Submitted:
22 May 2023
Posted:
23 May 2023
You are already at the latest version
Abstract
Keywords:
1. Introduction
2. Related work
2.1. Ocean ontology
2.2. Feature analysis of ocean circulation
3. Ocean circulation domain ontology construction
3.1. Definition of the ontology structure of ocean circulation

3.2. Analysis of spatial-temporal process semantics
3.2.1. Analysis of semantic concepts


3.2.2. Spatial semantic ontology
- 1.
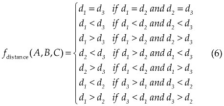
- Spatial distance relationships
- 2.
- Spatial sequence relationships
- 3.
- Spatial topological relationships
3.2.3. Temporal semantic ontology
![]() |
3.2.4. Semantic inference analysis of ocean circulation
- Inference analysis of concept relationships

- 2.
- Inference analysis of spatial relationships

- 3.
- Inference analysis of temporal relationships
3.3. Modeling and formal expression of ocean circulation domain ontology




3.4. Ontology Application Experiment




4. Ontology-based Ocean Circulation Knowledge Base
4.1. The Framework of Ocean Circulation Knowledge Base

4.2. Ocean Circulation Ontology Query Example
| 1 | Select ?phenomenon ?Tp ?Lp ?Pp |
| 2 | where { |
| 3 | ?phenomenon rdf:type oc:Large-scale_Ocean_Current. |
| 4 | ?phenomenon oc:hasResultby oc:Trade_winds. |
| 5 | ?phenomenon oc:temperature ?Tp. |
| 6 | ?phenomenon oc:location ?Lp. |
| 7 | ?phenomenon oc:period ?Pp. |
| 8 | } |
5. Discussion
6. Conclusion
Author Contributions
Funding
Data Availability Statement
Acknowledgments
Conflicts of Interest
References
- Construction of Marine Vocabularies in the Marine Metadata Interoperability, Project; Bermudez, L., Graybeal, J., Isenor, A.W., Lowry, R., Wright, D., Eds.; Washington, DC, USA, 2005; pp. 2578–2585. [Google Scholar]
- Bermudez, L.; Graybeal, J.; Arko, R. A Marine Platforms Ontology: Experiences and Lessons.; Athens GA, USA, 2006.
- Chau, K.W. An Ontology-Based Knowledge Management System for Flow and Water Quality Modeling. Adv. Eng. Software 2007, 38, 172–181. [Google Scholar] [CrossRef]
- Rueda, C.; Bermudez, L.; Fredericks, J. The MMI Ontology Registry and Repository: A Portal for Marine Metadata Interoperability.; IEEE: Biloxi, MS, USA, October 2009; pp. 1–6. [Google Scholar]
- Tao, F.; Campbell, J.; Pagnani, M.; Griffiths, G. Collaborative Ocean Resource Interoperability: Multi-Use of Ocean Data on the Semantic Web.; Aroyo, L., Traverso, P., Ciravegna, F., Cimiano, P., Heath, T., Hyvönen, E., Mizoguchi, R., Oren, E., Sabou, M., Simperl, E., Eds.; Springer: Berlin and Heidelberg and New York, NY, 2009; Volume 5554, pp. 753–767. [Google Scholar]
- Yun, H. Research on Building Ocean Domain Ontology.; IEEE, 2009; Vol. 1, pp. 146–150.
- Chandler, C.L.; Allison, M.D.; Groman, R.C.; West, P.; Zednik, S.; Maffei, A.R. Developing an Ontology for Ocean Biogeochemistry Data.; 2010; pp. 13–17.
- Jia, H.; Xiong, J.; Xu, J.; Wang, J. Research and Application of Role Theory in Ocean Carbon Cycle Ontology Construction. J. Ocean Univ. China 2014, 13, 979–984. [Google Scholar] [CrossRef]
- Markus Stocker Semantic Representation of Marine Monitoring Data. PhD Thesis, Department of Environmental and Biological Sciences: FINLAND, 2017.
- 10. An Ontological Framework for Characterizing Hydrological Flow Processes: Schloss Dagstuhl - Leibniz-Zentrum Fuer Informatik GmbH, Wadern/Saarbruecken, Germany, Stephen, S., Hahmann, T., Eds.; 2017. [Google Scholar]
