, F. Estimating the Characteristic Spatiotemporal Variation in Habitat Quality Using the InVEST Model—A Case Study from Guangdong–Hong Kong–Macao Greater Bay Area. Remote. Sens. 2021, 13, 1008. [Google Scholar] [CrossRef]
  42. Liu, L.; Li, J.; Wang, J.; Liu, F.; Cole, J.; Sha, J.; Jiao, Y.; Zhou, J. The establishment of an eco-environmental evaluation model for southwest China and eastern South Africa based on the DPSIR framework. Ecol. Indic. 2022, 145. [Google Scholar] [CrossRef]
  43. Terrado, M.; Sabater, S.; Chaplin-Kramer, B.; Mandle, L.; Ziv, G.; Acuña, V. Model development for the assessment of terrestrial and aquatic habitat quality in conservation planning. Sci. Total. Environ. 2016, 540, 63–70. [Google Scholar] [CrossRef] [PubMed]
  44. Zhou, T., L. Zou, and X. Chen, Commentary on the Coupled Model Intercomparison Project Phase 6 (CMIP6). Progressus Inquisitiones de Mutatione Climatis, 2019, 15, 445-456. [CrossRef]
  45. van Vuuren, D.P., et al., Energy, land-use and greenhouse gas emissions trajectories under a green growth paradigm. Global Environmental Change-Human and Policy Dimensions, 2017, 42, 237-250. [CrossRef]
  46. Fricko, O.; Havlik, P.; Rogelj, J.; Klimont, Z.; Gusti, M.; Johnson, N.; Kolp, P.; Strubegger, M.; Valin, H.; Amann, M. The marker quantification of the Shared Socioeconomic Pathway 2: A middle-of-the-road scenario for the 21st century. Global Environmental Change-Human and Policy Dimensions 2017, 42, 251–267. [Google Scholar] [CrossRef]
  47. Fujimori, S.; Hasegawa, T.; Masui, T.; Takahashi, K.; Herran, D.S.; Dai, H.; Hijioka, Y.; Kainuma, M. SSP3: AIM implementation of Shared Socioeconomic Pathways. Global Environmental Change-Human and Policy Dimensions 2017, 42, 268–283. [Google Scholar] [CrossRef]
  48. Kriegler, E.; Bauer, N.; Popp, A.; Humpenöder, F.; Leimbach, M.; Strefler, J.; Baumstark, L.; Bodirsky, B.L.; Hilaire, J.; Klein, D.; et al. Fossil-fueled development (SSP5): An energy and resource intensive scenario for the 21st century. Glob. Environ. Chang. 2017, 42, 297–315. [Google Scholar] [CrossRef]
  49. Wang, Y.; Wang, A.; Zhai, J.; Tao, H.; Jiang, T.; Su, B.; Yang, J.; Wang, G.; Liu, Q.; Gao, C.; et al. Tens of thousands additional deaths annually in cities of China between 1.5 °C and 2.0 °C warming. Nat. Commun. 2019, 10, 1–7. [Google Scholar] [CrossRef]
  50. Chen, Y.; Guo, F.; Wang, J.; Cai, W.; Wang, C.; Wang, K. Provincial and gridded population projection for China under shared socioeconomic pathways from 2010 to 2100. Sci. Data 2020, 7, 1–13. [Google Scholar] [CrossRef] [PubMed]
  51. Geng, B.; Zheng, X.; Fu, M. Scenario analysis of sustainable intensive land use based on SD model. Sustain. Cities Soc. 2017, 29, 193–202. [Google Scholar] [CrossRef]
  52. Long, H. and S. Tu, Rural restructuring: Theory, approach and research prospect. Acta Geographica Sinica, 2017, 72, 563-576. [CrossRef]
  53. Li, S.-Y.; Miao, L.-J.; Jiang, Z.-H.; Wang, G.-J.; Gnyawali, K.R.; Zhang, J.; Zhang, H.; Fang, K.; He, Y.; Li, C. Projected drought conditions in Northwest China with CMIP6 models under combined SSPs and RCPs for 2015–2099. Adv. Clim. Chang. Res. 2020, 11, 210–217. [Google Scholar] [CrossRef]
  54. Zhou, D.; Lin, Z.; Lim, S.H. Spatial characteristics and risk factor identification for land use spatial conflicts in a rapid urbanization region in China. Environ. Monit. Assess. 2019, 191, 677. [Google Scholar] [CrossRef]
