Preprint
Short Note

This version is not peer-reviewed.

Harmonisation of Classical Wave Equation

Submitted:

09 September 2021

Posted:

13 September 2021

You are already at the latest version

Abstract
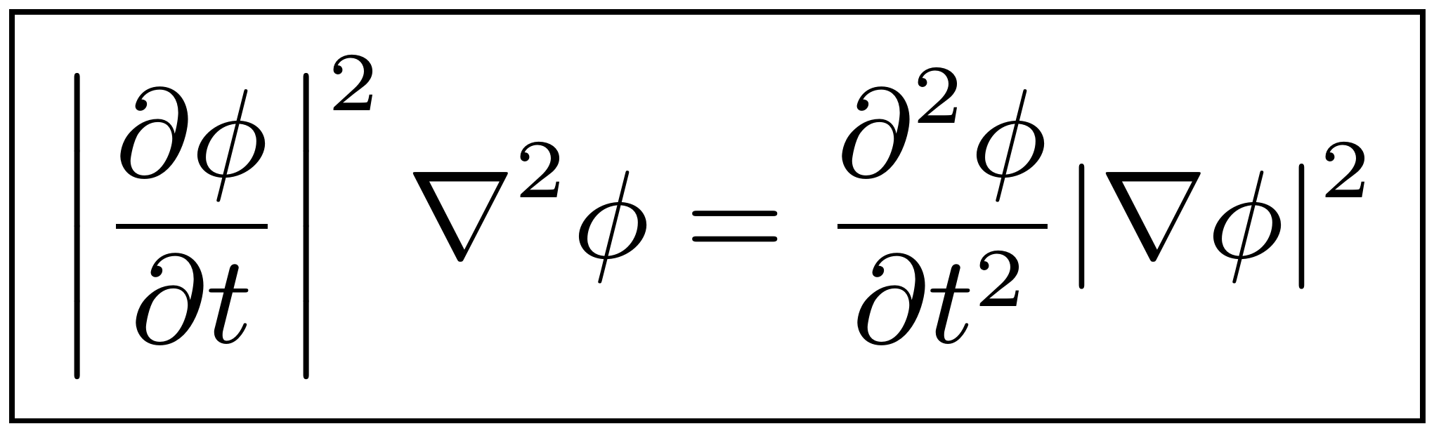
In this short note we present a technique using which one attributes frequency and wavevector to (almost) arbitrary scalar fields. Our proposed definition is then applied to the classical wave equation to yield a novel nonlinear PDE.
Keywords: 
;  
Copyright: This open access article is published under a Creative Commons CC BY 4.0 license, which permit the free download, distribution, and reuse, provided that the author and preprint are cited in any reuse.
Prerpints.org logo

Preprints.org is a free preprint server supported by MDPI in Basel, Switzerland.

Subscribe

Disclaimer

Terms of Use

Privacy Policy

Privacy Settings

© 2026 MDPI (Basel, Switzerland) unless otherwise stated