- Poux, F.; Neuville, R.; Nys, G.-A.; Billen, R. 3D Point Cloud Semantic Modelling: Integrated Framework for Indoor Spaces and Furniture. Remote Sens. 2018, 10, 1412. [Google Scholar] [CrossRef]
- deYoung, B.; Visbeck, M.; de Araujo Filho, M.C.; Baringer, M.O.; Black, C.; Buch, E.; Canonico, G.; Coelho, P.; Duha, J.T.; Edwards, M.; et al. An Integrated All-Atlantic Ocean Observing System in 2030. Front. Mar. Sci. 2019, 6. [Google Scholar] [CrossRef]
- O’Callaghan, J.; Stevens, C.; Roughan, M.; Cornelisen, C.; Sutton, P.; Garrett, S.; Giorli, G.; Smith, R.O.; Currie, K.I.; Suanda, S.H.; et al. Developing an Integrated Ocean Observing System for New Zealand. Front. Mar. Sci. 2019, 6. [Google Scholar] [CrossRef]
- Ge, X.; Yang, Y.; Peng, L.; Chen, L.; Li, W.; Zhang, W.; Chen, J. Spatio-Temporal Knowledge Graph Based Forest Fire Prediction with Multi Source Heterogeneous Data. Remote Sens. 2022, 14, 3496. [Google Scholar] [CrossRef]
- Ai, B.; Sun, D.; Liu, Y.; Li, C.; Yang, F.; Yin, Y.; Tian, H. Multi-Scale Representation of Ocean Flow Fields Based on Feature Analysis. ISPRS Int. J. Geo-Inf. 2020, 9, 307. [Google Scholar] [CrossRef]
- Li, D. Research on Semantic Analysis of Ocean Flow Field Based on Feature Similarity Collaborative Filtering. J. Coastal Res. 2020, 108. [Google Scholar] [CrossRef]
- Ji, M.; Shi, Q.; Jin, F.; Li, T.; Sun, Y. Extension and Expression of OWL Modeling Primitives Based on Spatio-Temporal Ontology of Ocean Flow Field. In; Xie, Y., Li, Y., Yang, J., Xu, J., Deng, Y., Eds.; Communications in computer and information science, 1865-0929; Springer: Singapore, 2020; Volume 1228, pp. 321–335. ISBN 978-981-15-6105-4. [Google Scholar]
- Gruber, T.R. A Translation Approach to Portable Ontology Specifications. Knowl. Acquis. 1993, 5, 199–220. [Google Scholar] [CrossRef]
- Narock, T.; Krisnadhi, A.; Hitzler, P.; Cheatham, M.; Arko, R.; Carbotte, S.; Shepherd, A.; Chandler, C.; Raymond, L.; Wiebe, P.; et al. The OceanLink Project.; Lin, J., Hu, X., Chang, W., Nambiar, R., Aggarwal, C., Cercone, N., Honavar, V., Huan, J., Mobasher, B., Pyne, S., Eds.; 2014.
- Leadbetter, A.M.; Lowry, R.K.; Clements, D.O. Putting Meaning into NETMAR - the Open Service Network for Marine Environmental Data. INTERNATIONAL JOURNAL OF DIGITAL EARTH 2014, 7, 811–828. [Google Scholar] [CrossRef]
- Krisnadhi, A.; Hu, Y.; Janowicz, K.; Hitzler, P.; Arko, R.; Carbotte, S.; Chandler, C.; Cheatham, M.; Fils, D.; Finin, T.; et al. The GeoLink Modular Oceanography Ontology.; Arenas, M., Corcho, O., Simperl, E., Strohmaier, M., d’Aquin, M., Srinivas, K., Groth, P., Dumontier, M., Heflin, J., Thirunarayan, K., Staab, S., Eds.; Springer International Publishing: Cham, 2015; Volume 9367, pp. 301–309. [Google Scholar]
- Zárate, M.; Braun, G.; Fillottrani, P.; Delrieux, C.; Lewis, M. BiGe-Onto: An Ontology-Based System for Managing Biodiversity and Biogeography Data. Appl. Ontol. 2020, 15, 411–437. [Google Scholar] [CrossRef]
- Graybeal, J.; Bermudez, L.; Bogden, P.; Miller, S.; Watson, S. ’Marine Metadata Interoperability Project: Leading to Collaboration. In Proceedings of the 2005 IEEE International Symposium on Mass Storage Systems and Technology; June 2005; pp. 14–18. [Google Scholar]