  55. Zhu, C.; Zhang, X.; Zhou, M.; He, S.; Gan, M.; Yang, L.; Wang, K. Impacts of urbanization and landscape pattern on habitat quality using OLS and GWR models in Hangzhou, China. Ecol. Indic. 2020, 117, 106654. [Google Scholar] [CrossRef]
  56. Zhao, X., et al., Spatio-temporal pattern and functional zoning of ecosystem services in the karst mountainous areas of southeastern Yunnan. Acta Geographica Sinica, 2022, 77, 736-756.
  57. Zhang, C.-Y.; Zhao, L.; Zhang, H.; Chen, M.-N.; Fang, R.-Y.; Yao, Y.; Zhang, Q.-P.; Wang, Q. Spatial-temporal characteristics of carbon emissions from land use change in Yellow River Delta region, China. Ecol. Indic. 2022, 136, 108623. [Google Scholar] [CrossRef]
  58. Zhao, T.; Pan, J.; Bi, F. Can human activities enhance the trade-off intensity of ecosystem services in arid inland river basins? Taking the Taolai River asin as an example. Sci. Total. Environ. 2023, 861, 160662. [Google Scholar] [CrossRef]
  59. Meimei, W.; Zizhen, J.; Tengbiao, L.; Yongchun, Y.; Zhuo, J. Analysis on absolute conflict and relative conflict of land use in Xining metropolitan area under different scenarios in 2030 by PLUS and PFCI. Cities 2023, 137. [Google Scholar] [CrossRef]
  60. Hasan, S.S.; Zhen, L.; Miah, M.G.; Ahamed, T.; Samie, A. Impact of land use change on ecosystem services: A review. Environ. Dev. 2020, 34, 100527. [Google Scholar] [CrossRef]
  61. Wei, Q.Q., et al., Temporal and spatial variation analysis of habitat quality on the PLUS-InVEST model for Ebinur Lake Basin, China. Ecological Indicators, 2022, 145. [CrossRef]
  62. Chen, W.; Chi, G. Urbanization and ecosystem services: The multi-scale spatial spillover effects and spatial variations. Land Use Policy 2022, 114, 105964. [Google Scholar] [CrossRef]
  63. Wu, J.; Luo, J.; Zhang, H.; Qin, S.; Yu, M. Projections of land use change and habitat quality assessment by coupling climate change and development patterns. Sci. Total. Environ. 2022, 847, 157491. [Google Scholar] [CrossRef] [PubMed]
  64. Gao, L.; Tao, F.; Liu, R.; Wang, Z.; Leng, H.; Zhou, T. Multi-scenario simulation and ecological risk analysis of land use based on the PLUS model: A case study of Nanjing. Sustain. Cities Soc. 2022, 85. [Google Scholar] [CrossRef]
  65. Wei, L.; Zhou, L.; Sun, D.; Yuan, B.; Hu, F. Evaluating the impact of urban expansion on the habitat quality and constructing ecological security patterns: A case study of Jiziwan in the Yellow River Basin, China. Ecol. Indic. 2022, 145. [Google Scholar] [CrossRef]
  66. Zhao, T.; Pan, J.; Bi, F. Can human activities enhance the trade-off intensity of ecosystem services in arid inland river basins? Taking the Taolai River asin as an example. Sci. Total. Environ. 2023, 861, 160662. [Google Scholar] [CrossRef]
Figure 3. SD model of land use demand in Ankang.
Figure 3. SD model of land use demand in Ankang.
Preprints 79396 g003
Figure 4. Ankang land use map for 2000, 2010 and 2020.
Figure 4. Ankang land use map for 2000, 2010 and 2020.
Preprints 79396 g004
Figure 5. Driving factor indicators.
Figure 5. Driving factor indicators.
Preprints 79396 g005
Figure 6. Land use demand obtained from SD model simulation.
Figure 6. Land use demand obtained from SD model simulation.
Preprints 79396 g006
Figure 7. Land use in 2030, 2040 and 2050 from PLUS model simulations.
Figure 7. Land use in 2030, 2040 and 2050 from PLUS model simulations.
Preprints 79396 g007
Figure 8. Land use conflict for 2000, 2010 and 2020.
Figure 8. Land use conflict for 2000, 2010 and 2020.
Preprints 79396 g008
Figure 9. Future land use conflict maps for 2030, 2040 and 2050.
