Article
Version 1
Preserved in Portico This version is not peer-reviewed
On Fundamentality of Heat
Version 1
: Received: 18 September 2021 / Approved: 20 September 2021 / Online: 20 September 2021 (11:05:37 CEST)
How to cite: Jamali, A. On Fundamentality of Heat. Preprints 2021, 2021090327 (doi: 10.20944/preprints202109.0327.v1). Jamali, A. On Fundamentality of Heat. Preprints 2021, 2021090327 (doi: 10.20944/preprints202109.0327.v1).
Abstract
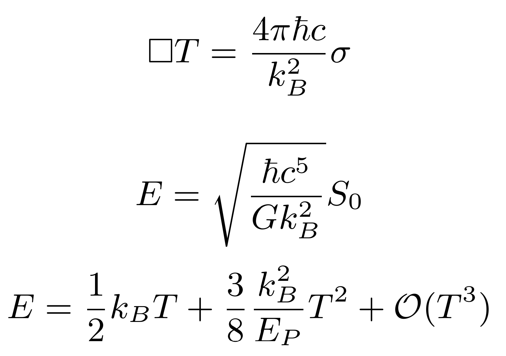
Motivated by the well-known contradiction of special relativity and the heat equation, a wave equation for temperature scalar field is presented that also resolves the old controversy of (Lorentz) transformation of temperature and entropy. After showing that the current dogma of temperature and entropy being emergent concepts is based on but a logical fallacy, it is proposed that single particles posses entropy. This principle of fundamentality of entropy is then shown to be compatible with the equipartition theorem by yielding corrections in the quantum gravity regime.
Keywords
heat equation; relativistic heat equation; emergence of entropy; equipartition theorem
Subject
PHYSICAL SCIENCES, General & Theoretical Physics
Copyright: This is an open access article distributed under the Creative Commons Attribution License which permits unrestricted use, distribution, and reproduction in any medium, provided the original work is properly cited.
Comments (0)
We encourage comments and feedback from a broad range of readers. See criteria for comments and our diversity statement.
Leave a public commentSend a private comment to the author(s)