- Ali, N.M.; Khan, H.A.; Then, A.Y.-H.; Ving Ching, C.; Gaur, M.; Dhillon, S.K. Fish Ontology Framework for Taxonomy-Based Fish Recognition. PeerJ 2017, 5, e3811. [Google Scholar] [CrossRef] [PubMed]
- Peters, K.; Steinberg, P. The Ocean in Excess: Towards a More-than-Wet Ontology. Dialogues in Human Geography 2019, 9, 293–307. [Google Scholar] [CrossRef]
- Zhang, Y.; Su, F.; Wang, Q.; Wu, W. Isiand Ontology Construction and Its Application in Spatial Data Organization. Geography and Geo-Information Science 2017, 33, 52–58. [Google Scholar]
- Li, T.; Fu, Y.; Ji, M.; Sun, Y.; Shi, Q. Semantic Analysis of Ocean Flow Field Based on Ontology. Journal of Geo-information Science 2018, 20, 1373–1380. [Google Scholar]
- Chacko, N.; Ali, M.M.; Bourassa, M.A. Impact of Ocean Currents on Wind Stress in the Tropical Indian Ocean. Remote Sens. 2022, 14, 1547. [Google Scholar] [CrossRef]
- Guarino, N. Understanding, Building and Using Ontologies. Int. J. Hum. Comput. Stud. 1997, 46, 293–310. [Google Scholar] [CrossRef]
- Cui, W. Using Ontology to Achieve The Semantic Integration and Interoperation of the Geography Information System. PhD Thesis, Wuhan university, 2004.
- Wang, H.; Wu, J.; Jiang, F. A Study on Ontology Model Based on Description Logics. Syst. Eng. 2003, 101–106. [Google Scholar]
- Gómez-Pérez, A.; Benjamins, R. Overview of Knowledge Sharing and Reuse Components: Ontologies and Problem-Solving Methods.; Facultad de Informática (UPM): Stockholm, Sweden, August 1999; Volume 18. [Google Scholar]
- Naing, M.-M.; Lim, E.-P.; Hoe-Lian, D.G. Ontology-Based Web Annotation Framework for Hyperlink Structures.; December 2002; pp. 184–193.
- Natalya F., Noy; Deborah, L. McGuinness Ontology Development 101: A Guide to Creating Your First Ontology. Stanford Knowledge Systems Laboratory 2001, 32. [Google Scholar]
- Giunchiglia, F.; Shvaiko, P. Semantic Matching. Knowl. Eng. Rev. 2003, 18, 265–280. [Google Scholar] [CrossRef]
- Cruz, I.F.; Sunna, W.; Chaudhry, A. Semi-Automatic Ontology Alignment for Geospatial Data Integration.; Egenhofer, M.J., Freksa, C., Miller, H.J., Eds.; Springer: Berlin, Heidelberg, 2004; Volume 3234, pp. 51–66. [Google Scholar]
- Kavouras, M.; Kokla, M.; Tomai, E. Comparing Categories among Geographic Ontologies. Comput. Geosci. 2005, 31, 145–154. [Google Scholar] [CrossRef]
- Heer, T.; Retkowitz, D.; Kraft, B. Tool Support for the Integration of Light-Weight Ontologies.; Filipe, J., Cordeiro, J., Eds.; Springer: Berlin, Heidelberg, 2009; pp. 175–187. [Google Scholar]
- Hong, J.-H.; Kuo, C.-L. A Semi-Automatic Lightweight Ontology Bridging for the Semantic Integration of Cross-Domain Geospatial Information. Int. J. Geogr. Inf. Sci. 2015, 29, 2223–2247. [Google Scholar] [CrossRef]
- Shi, Q.; Bourassa, M.A. Coupling Ocean Currents and Waves with Wind Stress over the Gulf Stream. Remote Sens. 2019, 11, 1476. [Google Scholar] [CrossRef]
- Pullar, D.V. Towards the Defection and Use of Topological Relations among Spatial Objects.; 1988.
- Cook, P.D.; Carney, A.E.; Holden, H.M. Accommodation of GDP-Linked Sugars in the Active Site of GDP-Perosamine Synthase , Biochemistry-us. 2008, 47, 10685–10693. [Google Scholar] [CrossRef] [PubMed]
- Zhang, L.; Li, S.; Wang, H. Dynamic direction adjacent relations and bidirectional association representation of 3D objects. Computer Engineering and Applications 2009, 45, 68–71. [Google Scholar]