Figure 9. Future land use conflict maps for 2030, 2040 and 2050.
Preprints 79396 g009
Figure 10. Spatial clustering hotspot analysis under scenarios simulation.
Figure 10. Spatial clustering hotspot analysis under scenarios simulation.
Preprints 79396 g010
Figure 11. Habitat quality classes in Ankang under various scenarios.
Figure 11. Habitat quality classes in Ankang under various scenarios.
Preprints 79396 g011
Figure 12. Spatial clustering diagram under scenarios simulation.
Figure 12. Spatial clustering diagram under scenarios simulation.
Preprints 79396 g012
Figure 13. Bivariate Moran's l scatter plot for land use conflict and habitat quality.
Figure 13. Bivariate Moran's l scatter plot for land use conflict and habitat quality.
Preprints 79396 g013
Figure 14. Bivariate LISA Significance Map for Land Use Conflict and Habitat Quality.
Figure 14. Bivariate LISA Significance Map for Land Use Conflict and Habitat Quality.
Preprints 79396 g014
Figure 15. Bivariate LISA clustering map for land use conflict and habitat quality.
Figure 15. Bivariate LISA clustering map for land use conflict and habitat quality.
Preprints 79396 g015
Table 1. Research data and sources
Table 1. Research data and sources
Data type Data name Resolution Source
Land use data Land use data 30m National Geographic Information Resources Catalogue Service System https://www.webmap.cn/
Socio-economic data Statistical data —— Shaanxi Statistical Yearbook, Ankang Statistical Yearbook, Ankang Annual Statistical Bulletin
GDP 1 km Resource and Environment Science and Data Centre
https://www.resdc.cn/
Population density 1 km
Night lights 500m Earth Observation Group (EOG)
https://eogdata.mines.edu
Roads, Railways —— National Geographic Information Resources Catalogue Service https://www.webmap.cn/
Natural factors data Soil dryness 1 km Chinese Academy of Sciences Resource and Environmental Science and Data Centre https://www.resdc.cn/
Soil type 1 km
Soil erosion type 1 km
Soil erosion intensity 1 km
NDVI 1 km
NPP 1 km
Agricultural production potential 1 km
River Water Resources —— National Geographic Information Resources Catalogue Service https://www.webmap.cn
DEM 30m National Geographic Information Resources Catalogue Service https://www.webmap.cn
Meteorological data —— National Geophysical Data Center https://www.ncdc.noaa.gov/
Table 2. Study area setting scenario parameters and sources
Table 2. Study area setting scenario parameters and sources
Scenarios Forcing category Parameter Data source
SSP126 [45] Low forcing scenario GDP GDP forecast data [49]
SSP245 [46] Medium forcing scenario Population China’s future population km-scale grid data [50]
SSP370 [47] Medium to high forcing scenario Temperature World Climate Research Program [22] (WCRP)https://esgf-node.llnl.gov/cmip6
SSP585 [48] High forcing scenario Rainfall
Table 3. Parameter settings for different climate scenarios from 2020 to 2050
Table 3. Parameter settings for different climate scenarios from 2020 to 2050
Scenarios 2030 2040 2050
GGR PGR TCR PCR GGR PGR TCR PCR GGR PGR TCR PCR
SSP126 5.08% 0.01% 3.13% 12.25% 3.05% 0.14% 4.92% 19.84% 1.70% 0.36% 2.70% 25.20%
SSP245 4.78% -0.10% 3.08% 26.30% 2.79% 0.02% 3.70% 17.16% 1.58% 0.19% 4.39% 25.84%
SSP370 4.09% -0.20% 5.20% 18.57% 2.00% -0.09% 4.49% 19.40% 0.80% -0.02% 5.78% 17.06%
SSP585 5.37% 0.01% 7.78% 14.77% 3.58% 0.14% 4.93% 18.43% 2.32% 0.36% 5.97% 26.42%
Note: GCR refers to the annual rate of change in GDP, PGR refers to the annual rate of change in population, TCR refers to the annual rate of change in temperature and PCR refers to the annual rate of change in rainfall.
Table 4. Land use conflict measurement model construction.
Table 4. Land use conflict measurement model construction.
Land use conflict measurement model Equation Number
Land use conflict Comprehensive Index [53] LUCI= LUAWMPFD+ LUFI −LUSI (1)
Land use complexity index (LUAWMPFD) [54] LU AWMPFD = i = 1 m j = 1 n 2 ln 0.25 P ij ln a ij a ij A (2)
Land use vulnerability index (LUFI) L U F i = i = 1 n F i × a i A (3)
Land Use Stability Inde (LUSI) LUSI = 1 – PD P D = n i A (4)
Table 7. Comparison between Projected results and Actual data in 2020(ha)
Table 7. Comparison between Projected results and Actual data in 2020(ha)
Land use type Actual value in 2020 Projected value in 2020 Simulation error(%)
Agricultural land 423669.7 423601.3 -0.02%
Forest land 1778084.1 1776178.2 -0.11%
Grassland 123596.8 123553.3 -0.04%
Water 14707.7 14682.4 -0.17%
Construction land 14829.1 14828.1 -0.01%
Unused land 330.8 337.6 2.04%
Table 8. PLUS model simulation land use results (ha).
Table 8. PLUS model simulation land use results (ha).
Land use type SSP126 SSP245 SSP370 SSP585
2030 2040 2050 2030 2040 2050 2030 2040 2050 2030 2040 2050
Agricultural land 420631 416496 411507 420599 416411 411331 420941 416774 411202 420562 416318 411169
Forest land 1772098 1769306 1769371 1770209 1762461 1755524 1768101 1755610 1747139 1771303 1757337 1743319
Grassland 127924 133320 137483 128550 136148 144063 129533 140031 151506 129106 138774 151369
Water 14313.7 13847.3 13500.7 14238.9 13555.4 12847.4 14136 13170.2 12100.6 14282.7 13285.3 12107.6
Construction land 18014.2 20015.9 21148.7 19872.4 24430.1 29243.5 20648 27858.6 31069.3 20419.6 27290.7 35049.2
Unused land 305.8 299.6 282.7 311.1 287.1 274.6 310.9 278.8 274.2 310.5 279.9 274.2
Table 9. Habitat quality classes (%) and mean and standard deviation in Ankang.
Table 9. Habitat quality classes (%) and mean and standard deviation in Ankang.
Level SSP126-HQ SSP245-HQ SSP370-HQ SSP585-HQ
2030 2040 2050 2030 2040 2050 2030 2040 2050 2030 2040 2050
0-0.2 2.62 2.58 2.53 2.56 2.69 2.64 2.54 2.85 3.02 4.54 4.80 4.88
0.2-0.4 13.40 13.35 13.60 13.21 13.12 13.59 13.57 13.78 13.89 11.02 11.31 12.15
0.4-0.6 16.70 16.83 16.57 16.74 16.78 16.72 16.85 16.81 16.77 23.17 24.18 32.76
0.6-0.8 48.14 47.79 47.86 48.05 48.12 47.71 47.81 47.50 47.38 44.05 43.32 34.78
0.8-1 19.13 19.45 19.43 19.45 19.30 19.33 19.22 19.06 18.94 17.21 16.37 15.42
Mean 0.6421 0.6428 0.6429 0.6436 0.6427 0.6415 0.6407 0.6401 0.6397 0.5615 0.5592 0.5360
StdDev 0.1974 0.1971 0.1969 0.1967 0.1974 0.1978 0.1979 0.1973 0.1991 0.1927 0.1943 0.1958
Disclaimer/Publisher’s Note: The statements, opinions and data contained in all publications are solely those of the individual author(s) and contributor(s) and not of MDPI and/or the editor(s). MDPI and/or the editor(s) disclaim responsibility for any injury to people or property resulting from any ideas, methods, instructions or products referred to in the content.
Copyright: This open access article is published under a Creative Commons CC BY 4.0 license, which permit the free download, distribution, and reuse, provided that the author and preprint are cited in any reuse.
Prerpints.org logo

Preprints.org is a free preprint server supported by MDPI in Basel, Switzerland.

Subscribe

Disclaimer

Terms of Use

Privacy Policy

Privacy Settings

© 2026 MDPI (Basel, Switzerland) unless otherwise stated