- Hao, X.; Zhang, L.; Zhao, L.; Li, S. 3DR39-3d Orientation Relation Model and Reverse Orientation Relation. Computer Engineering 2014, 40, 258–262. [Google Scholar]
- Hao, X.; Zhang, L.; Li, S. 3DR44 Direction Relation Representation Model in Three Dimensional Space. Computer Engineering 2011, 37, 75–77+80. [Google Scholar]
- Hao, X.; Li, S.; Hao, Z. Representation and reasoning for model of 3DR46 in complex 3D space. Journal of Frontiers of Computer Science and Technology 2020, 14, 2004–2013. [Google Scholar]
- Smart, P.D.; Abdelmoty, A.I.; El-Geresy, B. Spatial Reasoning with Place Information on the Semantic Web. Int. J. Artif. Intell. Tools 2014, 23, 1450011. [Google Scholar] [CrossRef]
- Schmidl, T.M.; Cox, D.C. Robust Frequency and Timing Synchronization for OFDM. IEEE Trans. Commun. 1997, 45, 1613–1621. [Google Scholar] [CrossRef]
- Liu, D.; Wang, J. An Efficient Joint Synchronization Acquisition Algorithm for OFDM.; August 2004; pp. 813–817.
- Wu, J.; Zhou, Q.; Cheng, K.K.M. A Joint Estimation Algorithm of Symbol Timing and Carrier Offset in OFDM Systems.; May 2001; Vol. 1, pp. 712–716 vol.1. 20 May.
- Shen, J.; Zhou, T.; Chen, M. A 27-Intersection Model for Representing Detailed Topological Relations between Spatial Objects in Two-Dimensional Space. ISPRS Int. J. Geo-Inf. 2017, 6, 37. [Google Scholar] [CrossRef]
- Allen, J.F. Maintaining Knowledge about Temporal Intervals. Commun. Acm 1983, 26, 832–843. [Google Scholar] [CrossRef]
| Relations | Symbols | Descriptions |
|---|---|---|
| Relationship between concepts. | equivalent-of | Concept equivalence, such as equatorial counter current and counter equatorial current. |
| kinds-of | Whole-part relationship between concepts, such as ocean circulation and equatorial current. | |
| subclass-of | The relationship between a subclass and a superclass is that the subclass is a specific type of the superclass. For example, a western boundary current is a type of boundary current | |
| Relationship between concepts and attributes. | attribute-of | Flow direction is an attribute of the concept of ocean current |
| Relationship between concepts and instances. | instance-of | The Brazil Current is an instance of the concept of warm current. |
| Direction | Description |
|---|---|
| East |
|
| South |
|
| West |
|
| North |
|
| Northwest |
|
| Northeast |
|
| Southwest |
|
| Southeast |
|
| Above | |
| Below |
| phenomenon | Tp | Pp | Lp |
|---|---|---|---|
| El Niño | rise abnormally | between two and seven years | in the central and east-central equatorial Pacific |
| La Niña | reduce abnormally | every few years | the eastern equatorial part of the central Pacific Ocean |
Disclaimer/Publisher’s Note: The statements, opinions and data contained in all publications are solely those of the individual author(s) and contributor(s) and not of MDPI and/or the editor(s). MDPI and/or the editor(s) disclaim responsibility for any injury to people or property resulting from any ideas, methods, instructions or products referred to in the content. |
© 2023 by the authors. Licensee MDPI, Basel, Switzerland. This article is an open access article distributed under the terms and conditions of the Creative Commons Attribution (CC BY) license (http://creativecommons.org/licenses/by/4.0/).
